浙江一段平行志愿正式投档 (2021年浙江一段投档线)

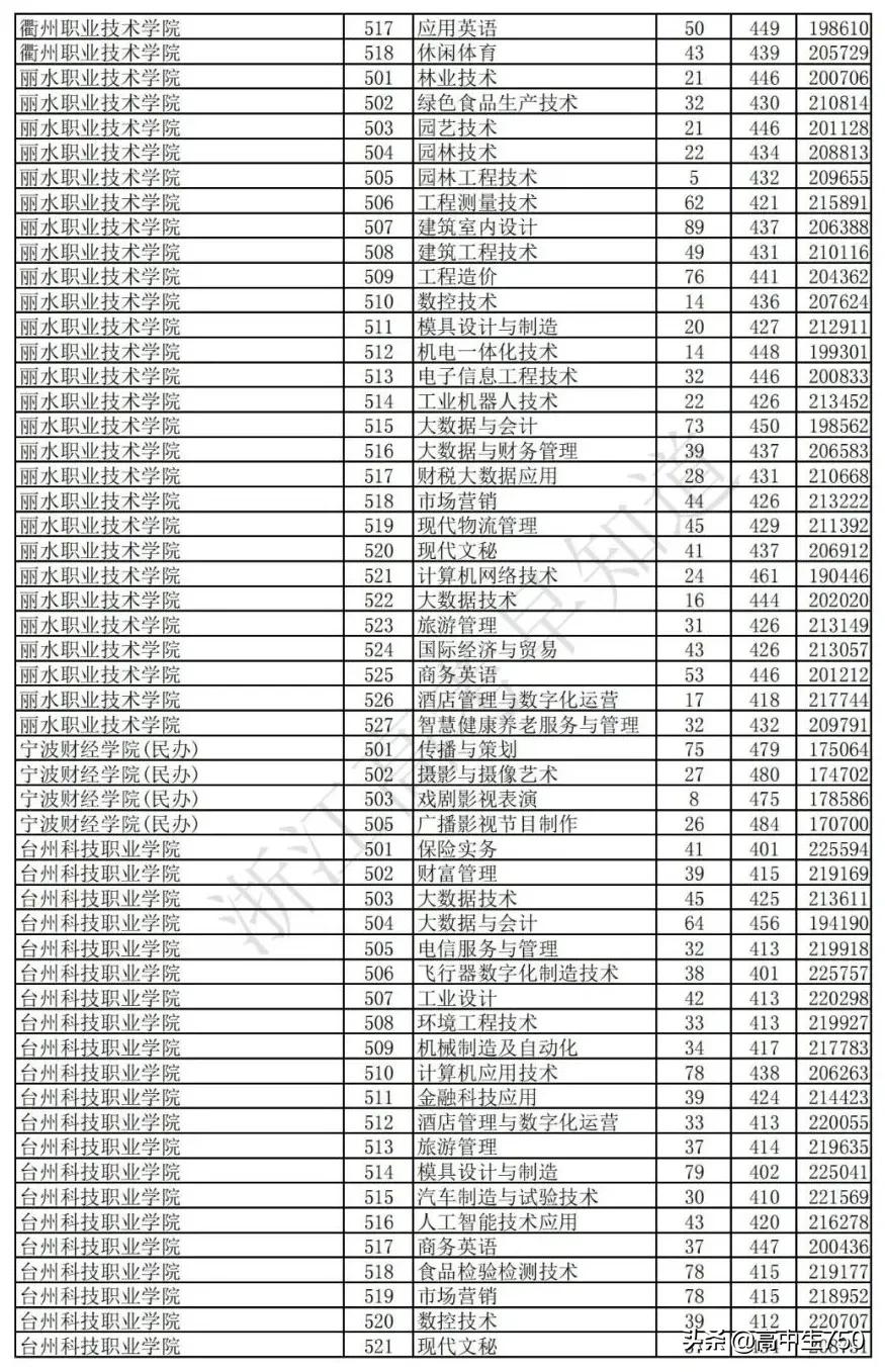
