对联,汉族的传统文化之一,
又称楹联或对子,
是写在纸、布上或刻在竹子、
木头、柱子上的对偶语句。
对联对仗工整,平仄协调,
是一字一音的中华语言独特的艺术形式,
更是中国汉族传统文化瑰宝。
对联起源

对联相传起于五代后蜀主孟昶。据《宋史蜀世家》记载,孟昶“每岁除,命学士为词,题桃符,置寝门左右。末年(公元九*四六**年),学士幸寅逊撰词,昶以其非工,自命笔题云:新年纳余庆,嘉节号长春。”孟昶在除夕让学士在桃木板上写的这两句,成了中国最早出现的一副春联。
历史趣对小故事
1、纪晓岚和乾隆的妙对
纪晓岚在乾隆十九年中进士后当了侍读学士,陪伴乾隆皇帝读书。时间长了,不免思念起河间老家来。乾隆皇帝也看出纪晓岚的心事,便说:“纪晓岚,看你面色悒郁不乐,必有心事在怀,让我替你猜详一下如何?”纪晓岚问:“陛下如何猜详?”乾隆说:“我看你是:
口十心思,思妻思子思父母。”
纪晓岚立刻跪下说:“皇上说得很对。如蒙陛下恩准,给假回乡省亲,纪晓岚衷心感戴圣恩。我便:
言身寸谢,谢天谢地谢君王。”
乾隆皇帝见纪晓岚对仗工整,应答如流,不觉圣心大悦,恩准假期,让纪晓岚回乡省亲。
2、李调元妙对唐伯虎
清代,蜀中才子李调元到山中寺庙游玩。长老说有事相求。原来,寺庙里有幅荷花图,是长老师傅所画。恰好唐伯虎游玩到此,老和尚就请他在画上题字。唐伯虎就提笔写下了一句题词:
画上荷花和尚画
写完后对老和尚说:“我走之后,若有人能对出下联,此人必是当今奇才!”
李调元一看,便发现了这上联的妙处:它属于回文对联又兼用谐音,字的读音反读正读完全相同。最后他在唐伯虎上联旁写出了下联:
书临汉帖翰林书
这七个字反过来读,字的读音和正读完全相同,与唐伯虎的上联珠联璧合,长老拍手称奇。从此,这幅画成了这座寺庙的镇寺之宝。
3、诸葛亮还击周瑜
相传,周瑜自命不凡, 有一次,他以诸葛夫人黄氏面丑为题,向诸葛亮呤道:
有目也是瞅,无目也是丑,
去掉瞅边目,加女便成妞。
隆中女子生得丑,百里难挑一个妞。
(“瞅”的古汉语的写法,左偏旁为“目”,右边为“丑”)
诸葛亮听罢微微一笑,即刻对道:
有木也是桥,无木也是桥,
去掉桥边木,加女便成娇。
江东美女数二乔,难保铜雀不锁娇。
周瑜听罢大怒,诸葛亮还是胜了一筹。这种传说是否真实,就不得而知了。
4、郑板桥见联济贫
郑板桥当县令时微服私访,见一户人家的破旧大门上贴的对联是:
二三四五
六七八九
横批:又是一年
郑板桥见联,忙令随从回衙取米面、衣服等,户主得济含泪道谢。
5、梁启超妙对张之洞
传说梁启超去见湖广总督张之洞。张之洞想给梁启超一个下马威,刚见面即出一联让梁对:
四水江第一,四时夏第二,老夫居江夏,谁是第一谁是第二
(武汉旧称江夏)
梁启超从容做对:
三教儒在前,三才人在后,小生本儒人,不敢在前不敢在后
真正的读书人,要有胆识和气节。“不敢在前不敢在后”,体现了一种谦虚又不卑不亢的精神。

