本文将由新祥旭考研曦曦老师对2024年华中师范大学应用经济学专业考研进行解析。主要有以下板块:学院简介、招生人数、考试科目、参考书目、分数线、备考经验等几大方面。
一、学院简介
经济与工商管理学院前身可追溯到1912年的中华大学政治经济别科,1931年的华中大学商业系和社会科学系经济组,1949年12月的中原大学财经学院金融系、贸易系、工厂管理系。改革开放以后,为适应社会经济发展,学校于1985年成立城市经济管理系,在全国率先开设房地产专业。1993年恢复经济系。1996年,经济系与城市经济管理系共同组建经济学院。2012年5月,学校整合财务会计教育、人力资源管理专业,同时设立金融系,组建新的经济与工商管理学院。
经济与工商管理学院下设6个系(经济系、城市经济管理系、工商管理系、国际经济与贸易系、会计系、金融系)和5个研究中心。学院现有1个二级博士点专业(经济统计学),2个一级硕士学位点(应用经济学、工商管理),9个二级硕士学位点(区域经济学、产业经济学、数量经济学、政府经济学、金融学、国际贸易、企业管理、人力资源管理、会计学),4个专业硕士学位点(MBA、金融、农业发展、MPACC)。现有1个省一级重点学科(应用经济学),1个湖北省重点人文社科研究基地(湖北省房地产研究中心);1个省级品牌专业(房地产开发与管理),7个本科专业(其中经济学、房地产开发与管理两专业为湖北省一流本科专业),2个交叉培养班(数学-经济学交叉班、法学-经济学交叉班),1个省级优秀基层教学组织。
学院现有在职教职工97人,其中专任教师81人(教授22人、副教授31人;硕士生导师53人;博士生导师12人),行政教辅人员16人;中组部“万人计划”哲学社会科学领军人才1人,中宣部文化名家暨“四个一批”人才1人,国务院政府特殊津贴获得者2人,教育部新世纪优秀人才支持计划2人,住房建设部专家咨询委员会副主任委员1人,楚天讲座教授2人,桂子学者特聘教授1人,桂子青年学者2人。现有在校学生1500余人,其中本科生近1000人,硕士生、博士生(含MBA硕士)500余人,国际留学生40余人。
学院有一批潜心治学的专家学者,教学、科研实力强劲,成果丰硕。近年来,教师科研成果先后荣获省部级科研奖励10多项,如高等学校人文社科优秀成果二等奖、三等奖、湖北省人文社科优秀成果一等奖、钱学森城市学金奖等,先后在《中国社会科学》、《经济研究》、《管理世界》、《China Economic Review》等权威期刊发表论文30余篇,入选国家社科文库1项,承担国家社科基金重大项目3项、教育部重大攻关课题1项,国家社科基金、自科基金30余项,其他省部级项目100多项。
长期以来,经济与工商管理学院在人才培养上坚持“厚基础、宽口径、高素质、创新型”的办学理念,人才培养质量不断提升,赢得了家长和社会的赞誉。学院各类学生就业率一直稳定在93%以上,每年有超过40%的毕业生保送、考取国内外著名大学的硕士、博士研究生,有一大批毕业生签约进入世界五百强企业。
学院第二课堂氛围活跃,平台众多,发展全面,学生会、艺术团、创业社团、学术社团异彩纷呈。学院在香港、深圳、杭州、武汉等多地众多名企建立了实习实践基地,每年有一批在校学生出国、出境进行交换学习、学术访问和参观考察,学生在各类高级别赛事中屡获佳绩,如“创青春”全国大学生创业大赛金奖、“挑战杯”大学生课外学术作品大赛全国决赛一等奖、中国大学生计算机设计大赛一等奖、“互联网+”大学生创业大赛全国银奖、亚太高校商业大赛全国五强等。
学院有完备的奖学金和助学金体系,除了国家、学校的各类奖助学金,学院还利用校友和社会资源成立了种类丰富的奖学金和助学金,确保奖励“真优”、资助“真困”,助力每一位学生成人成才。
研究生毕业后主要去向:
攻读博士学位、高等院校及科研机构、文化事业单位、政府部门、企业。
二、专业目录
招生年份:2023年


三、推荐参考书目
