一、为什么会说这是一种数学直觉呢?

小学课本中圆的面积公式推导
如上图所示,在小学数学教材中,将圆分解成无数等分的小扇形,当每一分足够小时,每个小扇形可以看成一个三角形,在将这些三角形拼成近似的长方形,长方形的面积等于圆的面积。这是一种朴素“化圆为方”的思想,把未知问题转换成已知问题去求解。其中的近似处理也会给大家产生一种“圆的面积公式是近似公式”的嫌疑。
上述方法只是为了帮助小学生们理解公式,并不是严格的推导,事实上,圆的面积公式经过了一系列的演化,修正才变成今天的样子。从4000多年前,古巴比伦、古埃及的近似公式,到古希腊亚里士多德提出并严格证明,我国古代数学家刘徽用割圆术对圆周率精确计算,再到近现代利用极限,三角函数,微积分多种方法的验证,经过漫长了的过程。接下来我们将回顾圆的面积产生过程,重点研究亚里士多德对圆的面积公式贡献。
二.圆的面积近似公式
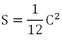
1.公元前2000年前的古巴比伦人为了准确丈量各种形状土地的面积,以收取赋税,出现了对圆的面积计算的近似方法。根据泥版YBC7302上的记载,圆面积和周长之间的关系式为:

古巴比伦圆的面积的公式
公式中C为圆的周长(下同)。
对比今天的公式,我们发现其计算出的面积比实际大约4.7%。四千多年前有公式推导已属不易,不光需要缜密的思维,还依赖精确的测量技术,所以这么大的误差也可以理解。
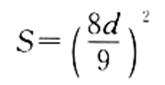
2.古埃及的数学知识记录在出土的两卷纸草书书上,纸草书的年代在公元前1850~前1650年之间。纸草书给出圆面积的计算方法:将直径减去它的1/9之后再平方。用公式可表示为:

古埃及圆的面积公式
公式中d为圆的直径(下同)。
根据此公式计算出的圆周率约为3.1605,误差约为0.6%,可见已经非常精确了。古埃及人能建造出那么宏大的金字塔,其先进的数学知识及精密的测量技术功不可没。
上面两个近似公式都将圆的面积表示为已知正方形面积的一部分,即“化圆为方”。
三. 阿基米德关于圆的面积公式的证明
(一).阿基米德与圆
公元前约225年,阿基米德发表了一篇论文《圆的测定》,其中第一个命题就对圆的面积做了透彻的分析和严格的证明。《圆的测定》开篇断言:任意圆的面积,与两条直角边长分别为该圆半径和周长的直角三角形的面积相等。

图1,阿基米德关于圆面积和定义三角形面积对应关系
*下文提到的定义三角形即为上图中的直角三角形。
(二).阿基米德所处时代背景:
- 古希腊人并没有代数学,也没有实数的感念,也不存在π,所以圆的面积只能用与其面积相同的三角形的面积来表示。
- 欧几里得的《几何原本》已经为几何证明做好了铺垫。《几何原本》开创了古典数论的研究,在一系列公理、定义、公设的基础上,创立了欧几里得几何学体系,成为用公理化方法建立起来的数学演绎体系的最早典范。
- 阿基米德的算法是在古希腊通用的笨拙的系统中完成的,其中分数源自古埃及奇怪的表示和处理方法:

古埃及分数表示及计算方法
4.当时的几何家已知,不论圆的大小如何,圆的周长与直径的比为常数(显然这个常数就是后来的 π)。
k1=C/d
5.《几何原本》已经证明了圆的面积正比于半径的平方。即存在常数k,使得对任意圆都有:
k2=S圆/r2
但他们都没有发现k与π的关系。
(三)阿基米德证明用到的断言(容易证明或不证自明,部分出自《几何原本》,部分为阿基米德的杰出创新)
断言一:任意圆内接正多边形的面积小于圆的面积。

圆的内接正多边形
设 δn=S圆- Sn>0
Sn为圆内接正n边形的面积,δn为圆与其内接正多边形面积之差,即图中阴影部分的面积。
断言二:δ2n<δn/2

割之弥细,所失弥少
如上图,以圆内接正四边形为例,蓝色部分的面积小于阴影部分的面积,推广到整个图形,对于所有的圆内接正多边形都有δ2n<δn/2。
断言三:任意圆内接正多边形的面积小于前面定义的三角形面积,即Sn<S△。

如上图,证明基于以下两个事实。
OA<OB, P(A)Q<弧PBQ
断言四:给定一个已知圆,做圆的内接正多边形,正多边形的边数越多,正多变形的面积更接近圆的面积。如正八边形的面积比正方形更接近圆的面积,正十六边形又比正八边形更接近圆的面积,这一过程可以无限继续,则正多边形的面积无限逼近圆的面积。(跟我国魏晋期间刘徽的割圆术类似,都用到了穷竭法)
显然,圆内接正多边形的面积永远小于圆的面积。但是,如果预先给定任一面积,不论其多小,我们都能做出一个内接正多边形,而使圆面积与其内接正多边形的面积之差小于这一预先给定的面积。(是不是有熟悉的感觉,这恰是高等数学中极限的定义,这也是阿基米德证明圆的面积的关键。)
断言五:任意圆外切正多边形的面积大于圆的面积。