6、“不如不说”与“何必多管”
传闻某县有一主事官喜欢议上司是非,抨击时弊。一天,朝庭有一御史视察县衙,有人将此事上告,御史叫来这个主事官痛斥一顿,并忿忿道一上联:
说人之人被说人之人说,人人被说,不如不说。
主事听了心理不服,答下联:
管官之官受管官之官管,官官受管,何必多管。
7、农民巧对地主*债追**
相传有个农民欠地主的债无法偿还,于是请人写了一副对联贴在门上,对联是:
借新账,还旧账,借账还账,账还账
拆东墙,补西墙,拆墙补墙,墙补墙
横批: 老(没有里面一“点”)
地主上门*债讨**见联,不觉诧异,自语道:“这横批的“老”字,说“考”又不象,说“老”又没有一点?”话音未落,只听农民说:“老(字)要是有一点,早就还你了!”
8、撇捺人生
对联的高明之处更在于字形于字义完美结合,有一幅对联甚是有趣,如下:
上联:若不撇开终是苦;
下联:各自捺住即成名。
横批:撇捺人生
其妙处在于,“若”字的撇如果不撇出去就是“苦”字; “各”字的捺只有收住才是“名”字; 一撇一捺即“人”。 凡世间之事,撇开一些利益,看开了就不苦了;方寸之间,能按捺住情绪才是人生大智,岂不妙哉!
9、接对联
书圣王羲之的字千金难求,一年除夕,他在家门口贴的对联几次被人揭走,于是生出一计,贴出一副对联:
福无双至;
祸不单行。
这样便没人敢揭了,但毕竟是春节不能不吉利,便在后面加了几个字,令人叫绝:
福无双至今朝至;
祸不单行昨夜行。
10、三国名人入对
四川内江有座嘉靖年建造的三元塔,塔中有一联说景,实则谐音含三国六个人名:
身居宝塔,眼望孔明,怨江围实难旅步;
鸟在笼中,心思槽巢,狠关羽不得张飞。
其中含有孔明、姜维(江围)、吕布(旅步)、曹操( 槽巢)、关羽、张飞六个人名。 其字面意思可解为:鸟儿被围在宝塔之内,眼望塔孔中的亮光,只怨江堤围困,难以出去旅行;被囚笼中,心中思念旧巢,只恨双翅被关,不能够展翅飞翔。
11、进退两难
从前,有位秀才在结婚的当天早上,父亲突然去世,只好丧事喜事一起办。按风俗,丧事喜事都要贴对联,秀才犯了难,有位文人却写了一副对联:
临亲丧,作新郎,哭乎?笑乎?
细思量,哭笑不得
辞灵堂,入洞房,进耶?退耶?
再斟酌,进退两难
这副对联,描绘了秀才悲喜交加的矛盾心理。
12、上下“凭”等
针对封建社会“上尊下卑”官气十足,有人戏一联:
上司开口才半句,早已是是是,对对对
下级陈词达千言,始终嗯嗯嗯,噢噢噢
横批: 上下凭等
13、唐伯虎嘲讽商人
某商人找唐伯虎求写一副对联,他欣然挥毫而就:
生意如春意
财源似水流
没想到,商人嫌发财的含义不浓,唐伯虎见他是一俗夫,便又写一联嘲笑道:
门前生意好似夏夜蚊虫队进队出
夜里铜钱要象冬天虱子越摸越多
这下,商人反而大喜,原来他就爱这种不伦不类的对联。
14、苏过应对苏轼
半夜二更半;(苏轼)
中秋八月中。(苏过)
传言,苏轼有一年与家人中秋赏月,时至半夜,苏轼想试试儿子们的才学,遂吟出了上联,并要三个儿子作对。其第三子苏过反应敏捷,随即对出了下联,真是“虎父无犬子”呀。
15、苏轼和黄庭坚互对
苏轼和黄庭坚是好友,两人经常互对:
书房好似药室;(苏轼)
学士乃是郎中。(黄庭坚)
蛤蟆水上真书出;(苏轼)
蚯蚓泥中草写之。(黄庭坚)
(联语互讥对方书法之弊病。)
松下围棋,松子每随棋子落;(苏轼)
柳边垂钓,柳丝常伴钓丝悬。(黄庭坚)
据说,一日,苏轼与黄庭坚在松树下对弈围棋,忽然有几颗松子落在棋盘上,苏轼顺口吟出上联。黄庭坚抬头环顾一看,见湖边有一渔夫在柳树下钓鱼,遂对出下联。一个说松子有意,一个道柳丝有情,用的是拟人手法,联中有画,画中有诗,诗情画意,兴味盎然。
朔雪飞空,农夫齐歌普天乐;(苏轼)
晚霞映水,渔人多唱满江红。(黄庭坚)
苏轼和黄庭坚乘舟出游,至晚方归。时值晚霞映水,煞是壮观。黄庭坚出口吟出了下联。苏轼正沉迷于景色之中,被黄庭坚的出句引发,随后续出了上联。联中“普天乐”和“满江红”既表现出了彼时彼地的情景,又是“词牌”名。二人吟罢,不约而同地拍掌大笑。
各省趣对
对联文化在中国有千年历史,
当这种文化与各省特色相结合的时候更加妙不可言:

内蒙古上联:碧草毡房,春风马背牛羊壮;
黑龙江下联:苍松雪岭,沃野龙江豆谷香。
*藏西**上联:雪域春秋“扎西德勒”;
*疆新**下联:天山南北“乌鲁木齐”。
山东上联:泰山日,孔子仁,人文典范;
山西下联:壶口烟,关公义,天地奇观。
云南上联:石林自有高材生,群峰拔地;
海南下联:琼海独具大手笔,五指擎天。
广东上联:南海风清,讲述春天故事;
广西下联:漓江水碧,飘来三姐新歌。

宁夏上联:红黄蓝白黑,五珍献瑞;
陕西下联:字史酒医诗,诸圣流芳。
香港上联:荆花吐艳香江瑞;
澳门下联:莲蕊临风镜海清。
贵州上联:苗寨黔山黄果树,茅台赤水;
四川下联:川肴蜀绣锦官城,花径草堂。
吉林上联:车轮飞转东西南北追风去;
辽宁下联:钢水奔腾春夏秋冬入眼来。
重庆上联:朝天门喜迎天下客;
天津下联:塘沽港笑纳万国风。

福建上联:品铁观音,香飘两岸;
台湾下联:拜妈祖庙,情系一家。
青海上联:水泽源流江河湖海;
甘肃下联:金银铜铁铬镍铅锌。
安徽上联:黄山为九州增色;
江西下联:瓷器与中国同名。
湖南上联:八百里洞庭凭岳阳壮阔;
湖北下联:两千年赤壁览黄鹤风流。
河北上联:万里长城山海关,龙头为首;
河南下联:独门绝技少林寺,天下无双。
名人自题联
自题联,
一般是自作自赏,悬挂于墙壁,
或作为座右铭,自我鞭策勉励。
心术不可得罪于天地;言行要留好样与子孙。(袁崇焕自题联)
每临大事有静气;不信今时无古贤。(翁同苏自题联)
东壁图书府;西园翰墨林。(高启云自题联)
泼墨为山皆有意;看云出岫本无心。(陶绍原自题联)
看花临水心无事;啸志歌怀意自如。(黄慎自题联)
万象函归方丈室;四围环列自家山。(黄遵宪自题联)
斯文在天地;至乐寄山林。(康有为自题联)
春随香草前年绝;人与梅花一样清。(徐霞客自题小香山梅花堂)
清风明月不论价;红树青山合有诗。(梁启超自题联)
提笔四顾天地窄;长啸一声山月高。(朱方湖心亭联)

莫对青山谈事世;休将文字占时名。(郁达夫自题联)
室雅何须大;花香不在多。(郑燮自题联)
天上何曾有山水;人间岂不是神仙。(普深和尚清凉台联)
养心莫善寡欲;至乐无如读书。(郑成功自题联)
岂能尽如人意;但求无愧我心。(冼星海自题联)
体道鱼游进活泼;消闲墨舞呈天真。(赵金光题联)
诗赋于光风霁月;琴操在流水知音。(赵逢明自题联)
星河层里星河转;日月楼中日月长。(丰子恺自题联)
笔下留有余地步;胸中养无限天机。(姚铁松自题联)
白鸟忘机,看天外云舒云卷;青山不老,任庭前花落花开。(张英自题联)