1.《马克思主义政治经济学概论》,马克思主义理论研究和建设工程重点教材,人民 出版社,2011 年版。
2.《西方经济学(上、下)》,马克思主义理论研究和建设工程重点教材,人民出版 社、高等教育出版社最新版。
3.《微观经济学》,肖殿荒主编,清华大学出版社,2013 年版。
4.《宏观经济学》,刘小怡等编著,中国经济出版社,2006 年版。
5.《计量经济学导论:现代观点》,杰弗里·M·伍德里奇,中国人民大学出版社,第6 版(考试范围:第一、二、三、四、六、七、八、十三、十四章)。
四、2022年复试分数线
总分365;政治(52分);外语(52分);业务课一(78分);业务课二(78分)
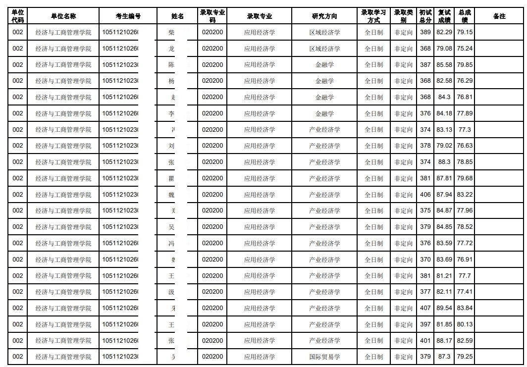
五、2022年拟录取名单



六、2022报考录取数据

七、备考建议
我将会从四个方面来介绍一下我的考研历程,并提出相应的建议:
关于英语:
寒假背恋恋有词前五个单元。三月份看恋恋有词的视频,看一单元视频背一单元,大概一个月背完一遍了。四月份继续背恋恋有词,背了两遍之后,看过一个星期的语法课和长难句。新东方的真题,从八几年开始做,做完阅读就把短语和单词总结到本上。暑假真题从1998年开始做,一天两个阅读,到暑假结束大概做到了2004年。一般是每天晚上一到两个小时的时间学习英语,做完阅读然后对答案,把不认识的单词标记到卷子上,第二天早上起来会把真题里的单词都背一遍。
下半年开学之后,英语阅读掌握出题思路,从选项入手从原文中找原因,作文适当背一背万能句子,主要是从各种类型的题目下手总结自己的模板,可以把往年真题归类,然后自己找规律设计出各个类型的作文大致的行文思路以及可以用什么样的万能句子。完型近几年比较简单不用太花时间。翻译考场上几乎没有太多时间留给它,所以平常建议把单词还有一些固定的短语背一背,就看考场上发挥了。新题型要好好准备,尽量不错。
建议:
1.初背单词的时候可能效率不高,但一定要坚持下去;
2.恋恋有词的视频可以不用看句子的讲解部分,专注于单词部分就可以了,句子部分以后在做真题的时候慢慢摸索;
3.英语的语法和长难句的课程可以不用专门找时间听,因为只有放在阅读里才可以看出效果;
4.真题从1999年开始做就差不多了,再早的真题已经跟不上现在的思路了;
5.阅读要掌握技巧,主要是明白出题的套路,选项错误或者正确原因要知道。
关于思想政治理论:
上半年晚上睡觉之前就听听政治的基础课,听的徐涛的,很短大概二十分钟左右一个视频。暑假如果其他科的学习任务完成了就会学一会儿政治,到暑假结束学了四节,但是每天都会跟着小程序刷刷题。下半年政治就是看一节知识点(风中劲草),做一节肖秀荣1000题,可以把风中劲草多念念,或者小黄书从头到尾念熟,肖八来了做肖八,我只做了选择题,肖四来了做肖四选择题,直接背大题答案。另外一定要把市面上的模拟卷的选择都做一做,考场会眼熟的。
建议:
1.马原的原理还是需要做做笔记的,考试的时候那个政治大题涉及到的原理得会答;
2.暑假的时候要还是数学和专业课,政治还不太着急,如果有精力的话可以听听课;
3.政治的各大模拟卷的选择题是一定要写的,因为考场选择题很大一部分都与模拟卷选择题重复。
关于数学:
三月份开学先看的线代,听的李永乐的课,用的李永乐的辅导讲义,边听课边记笔记,在做题之前会把讲得内容过一下。做前两章的题的时候,做完题目之后会把错题再完整地做一遍,但后边发现这样进度有些慢,做完这一章题目后就直接进行下一章了,线代大概学了一个月多一点。
四月份大概开了高数,看的汤家凤的视频,边听视频边记笔记,写到笔记本上,没有用复习全书,看完一章的视频就再把讲得习题回顾一遍,但第一遍很难,总是记不住也不会做题,有时候得边翻笔记边做题。觉得差不多之后,就做1800上的基础部分,到定积分那一部分,基本上老师上课讲过的类型的题都做了,后边因为节假日还有赶进度,题目只做了一部分。高数应该得学了两个月可能还多。复习完高数就赶紧开概率论了,开始听的张宇用的他的辅导讲义,但是张宇后边几章的内容没有讲,然后也不太习惯他的风格,他的那本讲义做起来有点困难。后来张宇没讲的内容听了余丙森的课,然后把1800上概率论的基础部分写了。