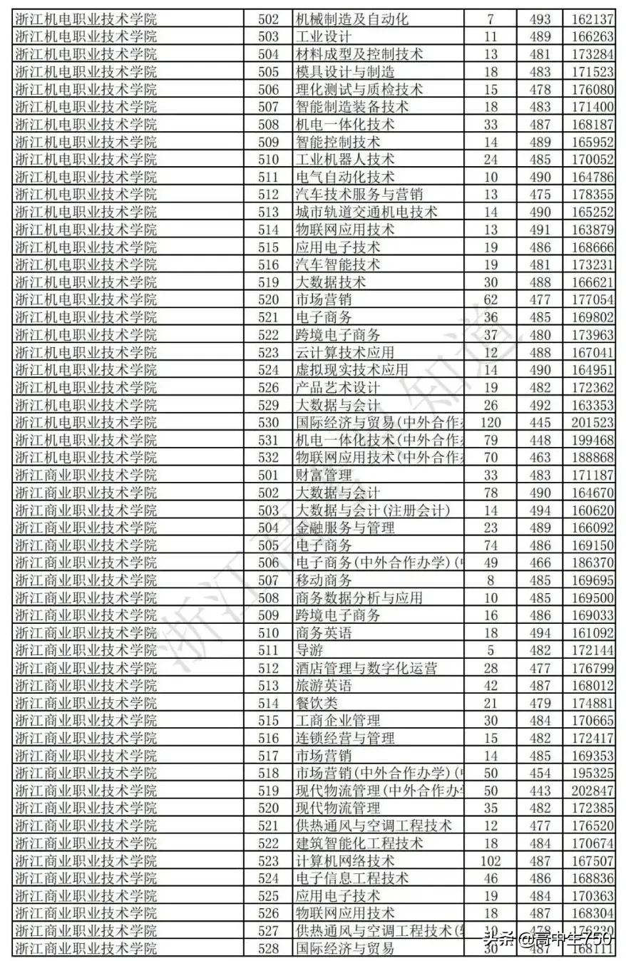
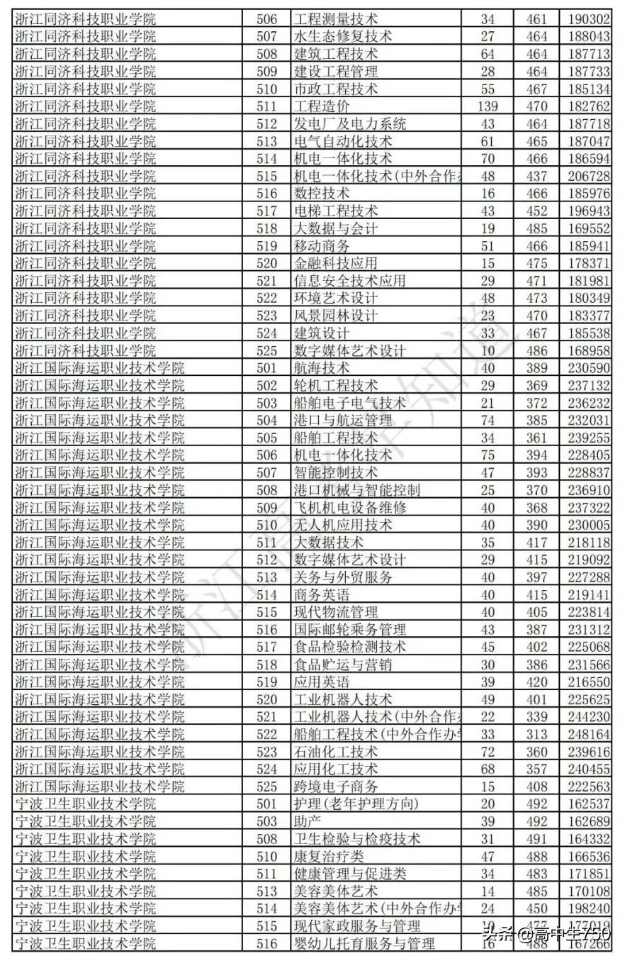
2021浙江省内高校一段投档分数线完整版