清机发妙理;高步迢常伦(杨法自题联联)
有志者、事竟成、破釜沉舟、百二秦关终属楚;苦心人、天不负、卧薪尝胆、三千越甲可吞吴。(蒲松龄自勉联)
铁肩担道义;妙手著文章。(杨继盛自题联)
竹阴在水;兰气随风。(李育自题联)
樵歌一曲众山皆响;松云满目万壑争流。(李子仙自题联)
学浅自知能事少;礼疏常觉慢人多。(李佐自题联)
交懑四海,乐道人善;胸罗万卷,不矜其才。(李经畦自题联)
江山入画;意气凌云。(关佳舜自题联)
好人我自苦中来莫图便宜;凡事皆缘性里错且更从容。(吴大湞自题联)
学立道通,自然贞素;圆行方止,聊以从容。(何绍基自题联)

江山澄气象;冰玉净聪明。(方声洞自题联)
好书悟后三更月;良友来时四座春。(邓石如自题联)
风云三尺剑;花鸟一床书。(左光斗自题联)
发上等愿,亭下等福;从高处立,向宽处行。(左宗堂自题联)
精神到处文章老;学问深时意气平。(石韫玉自题联)
真理学从五伦做起;大文章自六经分来。(申涵光自题联)
庭有余闲,竹露松风蕉雨;家无长物,茶烟琴韵书声。(叶元璋自题联)
立志不随流俗转;留心学到古人难。(叶恭绰自题联)
四面江山来眼底;万家忧乐到心头。(田家英自题联)
尽交天下贤豪长者;常作江山烟月主人。(包世臣自题联)
挽联
了一些有趣、激励人心的对联,
也有一种用来哀悼死者的挽联。
著作有千秋,此去震惊世界;
精神昭百世,再来造福人群。
三登庆元三人第;
四入熙宁四辅中。
——苏轼挽韩琦

不合时宜,惟有朝云能识我;
独弹古调,每逢暮雨倍思卿。
——苏轼挽知音侍女朝云
据《惠州六如亭怀古联》载:苏轼怀才不遇,终生不得权贵赏识,但其两名侍女却对他的文章道德,壮志抱负,深为钦佩,使苏轼视为知音。这两名侍女的学名一叫“朝云”,一叫“暮雨”。有一年,朝云不幸早逝,苏轼如失姐妹。悲痛之余,他亲书挽联。
此联不仅把两名侍女的名字巧嵌联中,既有真情实感,又充分表露了对死者的痛念之情。寓意双关,借题发挥,感叹“人间少知音”。又有传言说,苏轼曾纳朝云为妾,故亦有称此联为“挽妾联”。

不增不减,不生不灭,不垢不净;
如梦如幻,如泡如影,如露如电。
——林兆龙题广东省惠州西湖朝云墓
当然也有些人的挽联带点讽刺调侃色彩,湖南军阀谭延铠一生的处世哲学集一“混”字,最后混到了国民*党**的行政院长,由于处世圆滑,又得了一个“水晶球”的绰号。他死后,有人给他写了如此一副对联:
混之为用大矣哉,
大吃大喝,大摇大摆,命大福大,大到院长;
球的本能滚而已,
滚来滚去,滚入滚出,东滚西滚,滚进棺材。
茶联

茶联是以茶为题材的对联,是茶文化的一种文学艺术兼书法形式的载体。我国各地茶馆、茶楼、茶园、茶亭的门庭或石柱上,往往有这样的对联、匾额。茶联美化了环境,增强了文化气息,可以促进品茗情趣。现代的茶艺馆也每每以茶联显示文化品位。
半榻梦刚回,活火初煎新涧水;
一帘春欲暮,茶烟细杨落花风。
十载许句留,与西湖有缘,乃尝此水;
千秋同俯仰,唯青山不老,如见故人。
阳羡春茶瑶草碧;
兰陵美酒郁金香。
饮茶思源,何曾望极;
吃菇念树,岂可忘恩。
翠叶烟腾冰碗碧;
绿芽光照玉瓯清。
松涛烹雪醒诗梦;
竹院浮烟荡俗坐。
为品清香频入座;
欢同知心细谈心。
喜报捷音一壶春暖;
畅谈国事两腋生风。
佳肴无肉亦可;
雅谈离茶难成。
借得梅上雪;
煎茶别有香。

