前段时间,有人在微头条里,说长期疫情假后,很多学生都懈怠了,自家孩子勤快,自己给自己出题再解答。
然而那个题一看,是世界难题。不知道他家孩子给出的解答长什么样。
有很多题目,看起来很浅显,没上过学的人都能理解,但要得到精确的结果非常困难。
这是个什么题目呢?
半径为R的大圆内,最多可以放多少个半径为r的圆?
也可以换个问法:
n个半径为r的圆,放在一个大圆内,大圆的半径至少是多少?
当然这些小圆最多相切,不能相交。
该问题被称作packings of equal circles in a circle问题,亦即圆内等圆填充问题,常简称等圆packing问题。
由于不能重叠,也有用圆柱体的表述。可考的最早的论文就是1967年S. Kravitz的论文Packing cylinders into cylindrical containers, Math. Mag. 40 (1967) 2, 65–71.

如果是正方形那很好密铺,但圆不规则。
稍微有点数学敏感性的人都会想到,取圆的外接正六边形,可以按照蜂窝来密铺。

这个想法很好,问题是大圆的边界仍然是不规则的。在蜂窝的边界需要裁剪,可能还有更好的答案。
如图所示,四个小圆,可以放在(1+sqrt(2))r的大圆内,想要按照蜂窝式排布的话反而需要(1+sqrt(3))r,别的方法可能会更大。

2000年8月,有人用计算机列举了n<=200的可行解,2008年,n<=600的可行解被列出。
但这些可行解并没有达到最优,不断有人给出了一些n的新纪录。
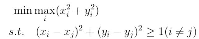
怎样用计算机求解这个问题呢?我们把n视为已知,求最小的R.
为方便起见,小圆的半径取为1.
设所有小圆的坐标为(x_i,y_i),那么圆不重叠就是
(x_i-x_j)^2+(y_i-y_j)^2>=1 (i不等于j)
我们把大圆放在原点上,希望 max (x_i^2+y_i^2)最小,如果它的最小值是K,那么sqrt(K)+1就是一个可行的R.

这样,问题就成了不等式约束下的极值问题,可以利用一些已知的数值算法来处理,不过仍然非常复杂。
到2014年,已经列出了n<=4495的可行解,但其中一部分又经常被刷新记录。