2020至2021六年级上册期末数学卷 (重庆六年级数学上册期末试卷2021)

2016-2017学年小学数学北师大版六年级上册期末测试卷(含参考答案)

班级 姓名 分数_______________

一、认真填写(每空1分,共16分)

1.3:0.5化成最简单的整数比是( ),比值是( )。

2.体育课上,同学们围成一个圆圈做游戏,老师站在中心点上,已知这个圆圈的周长是18.84米,则每个同学与老师的距离大约是( )米。

3.3.14、、和π按照从小到大排列的顺序是( )。

4.从一张边长10厘米的正方形纸片上剪下一个最大的圆,这个圆的面积是( )平方厘米。

5.王阿姨从邮局给在外地上大学的儿子汇款600元,按照规定,汇费是汇款数的2%。王阿姨应付汇费( )元。

6.一张光盘的刻录面为环形,内圆的直径是4厘米,外圆直径是12厘米,这张光盘刻录面的面积是( )平方厘米。

7.一块手表打八五折后便宜30元,其原价是( )元。

8.在一场NBA的篮球比赛中,我国著名运动员姚明共投篮25次,6次未中,他在这场比赛中的投篮“命中率”是( )。

9.四川地震灾区搭建简易帐篷每顶50平方米,可以安置有18个床位,都江堰地市的某乡镇受灾民众大约有9万人,约需( )顶帐篷,这些帐篷大约占地( )公顷。

10.小名的爸爸每分钟心跳72次左右,每跳动一次心脏就能排出70毫升血液,则一个小时通过心脏的血液总量大约( )升。

二、仔细判断(10分)

1.新培育的玉米良种,发芽率达到120%。 ( )

2.6名同学进行乒乓球比赛,每2人要比赛一场,一共要进行12场比赛。( )

3.比的前项和后项都乘同一个整数,比值不变。 ( )

4.圆和圆环都是轴对称图形。( )

5.小亮说:“暑假期间我参加了许多项体育锻练,体重下降了10%千克”。( )

三、精心挑选(12分)

1.下面这个立体图形,灵灵从上面看到的是( )。

2022小学六年级上册数学期末试卷,2021-2022六年级上册数学期末

2.一个圆的周长扩大3倍,它的面积就扩大( )倍。

A.3 B.6 C.9

3.长度相等的三根铁丝,分别做成一个长方形、正方形和圆,( )面积最大。

A.长方形 B.正方形 C.圆

4.“一箱苹果吃了48%”,作为单位“1”的量是( )。

A.吃了的苹果的重量 B.剩下的苹果的重量 C.这箱苹果原来的重量。

5.用统计图描述我国五大名主峰的海拔高度,绘制( )统计图较好。

A.条形 B.折线 C.扇形

6.人离不开水,成年人每天体内47%的水靠喝水获得,39%来自食物含的水,14%来自体内氧化时释放出来的水。

最适合选用( )统计图。

A.条形 B.折线 C.扇形

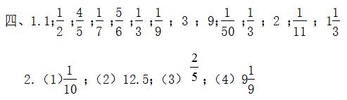
四、细心计算(25分)

2022小学六年级上册数学期末试卷,2021-2022六年级上册数学期末

3.列式计算(6分)

(1)甲数的2/3是18,乙数的3/4是18,甲、乙两数的和是多少?

(2)一个数的25%比一个数的1/2少15,这个数是多少?

五、图形与操作(8分)

1.某市为美化环境,准备在人民广场中央建造一个花坛。花坛由两个大小一样的圆组成的,并且两圆相连只有一个交点。请你设计一下,按要求画图:先画两个大小一样的圆(要求两圆相连且只有一个交点),再画出这个图形的对称轴。注意:对称轴要画两条(4分)

2.先画出一个或几个图形,再运用对称、平移或旋转的方法,设计美丽的图案。(4分)

2022小学六年级上册数学期末试卷,2021-2022六年级上册数学期末

六、解决问题(29分)

1.古诗《春》是这样的:春水春满池,春进春草生。春树绽春蕊,春雨伴春风。春人饮春酒,春鸟弄春色。作者在这首诗中放情呤春,神采飞扬。全诗中中“春“字出现的特别多。请你算一算,“春”的字数占全诗总字数的百分之几?(5分)

2.春雨矿泉水厂向四川地震灾区的某地区运送矿泉水,该地区人口约12万,每人每天需2瓶水,24瓶水装成一箱,则该厂每天需要装运多少箱矿泉水?(5分)

3.一个半圆形教具,它的半径为5分米,它的周长是多少分米?面积是多少平方分米?(6分)

4.阳光超市和欣欣超市都以50元的价格出售同样的篮球,一星期后,阳光超市把售价降低了15%,再过一星期又提升了30%;欣欣超市在阳光超市调价两星期后把价格提升了15%,小刚现在正想买这种篮球,他应到哪家超市购买比较合算?(6分)

5.下面是第9-15届亚运会中国和韩国获金牌情况统计图,请从统计图中回答下面问题。(7分)

2022小学六年级上册数学期末试卷,2021-2022六年级上册数学期末

(1)中国在第几届亚运会上获得金牌数量最多?第几届亚运会两国金牌数量相差最少?(2分)

(2)第14届亚运会,中国获得金牌数比韩国金牌数多百分之几?(4分)

(3)根据统计图,简单分析两国这几届亚运会上的表现。(1分)

2016-2017学年北师大版小学六年级数学上册期末测试试卷参考答案

一、1.6:1 6; 2.3; 3.﹥π﹥﹥3.14; 4.78.5;

5.12; 6.100.48; 7.200; 8.76%; 9.5000 25; 10.302.4

二、1× 2× 3× 4√ 5×

三、1B 2C 3C 4C 5A 6C

2022小学六年级上册数学期末试卷,2021-2022六年级上册数学期末

3.(1)51 (2)60

五、略

六、

1.40%;

2.10000;

3.25.7分米;39.25平方分米;

4.阳光超市;

5.(1)11届;10届;(2)56.25%;(3)略