扫来竹叶烹茶叶;
挖得松根煮菜根。
此地千古茶国;
满城都是君子。
寻味君子知味来;
伴香雅士携香去。
壶在心中天在壶;
心在壶中地在心。
茶字草木人人茶茶人;
品者三口德德品品德。
官为七品不如一壶可品;
才高八斗怎抵一池万斗。
始皇明月照青陵;
茶心原在一杯中。
来路可数歇一刻知味;
前途无量品一杯何妨。
碧泉涌出山腹事;
玉壶映进苍天心。
淡酒邀明月;
香茶迎故人。

冰冷酒,一点水,两点水,三点水;
丁香茶,百人头,千人头,万人头。
沽酒客来风亦醉;
买茶人去路还香。
喜辞旧岁,春风梳柳;
笑迎新春,苗润茶新。
松风煮茗;
竹雨谈诗。
美酒千杯成知已;
清茶一盏能醉人。
淡饭粗茶有真味;
明窗净几是安居。
水抱山环新屋绕园林茶趣;
春华秋实生活胜城市风光。
鸿雁贺喜衔柳枝;
春风迎亲带茶香。
茗苑寄来曾怜黔娄梦白;
蓉城逆去又悲汝士升仙。
一杯茶一支烟一张报纸混日子;
半个心半点意半瓶墨水度终生。

千树梨花几壶茶;
一庄水竹数房书。
茶煮三江水柔情似水;
烟飞万里霞笑态如霞。
茶开千里市市场繁荣;
酒醉五湖春*光春**明媚。
茶为山藏富富贵齐天;
酒催豪客歌歌唱盛世。
饭热茶热八方客常暖;
茶好汤好世季店如春。
莫道醉人唯美酒;
茶香入心亦醉人。
名山名寺共名茶;
水碧山青茶更佳。
人间何处是仙境?
春山携枝采茶时。
名苑清风仙曲妙;
石潭秋水道心空。
人上人制茶中茶;
山外山出味中味。

茶中茶制人上人;
味中味出山外山。
鸡鸣院内茶;
白鹤井中水。
山实东吴秀;
花称瑞草魁。
从来名士能评水;
自古高僧爱斗茶。
春茶一杯依旧;
桃符万户更新。
柳井有泉好作饮;
君山无处不宜茶。
春其山中采;
香宜竹里煎。
凝成云雾顶;
飘出晨露香。
客到座中宜数碗;
水是人间第一泉。
为爱清香频入座;
欣同知已细谈心。

只缘清香成清趣;
全因浓酽有浓情。
菜在街面摊卖;
茶在壶中吐香。
看水浒想喝大碗酒;
读红楼举杯思品茶。
铁石梅花气概,
山川香茶风流。
淡中有味茶偏好;
清茗一杯情更真。
陆羽摇头去;
卢仝拍手来。
四大皆空,坐片时何分尔我;
两头是路,吃一盅各分东西。
四海咸来不速客;
一堂相聚知音人。
春共山中采;
香宜竹里煎。

扫雪应凭陶学士;
辨泉犹待陆仙人。
茶香飘四海;
友谊播九州。
茶敬客来茶当酒;
云山云去云作车。
忙什么?喝我这雀舌茶,百文一碗;
走哪里?听他摆龙门阵,再饮三盅。
客至心常热;
人走茶不凉。
瑞草抽芽分雀舌;
名花采蕊结龙团。
扬子江中水;
蒙山顶上茶。
陆羽闲说常品茗;
元龙豪气快登楼。
茶香高山云雾质;
水甜幽泉霜雪魂。

雀舌未经三月雨;
龙芽已点上时春。
幽借山头云雾质;
香分岩面蕙兰魂。
酒醉英雄汉;
茶引博士文。
喝口清茶方解渴;
吃些糕点又充饥。
嘻嘻哈哈喝茶;
叽叽咕咕谈心。
心随流水去;
身与白云闲。
难怪西山春茶好;
只缘多情采茶人。
绿丛遍山野;
户户有茶香。
坐观楼百尺;
三面种新茶。
小径山茶绿;
疏离木槿红。

