
对于任意一个圆,其面积S都是等于圆周率π与半径平方r^2的乘积。或者说,任意一个圆的面积与其半径平方之比都是相同的常数——圆周率。那么,这个结论是经过数学上的严格证明,还是一种数学直觉呢?事实上,圆面积公式(S=πr^2)在数学上能够严格证明,无论是我国古代的数学家,还是古希腊的数学家,都证明了这个公式。圆面积公式的证明方法有很多种,下面简单举几个例子。
(1)极限法一
如果把一个圆分成n个等份,然后将其拼接成如下的四边形:

当n趋于无穷大之时,也就是圆分成了无穷多个等份,那么,该四边形就会变成长方形。显然,这个长方形的长为半圆周长(πr),宽为圆的半径(r),该长方形的面积等于圆的面积,所以可得圆面积公式为:S=πr?r=πr^2。
不过,为了完成这样的证明,首先还需证明圆周长公式(C=2πr)。通过相似三角形原理,用几何法很容易可以证明圆的周长与直径之比为相等的常数,该常数即为圆周率。
(2)极限法二
把圆分成n等份,连接每个扇形中半径与圆的交点。并假设每个扇形的圆心角为2θ,则2θ=2π/n。

考察其中一个三角形OAB,根据三角函数可得,OC=rcosθ,AB=2rsinθ,三角形OAB的面积为:
S△OAB=1/2·AB·OC=r^2sinθcosθ
当n趋于无穷大时,圆的面积可以表示为:
S=lim(n→+∞)n·S△OAB
根据极限原理,可以算出S=πr^2。
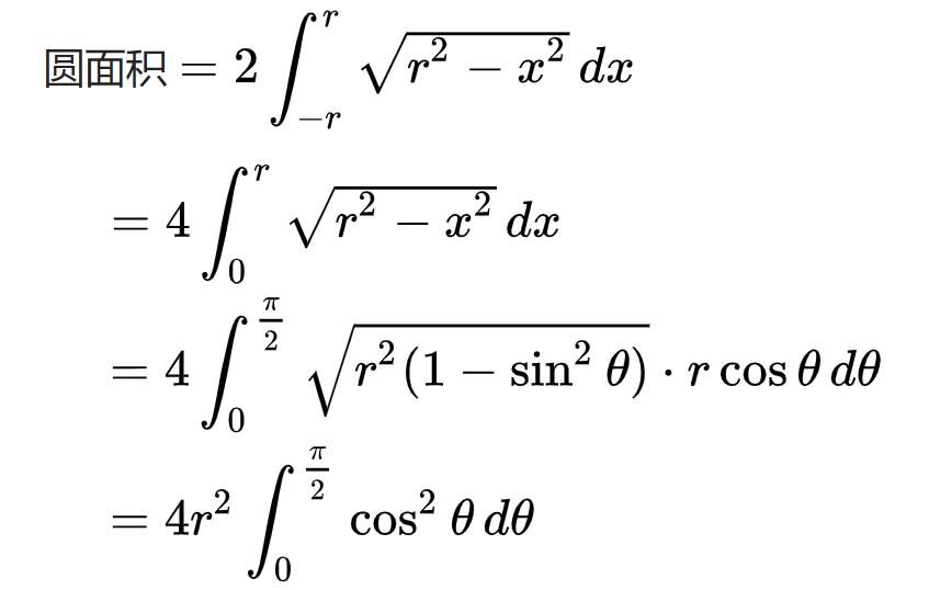
(3)积分法一
严格意义上来说,这也是一种极限法,但这里是通过圆的方程(x^2+y^2=r^2)来严格计算圆面积:


(4)积分法二

如果把圆分成无数个厚度为dr的薄圆环,那么,每个圆环的面积为2πr·dr,对其进行积分可得:

总之,圆的面积与半径平方的比值为圆周率是经过严格数学证明的,并非经验公式。