圆外切正多边形
设 δN=SN-S圆>0
SN为圆外切正N边形的面积,δN为圆外切正N边形面积与圆面积之差,即图中阴影部分的面积。
参考断言二易知 δ2N<δN/2
断言六:定义三角形的面积小于圆外切正N边形的面积。(参考断言三)
断言七:圆外切正多边形的面积永远大于圆的面积。但是,如果预先给定任一面积,不论其多小,我们都能做出一个外切正多边形,而使圆面积与其外切正多边形的面积之差小于这一预先给定的面积。
(四).阿基米德采用的逻辑方法——双重归谬法(反证法)
在阿基米德之前,人们往往采用直接证明的方法,而阿基米德则采用间接方法。
比如我们要证明A=B,当直接证明比较困难的时候,可以采用排除法。A与B的关系只有3种情况,A>B,A<B,A=B。如果能排除前两种情况,自然得到A=B。
阿基米德采的方法:排除S圆>S△和S圆<S△两种情况,得S圆=S△。
(五).阿基米德的证明
求证:任意圆的面积,与两条直角边长分别为该圆半径和周长的直角三角形的面积相等,即S圆=S△。
第一步,证圆的面积不大于定义三角形。
证明:
假设 S圆>S△
令 ε'=S圆-S△>0 (预先给定的面积)
根据断言四
当取充分大的n,使得 δn<ε (δn见断言一,根据断言四)
有 Sn<S△<S圆 (断言三)

这表明 ε=S圆-S△<S圆-Sn=δn (如上图)
即 ε<δn
与n的选取矛盾,则假设S圆>S△不成立。
第二步,证定义三角形的面积不大于圆。证明:
假设 S△>S圆
令 ε’=S△-S圆>0 (预先给定的面积)
根据断言七
当取充分大的N,使得 δN<ε' (δN见断言五,根据断言七)
有 S圆 <S△ < SN (断言六)

这表明 ε'=S△-S圆<SN-S圆=δN (如上图)
即 ε'<δN
与N的选取矛盾,则假设S△>S圆不成立。
综上第一步第二步证明,可知 S△=S圆。
用阿基米德的语言描述为:“由于圆的面积既不大于、也不小于(三角形面积),因此,圆的面积等于三角形面积。”
(六).想到的一些闲话
- 从阿基米德的证明过程可以看出其严谨的思维,奇特的方法。在他的时代,这种反证法是一种绕圈子式的论证,在他之前,圆的面积是包括欧几里得都没能解决的问题,可见其困难和复杂的程度。
- 就像建一座房子,阿基米德每一块石头都需要自己亲手凿,用最原始的方式建了一栋房子,而这房子屹立千年,现在依然完好。
- 遗憾的是,阿基米德的证明最终只是用三角形的面积表示,并没有发现π的存在。但阿基米德随后在《圆的测定》第三个命题中,推导出了π的范围约为3.14。(知道存在这样一个常数,没有把周长中的常数与面积中的常数联系起来。)
- 圆的面积证明只是阿基米德数学遗产的一部分,其其他著作中论述的问题已经属于今天的微积分领域了。
- 由于所处的时代限制,没有简明的代数符号,阿基米德只能依靠陈述,犹如戴着镣铐跳舞。
- 阿基米德是被罗马士兵杀死的。
四、其他圆的面积公式的证明方法
1.刘徽的割圆术

刘徽及其割圆术
汉《九章算术》已经提出了圆的面积公式:“术曰:半周半径相乘得积步。”设圆的周长是L,半径为r,那么圆的面积为:

九章算术中圆的面积公式
中国古代从先秦时期开始,一直是取“周三径一”(周长:直径=3:1)的数值来进行有关圆的计算。即将π用3代替,显然误差很大。
我国魏晋时期数学家刘徽于公元263年撰写《九章算术注》,创造了著名的割圆术,使圆周率精确度大大提升。“割圆术”,则是以“圆内接正多边形的面积”,来无限逼近“圆面积”。刘徽形容他的“割圆术”说:割之弥细,所失弥少,割之又割,以至于不可割,则与圆合体,而无所失矣。
最终刘徽求得了圆周率的近似值3.1416,南北朝时期的祖冲之又将圆周率精确到小数点后第七位,这一结果一直领跑世界一千一百年。
中国古代的数学虽然也有闪光点,割圆术中明显含有极限过程及无穷小的思想,但不像古希腊建立起了严密的演绎体系,这些缺乏严格的推理证明。这也与古代中国重应用而轻理论有关,就拿著名的《九章算术》而言,其中收集了246个与生产、生活实践有联系的应用问题,其中每道题有问(题目)、答(答案)、术(解题的步骤,但没有证明),有的是一题一术,有的是多题一术或一题多术。更多的是讲方法,为了实践服务的。
2.定积分求圆的面积

在平面直角坐标系中,圆的面积方程为:

用定积分即可计算出其面积:

3.其他求圆面积的方法
也可在直角坐标系下用参数方程积分,二重积分等方法求圆的面积,这里不一一列举。
但是个人认为这些方法称之为计算或验证或许更准确一些,毕竟有了微积分这个大杀器,圆的面积不再是困扰人们数千年的数学难题了。但是在几千年来对圆的关注和求解中诞生的灵感火花也照亮了微积分出现的道路。
五.结束语
在写这篇文章之前,我也天真的认为,圆的面积公式那么简单,相较于奥数,高考的压轴题,高数这又算的了什么。结果光理解阿基米德这位两千多年前的伟大数学家的思路就花费了我一天的功夫,可能也于我天资愚钝有关。我们现在看起来当成常识的知识,日常用的手机,在发现发明之处经历过些什么,我们未曾想到。人类的演化经历了数百万年,科学从古希腊的演绎体系到现在经历了两千多年,近代工业革命到现在也不过区区两百多年,科技发展日益加快。我们今天的一小步,对古人来说可能需要走成百上千年。是他们的思想将我们送到现在这个文明进步的时代,珍惜当下,致敬伟大的先贤们。