樵歌已向平桥度;
好理藤床焙早茶。
卖茶客渡回风岭;
驱犊人耕活水田。
采向雨前,烹宜竹里;
经翻陆羽,歌记卢仝。
羹香怀帝德;
茶色虑民灾。
水流清影通茶灶;
风递幽香入酒筵。
来不请,去不辞,无束无拘方便地;
烟自抽,茶自酌,说长说短自由天。
瓦罐煎茶烧树叶;
石泉流水洗椰瓢。
茶香味浓难比毛尖;
西湖龙井茶中之美。

旧谱最称蒙顶茶;
霞芽云腋胜醍醐。
琴里知闻唯绿水;
茶中帮旧是蒙山。
活火烹泉价增卢陆;
春风啜茗谱品旗枪。
陆羽谱经卢仝解渴;
武夷选品顾渚分香。
阳羡春茶杯杯好;
兰陵美酒盏盏香。
酒醇、饭香、茶浓;
花鲜、月明、人寿。
香分花上露;
水吸石中泉。
尘滤一时净;
清风两腋生。
泉香好解相如渴;
火红闲评坡老诗。
楼堂庙宇对联

对联又称楹联,因古时多悬挂于楼堂、宅殿、庙宇的楹柱而得名,有偶语、俪辞、联语、门对等通称,起源于桃符,是利用汉字特征撰写的一种民族文体,它与书法的美妙结合,又成为中华民族绚烂多彩的艺术独创。
张大千题绍兴戒珠寺
上联:此处既非灵山,毕竟什么世界。
下联:其中如无活佛,何用这样庄严。
张掖大佛寺
上联:一觉睡西天,谁知梦里乾坤大。
下联:只身眠净土,只道其中日月长。
济南千佛寺
上联:笑到几时方合口;
下联:坐来无日不开怀。
枣庄龙泉寺
上联:大千世界,弥勒笑来闲放眼。
下联:不二法门,济颠醉去猛回头。
杭州灵隐寺
上联:峰峦或再有飞来,坐山门老等;
下联:泉水已渐生暖意,放笑脸相迎。

望江楼
上联:望江楼、望江流、望江楼上望江流,江流千古、江楼千古;
下联:印月井、印月影、印月井中印月影,月影万年、月井万年。
乐山凌云寺
上联:笑古笑今,笑东笑西笑南笑北,笑来笑去,笑自己原来无知无识。
下联:观事观物,观天观地观日观月,观上观下,观他人总是有高有低。
宁夏同心清真大寺
上联:尔来礼拜乎?须摩着心头,干过多少罪行,向此处鞠躬叩首。
下联:谁是讲经者?必破出情面,说些警赫话语,好叫人入耳悚神。
应县净土寺
上联:念念不离心,要念而无念,无念而念,始算得打成一片。
下联:佛佛原同道,知佛亦非佛,非佛亦佛,即此是坐断十方。
大雄宝殿
上联:净土莲花,一花一佛一世界。
下联:牟尼珠献,三摩三藐三菩提。

观音阁
上联:音可观乎?
下联:士何大焉。
滕王阁
上联:有才人一序在上头,恨不将鹦鹉洲踢翻,黄鹤楼捶碎;
下联:叹沧海横流无底止, 慨然思班定远投笔, 终子云请缨。
日照天后祠联
上联:问观音为何倒坐?
下联:恨众生不肯回头。
(祠中观音面北,人称倒坐观音)
潮州开元寺观音阁联
上联:大慈大悲,到处寻声救苦。
下联:若隐若显,随时念彼消愆。
北京潭柘寺弥勒殿
上联:大肚能容天下难容之事。
下联:开颜便笑世间可笑之人。

济南千佛寺
上联:笑到几时方合口。
下联:坐来无日不开怀。
陈宝琛撰大同华严寺观音阁联
上联:人世大难开口笑。
下联:肚皮终不合时宜。
广东南华寺
上联:日日携空布袋,少米无钱,却剩得大肚空肠,不知众檀越,信心时将何物供奉。
下联:年年坐冷山门,接张待李,总见他欢天喜地,试问这头陀,得意处有什么来由。