(点击图片可放大)

2021浙江省高考平行志愿投档规则,2021年浙江一段投档线

2021浙江省高考平行志愿投档规则,2021年浙江一段投档线

2021浙江省高考平行志愿投档规则,2021年浙江一段投档线

2021浙江省高考平行志愿投档规则,2021年浙江一段投档线

2021浙江省高考平行志愿投档规则,2021年浙江一段投档线

2021浙江省高考平行志愿投档规则,2021年浙江一段投档线

2021浙江省高考平行志愿投档规则,2021年浙江一段投档线

2021浙江省高考平行志愿投档规则,2021年浙江一段投档线

2021浙江省高考平行志愿投档规则,2021年浙江一段投档线

2021浙江省高考平行志愿投档规则,2021年浙江一段投档线

2021浙江省高考平行志愿投档规则,2021年浙江一段投档线

2021浙江省高考平行志愿投档规则,2021年浙江一段投档线

2021浙江省高考平行志愿投档规则,2021年浙江一段投档线

2021浙江省高考平行志愿投档规则,2021年浙江一段投档线

2021浙江省高考平行志愿投档规则,2021年浙江一段投档线

2021浙江省高考平行志愿投档规则,2021年浙江一段投档线

2021浙江省高考平行志愿投档规则,2021年浙江一段投档线

2021浙江省高考平行志愿投档规则,2021年浙江一段投档线

2021浙江省高考平行志愿投档规则,2021年浙江一段投档线

2021浙江省高考平行志愿投档规则,2021年浙江一段投档线

2021浙江省高考平行志愿投档规则,2021年浙江一段投档线

2021浙江省高考平行志愿投档规则,2021年浙江一段投档线

2021浙江省高考平行志愿投档规则,2021年浙江一段投档线

2021浙江省高考平行志愿投档规则,2021年浙江一段投档线

2021浙江省高考平行志愿投档规则,2021年浙江一段投档线

2021浙江省高考平行志愿投档规则,2021年浙江一段投档线

2021浙江省高考平行志愿投档规则,2021年浙江一段投档线

2021浙江省高考平行志愿投档规则,2021年浙江一段投档线

2021浙江省高考平行志愿投档规则,2021年浙江一段投档线

2021浙江省高考平行志愿投档规则,2021年浙江一段投档线

2021浙江省高考平行志愿投档规则,2021年浙江一段投档线

2021浙江省高考平行志愿投档规则,2021年浙江一段投档线

2021浙江省高考平行志愿投档规则,2021年浙江一段投档线

2021浙江省高考平行志愿投档规则,2021年浙江一段投档线

2021浙江省高考平行志愿投档规则,2021年浙江一段投档线

2021浙江省高考平行志愿投档规则,2021年浙江一段投档线

2021浙江省高考平行志愿投档规则,2021年浙江一段投档线

2021浙江省高考平行志愿投档规则,2021年浙江一段投档线

2021浙江省内高校二段投档分数线完整版

(点击图片可放大)

2021浙江省高考平行志愿投档规则,2021年浙江一段投档线

2021浙江省高考平行志愿投档规则,2021年浙江一段投档线

2021浙江省高考平行志愿投档规则,2021年浙江一段投档线

2021浙江省高考平行志愿投档规则,2021年浙江一段投档线

2021浙江省高考平行志愿投档规则,2021年浙江一段投档线

2021浙江省高考平行志愿投档规则,2021年浙江一段投档线

2021浙江省高考平行志愿投档规则,2021年浙江一段投档线

2021浙江省高考平行志愿投档规则,2021年浙江一段投档线

2021浙江省高考平行志愿投档规则,2021年浙江一段投档线

2021浙江省高考平行志愿投档规则,2021年浙江一段投档线

2021浙江省高考平行志愿投档规则,2021年浙江一段投档线

2021浙江省高考平行志愿投档规则,2021年浙江一段投档线

2021浙江省高考平行志愿投档规则,2021年浙江一段投档线

2021浙江省高考平行志愿投档规则,2021年浙江一段投档线

2021浙江省高考平行志愿投档规则,2021年浙江一段投档线

2021浙江省高考平行志愿投档规则,2021年浙江一段投档线

2021浙江省高考平行志愿投档规则,2021年浙江一段投档线

2021浙江省高考平行志愿投档规则,2021年浙江一段投档线

2021浙江省高考平行志愿投档规则,2021年浙江一段投档线

2021浙江省高考平行志愿投档规则,2021年浙江一段投档线