知识点1、二次根式定义
形如图1 式子叫做二次根式;

二次根式
二次根式必须满足:含有二次根号;被开方数a必须是非负数(含有,且有意义)。

二次根号
①被开方数可以是数,也可以是单项式、多项式、分式等代数式;
②判断时一定要注意不要化简,一定要有意义。
知识点2、最简二次根式
若二次根式满足:被开方数的因数是整数,因式是整式;被开方数中不含能开得尽方的因数或因式,这样的二次根式叫做最简二次根式。
①根号下无分母,分母中无根号;②被开方数中没有能开方的因数或因式。
知识点3、二次根式的性质
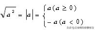
(1)非负性 √a (a≥0)是一个非负数
注意:此性质可作公式记住,后面根式运算中经常用到.
(2)(√a)^2=a (a≥0)
注意:此性质既可正用,也可反用,反用的意义在于,可以把任意一个非负数或
(3)非负代数式写成


注意:
(1)字母不一定是正数.
(2)能开得尽方的因式移到根号外时,必须用它的算术平方根代替.
知识点4、最简二次根式和同类二次根式
(1)最简二次根式:
☆最简二次根式的定义:
①被开方数是整数,因式是整式
②被开方数中不含能开得尽方的数或因式,分母中不含根号
☆同类二次根式(可合并根式):
几个二次根式化成最简二次根式后,如果被开方数相同,这几个二次根式就叫做同类二次根式,即可以合并的两个根式
知识点5、二次根式计算——分母有理化
(1)分母有理化
定义:把分母中的根号化去,叫做分母有理化。
(2)有理化因式:
两个含有二次根式的代数式相乘,如果它们的积不含有二次根式,就说这两个代数式互为有理化因式。有理化因式确定方法如下:
①单项二次根式:利用(下图)来确定 ,如下,分别互为有理化因式。


②两项二次根式:
利用平方差公式来确定。
如下列式子,互为有理化因式

(3)分母有理化的方法与步骤:
①先将分子、分母化成最简二次根式;
②将分子、分母都乘以分母的有理化因式,使分母中不含根式;
知识点6、二次根式计算——二次根式的乘除
(1)积的算术平方根的性质
积的算术平方根,等于积中各因式的算术平方根的积。

(2)二次根式的乘法法则
两个因式的算术平方根的积,等于这两个因式积的算术平方根。

(3)商的算术平方根的性质
商的算术平方根等于被除式的算术平方根除以除式的算术平方根 。

(4)二次根式的除法法则
两个数的算术平方根的商,等于这两个数的商的算术平方根。

注意:乘、除法的运算法则要灵活运用,在实际运算中经常从等式的右边变形至等式的左边,同时还 要考虑字母的取值范围,最后把运算结果化成最简二次根式.
知识点7、二次根式计算——二次根式的加减
二次根式的被开方数相同时是可以直接合并的,如若不同,需要先把二次根式化成最简二次根式,然后把被开方数相同的二次根式(即同类二次根式)的系数相加减,被开方数不变。
(1)判断是否同类二次根式时,一定要先化成最简二次根式后再判断。
(2)二次根式的加减分三个步骤:
①化成最简二次根式;
②找出同类二次根式;
③合并同类二次根式,不是同类二次根式的不能合并
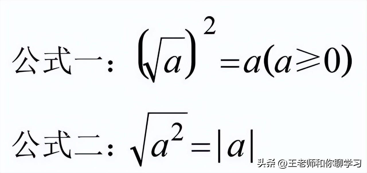
二次根式中有两个比较重要的公式,在化简中能够经常使用,化简题中需要关注三种题型。

两个公式都有注意点,公式一中要注意根号中的被开方数必须是非负数,这也是二次根式有意义的条件。公式二最容易出错,有两个易错点,其一:直接开根得到答案为a,这也是最常犯的错误;其二在去绝对值时,得到本身a认为a的取值范围是大于0,其实应该为大于等于0,得到相反数-a,a的取值范围应该小于等于0.
直接化简
在直接化简时,有些题目有隐含条件,需要我们自己去挖掘,有些题目没有隐含条件,就是简单的化简求值题,题目会默认被开方数大于等于0.

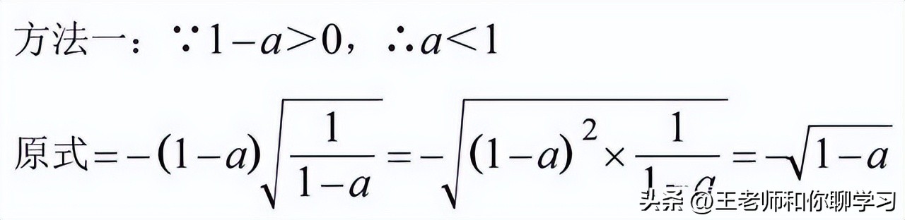
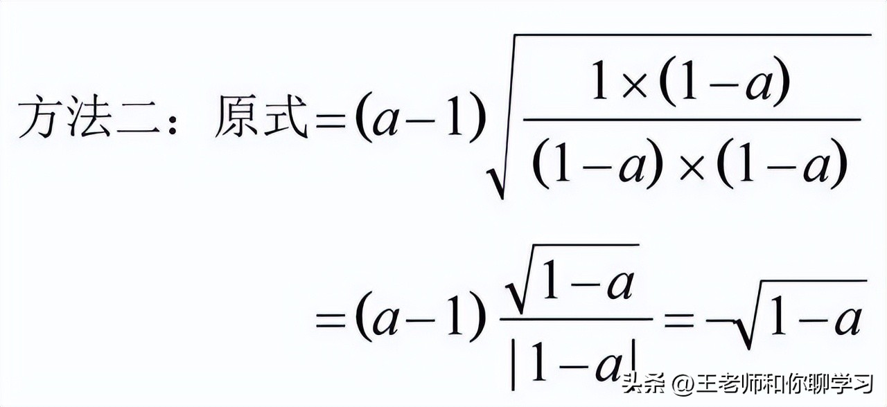
分析:本题中被开方数是分式的形式,需要化简,根据被开方数是非负数,可以得到1-a>0,即a<1。
在化简时,有两种方式,一种是把根号外的部分平方以后移入根号内,然后再进行化简。但是,在移动的过程中还要注意,括号外面的代数式a-1为负数。另外一种方法是将根号中的分式进行分母有理化,即分子、分母同乘以1-a,得到上述的平方再开根先变成绝对值,然后再进行化简。

将根式外的数或代数式移到根号里面时要是正数,不能随随便便就移进去,特别是代数式。

平方再开根一定要先变成绝对值,不要直接去根号,那样很容易出错。
条件化简
给定条件再化简,给定的条件可能是具体的范围,也可能多个字母之间的关系,也可能是数轴,变化多样,但是解题思路万变不离其宗。

分析:遇到平方再开根,先变成绝对值,然后根据已知条件对绝对值中的代数式进行讨论,绝对值中为非负数去绝对值得到本身,绝对值中为非正数,去绝对值时得其相反数。

不要害怕这类题目,其实主要就是去绝对值。

分析:通过数轴可知,a<0<b,且|a|>|b|,那么a+b<0,原式=aab=2ab。