天王殿
上联:多闻正法,以广目光。
下联:增长善根,而持国土。
(此联分别将东方持国天王、南方增长天王、西方广目天王、北方多闻天王嵌入联中。)
城隍庙
上联:莫怪和尚们这般大样。
下联:请看护法者岂是小人。
台南城隍庙
上联:问你平生所干何事?图人财,害人命,奸淫人妇女,败坏人伦常,摸摸心头惊不惊?想从前千百诡计奸谋,那一条孰非自作。
下联:来我这里有冤必报!减尔算,荡尔产,殄灭尔子孙,降罚尔祸灾,睁睁眼睛怕不怕?看今日多少凶锋恶焰,有几个到此能逃!
贵阳城隍庙
上联:站着!你背地做些什么?好大胆还来瞒我!
下联:想下!俺这里轻饶哪个?快回头莫去害人。
安徽宿松城隍庙
上联:只是骂个道打个僧,这这般这般,若毁圣谤贤,那还了得。
下联:不过吃口肉喝口酒,便如此如此,倘坏心毒胆,怎么样儿。

土地庙
上联:男女平权,公说公有理,婆说婆有理。
下联:阴阳合历,你过你的年,我过我的年。
神仙庙
上联: 善报恶报循环果报,早报晚报如何不报。
下联: 名场利场无非戏场,上场下场都在当场。
财神庙
上联:只有几文钱,你也求,他也求,给谁是好?
下联:不做半点事,朝也拜,夕也拜,教我为难。
郭天民题湖南长沙真武庙
上联:中国有圣人,是祖、是师,咄咄西来东土。
下联:名山藏帝子,亦仙、亦佛,元元北镇南来。
李汇川题四川叙永灶神庙
上联:五转汞、七转铅、九转丹,万象皆清,洪炉中有真人诀。
下联:一分屋、二分竹、三分水,纤尘不染,蜀国南来小洞天。

斋堂联
上联:一粒米中藏世界。
下联:半边锅内煮乾坤。
河南少林寺面壁洞
上联:一苇渡江,达源溯六祖。
下联:九年面壁,妙理悟三乘。
安徽九华山华严洞
上联:清华真佛地
下联:庄严古洞天
福建安溪龙门镇金沙岩
上联:金山挂月窥禅径
下联:沙鸟听经恋法门
彰化修水岩
上联:修德种因法身圆妙
下联:水清月现玉盖尊严

承德水月庵
上联:山静尘清,水参如是观。
下联:天高云浮,月喻本来心。
天水罗汉堂
上联:处处无非菩提海
下联:山山尽是普陀崖
房县凤凰山观音洞
上联:见见见,非见非见,见非见。
下联:闻闻闻,不闻不闻,闻不闻。
福州西禅寺
上联:翠翠殷殷,处处花花果果。
下联:风风雨雨,年年暮暮朝朝。
河南少林寺西坊
上联:双双玉井,碧澄冷浸千秋月。
下联:六六玄峰,翠耸光连万壑云。

苏轼集卢秉传句自题湖北黄冈寓居雪堂
上联:台榭如富贵,时至则有;
下联:草木似名节,久而后成。
苏轼题江西省吉水龙济寺
上联:天外楼台山外寺;
下联:云边钟鼓月边僧。
苏轼题江苏省镇江北固山甘露寺飘楼
上联:云涌楼台出天上;
下联:风摇钟磬落人间。
苏轼题湖南省汨罗屈子祠
上联:诗笔离骚亦时用;
下联:文章尔雅称吾宗。
苏轼题江苏省无锡惠山景徽堂
上联:雪芽为我求阳羡;
下联:乳君水应饷惠泉。

苏轼题江苏省无锡惠山摩崖
上联:石路萦回九龙脊;
下联:水光翻动五湖天。
苏轼题浙江省杭州孤山苏寒岩
上联:爵比郭令公,历中书二十四考;
下联:寿同广成子,住崆峒万八千年。
苏轼题广东省广州真武庙
上联:逞披发仗剑威风,仙佛焉耳矣;
下联:有降龙伏虎手段,龟蛇云乎哉。
苏轼题江苏省苏州怡园
上联:步翠麓崎岖,乱石穿空、新松暗老;
下联:抱素琴独向,倚窗学弄、旧曲重闻。
苏轼题河南省许昌天宝宫吕祖殿
上联:庙貌与天齐,云来云去风不定,无异空中楼阁;
下联:画工从地起,花开花谢景常新,真乃蓬莱仙境。