概率论搞完一遍时候在期末考试之前这段时间就去翻高数了,先复习笔记上的习题重新做一遍,然后再做1800上的错题,大概到备考期末复习到了不定积分那里。暑假看汤家凤的强化视频,边听边记笔记,我是在基础班做的笔记的基础上补上去的,然后听完课巩固一下习题就开始做1800强化的题,但我发现很难不会,我就先把基础班的错题重新做一遍再写强化部分。因为积分那里还有后边的章节基础部分的题第一遍就没怎么做,所以那里强化的题就没怎么写了。差不多做完一遍之后开的线代。线代听的李永乐的强化课,用的他的辅导讲义,笔记就补在书上了,到暑假回家应该是把线代复习完一遍了。暑假的时候数学时间一天最少四个小时。
下半年数学先学了概率论强化,写的王式安红皮书,然后在做真题之前把汤家凤的高数讲义后边三四章过了一遍,大概十月份开始真题。做卷子掐时间做,模拟考场的感觉,做完判分,留一天到两天有时候甚至三天改卷子,典型错题一般都会把对应知识点总结一下,然后多找几道这一类型的题做一做,这些都整理到了笔记本上。后期还做了李林的模拟卷。尤其把概率论和线代的题拎出来练一练,真题上模拟卷上的题都要熟练掌握,这两门尽量不扣分。
建议:
1.最好老师讲啥思路就跟着啥思路做题,老师的思路都是为了方便做题;
2.不要一味地赶着做题了,做的很多题要消化,第一遍错的题如果特别多,订正答案的时候一定要记到脑子里;
3.概率论的话一定得清楚做题的思路;
4.中值定理和积分然后还有幂级数那一块要熟悉题目的方法;
5.老师上课讲得内容要熟练,不要一味地赶进度抄笔记做题。
关于专业课:
上半年每天中午午饭之后会回教室学大概四十来分钟,就是看看专业课或者听听专业课的视频,到期末考一本书才看了一多半都没看完。暑假专业课正式开始了,每天大概四个小时复习时间,期间报了新祥旭专业课辅导班,一对一上课的,老师根据我的复习情况制定了复习计划。早上背大概一个小时政治经济学的真题,下午时间全部用来学习专业课。暑假的时间把微观经济学看了一遍,政治经济学的教材过了一遍。微观知识点比较多,要掌握的内容也比较多,看的比较仔细,大概用了一个月左右,先看课本然后看圣才笔记,最后对应真题找到本章复习的重点。下半年开始把宏观经济学过了一遍。之后就是一轮一轮背诵。
建议:
1.微观内容多考点也多,需要考生把课本内容吃透,重在理解记忆,重要考点一般在后边章节,但前边内容也是必须要掌握的,所以考生复习微观要整本抓。
2.宏观考试内容比较固定,一般情况下简答和论述题目是往年真题,名词解释可能会有新概念,所以考生复习宏观的任务还轻一点,把各章涉及到的名词解释要掌握,然后把经典的模型背过就差不多了。
3.政经考点也比较多,背的内容也很多,对于那些没有这种思维的同学还是比较难背的,所以需要考生每天花一定时间熟悉,论述题可以先放一放,论述一般出时政分析题目新颖,往年真题里的名词解释简单都是需要掌握的。
4.计量刚加进来,掌握基础内容就差不多了,把经典的题目理解了,就差不多了。
另外关于复试:
复试英语环节就是练习口语,准备一篇英文的自我介绍,不要生搬硬套,要加入自己的内容,还需要准备二十个左右的英语问题及相应的回答。政治就是问一个简单的问题,大家根据自己的理解回答就可以。专业课面试要好好准备,把书要好好看一看,问一问学姐学长往年问的问题,书上的课后题也很重要,主要是把概念理解透彻,最重要的是要用自己的话表达出来。综合面试也主要是围绕专业课展开。另外自我介绍不要给自己挖坑,保证写出来的自己都能介绍出来。
大家一定都可以上岸呀!
【来源新祥旭考研曦曦老师,未经允许,禁止转载与抄袭】