1、随机数的产生
(1)随机数是各种不同分布随机变量的抽样序列。进行随机信号仿真分析时,需要产生各种分布的随机数。
(2)产生方法: Matlab仿真
2、线性同余法


3、随机序列的数字特征估计
(1)随机序列X(n)具有各态历经性
可通过随机序列的一条样本函数来获得该信号的统计特性。
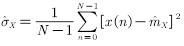
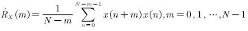
(2)数字特征估计
样本均值


样本方差


样本自相关函数


4、Matlab函数
(1)均值函数 m=mean(x)
(2)方差函数 sigma2=var(x)
(3)互相关函数:xcorr 用法:c=xcorr(x,y) ;C=xcorr(x)
功能:xcorr(x,y)计算x(n)与y(n)的互相关;xcorr(x)计算x(n)的自相关。
5、例题:
采用线性同余法产生均匀分布随机数N个,计算该序列的均值和方差与理论值之间的误差大小;
代码如下:
clear; clc;
N = 2^31; %一组参数
K = 2^16+3; %一组参数
y = zeros(1,1000); %随机数初始矩阵,即N为1000
un = zeros(1,1000);
y(1) = 1;
for i = 1:1000 %线性同余
y(i+1) = mod(K*y(i),N);
un(i) = y(i+1)/N;
end
plot(y); %可视化
xlabel('横坐标');
ylabel('产生的随机数');
title('随机数可视化');
m = mean(un) %均值
sigma2 = var(un) %方差
ms = 1/2 %均值标准值
sigma2s = 1/12 %方差标准值
Em = abs(m-ms)/ms %计算均值误差
Esigma2 = abs(sigma2-sigma2s)/sigma2s %计算方差误差