余清逸题江苏省南京秦淮河风景带大成殿
上联:大成殿兴兴毁毁,毁毁兴兴,兴乎?毁乎?早期纂诗书、定礼乐周游天下,我行我素;
下联:孔仲尼是是非非,非非是是,是耶?非耶?晚年作春秋、赞周易留传古今,君论君评。
现代行业联

除了各类寺庙对联,还有些饭馆、店铺、公共场所等也有不少诙谐趣作,真可谓是“高手在民间”!
在四川青羊区平安巷内的一小饭馆,大门上的对联还掀起过不小的浪潮。
上联: 稀饭干饭茫茫
下联: 肥肉瘦肉嘎嘎
横批—— 太实在
此联一出,甚至有人打趣,不是四川人不要贸然诵读。原来,上联所说的“茫茫”,即是四川话“饭”的意思;“嘎嘎”说的是“肉”,所以这也成了一副有“油盐”味的对联。
曾有抗战时重庆一茶馆联:
空袭无常,盅客茶资先付;
官方有令,国防秘密休谈。
细细读来颇有深意……
另外,一些店肆的对联也很有趣:

服装店:好将妙手夸针巧;漫把春风细剪裁。
旅店:欢迎春夏秋冬客;款待东西南北人。
厕所:小处不可随便;大家都讲卫生。
关于厕所,其实有很多趣对,偶然还读到了一幅非常有趣的对联,其言简意赅,语义双关,亦雅亦俗:
讨小便宜,得大解脱。
书店:欲知千古事;须读五车书。

理发店:虽是毫发生意;却是顶上功夫。
眼镜店:君凭我广开视野;我助君明察秋毫。
杂货店:事与人便人称便;货招客来客自来。
油漆店:此是春华秋实事业;并非东涂西抹文章。

笔店:词源倒流三江水;笔阵独扫千人军。
墨店:玉露磨来浓雾起;银笺染处淡云生。
纸店:银流鹄白三都贵;墨染鸦青五色奇。
砚店:笔架山高虹气现;砚池水满墨花香。
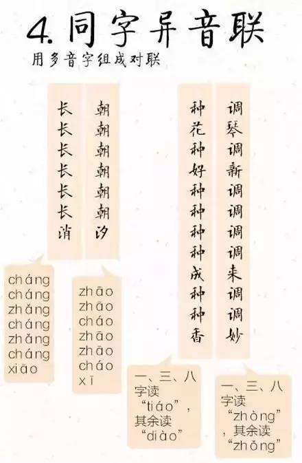
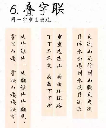
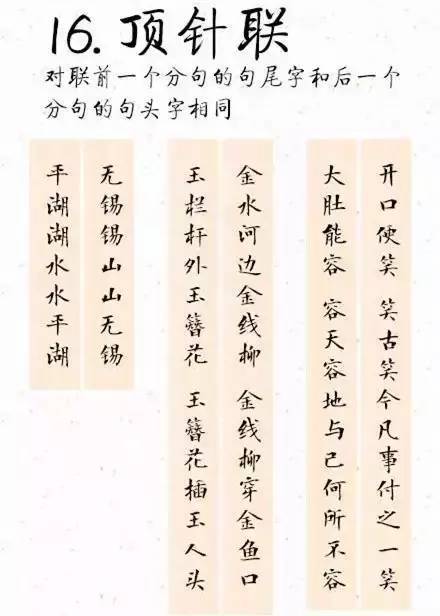
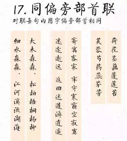
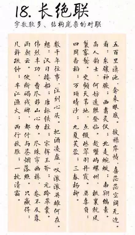
十八式套路
其实不管对联如何变化多端,
都离不开这“十八式”套路,
喜欢对联的你可以收藏,
日后慢慢琢磨、品味。


















对联作为一种习俗,
是中华民族优秀传统文化的重要组成部分。
2005年,中国国务院把这一习俗列为
第一批国家非物质文化遗产名录。
它在华人乃至全球使用汉语的地区以及与汉语汉字有文化渊源的民族中广泛的传承、流播,这种与书法美妙结合的民族文体,
让国人自豪,更令世界惊叹!