
所有的成功者,即使是一个“天才”人物,都在非常努力地工作,而且他们经历的挫折与失败也不在少数。
作为教育者我们要赞扬的不是在数学上反应很快的孩子而是赞扬坚持不懈与勤于思考的孩子。
当一个孩子正经历失败或者挫折,并不意味着孩子没有数学潜力,而意味着他的大脑在成长,而这些正是推进他们变得越来越强大的动力。
所以请家长和教师停止夸奖孩子聪明,把重点放在他们的行为上。因为当孩子听到你们夸奖他们聪明时,他们感觉很好,但是当他们经历失败和挫折时,他们就开始觉得自己不聪明。在这样的环境下孩子评价自己的标准就是是否聪明。聪明这样的赞扬最终会害了孩子。
无论是家长还是教师我们应该换个角度称赞自己孩子,比如好的思想方式、努力工作的态度、持之以恒的精神对孩子称赞。

刷百题,不如精通一题;
抓一题之精髓,会一反三,学习事半功倍!
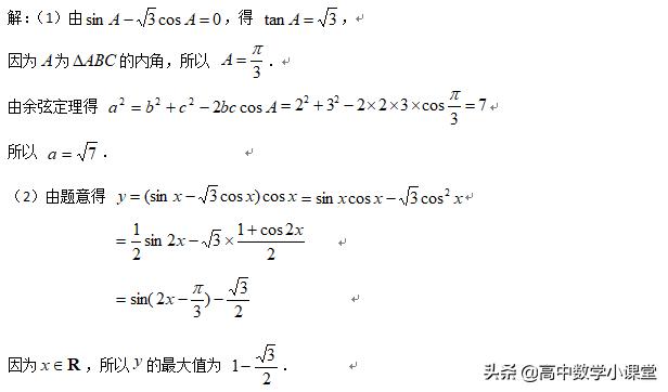
01高考考点,三角函数和正余弦定理的综合题
1、用正余弦定理解三角形是高考考点之一
利用余弦定理,可以解决以下两类常见有关三角形的问题:
(1)已知三边,求三个角;
(2)已知两边和它们的夹角,求第三边和其他角。
利用正弦定理,可以解决以下两类常见有关三角形的问题:
(1)已知两角与一边;
(2)已知两边与其中一边的对角。
注意:大边对大角,大角对大边
2、利用三角函数公式进行三角恒等变形,以基本三角函数性质为基础考查y=Asin(wx+φ)的性质,是高考常见题型,要求学生们熟练掌握公式和变换技巧,将其转化为只含“一个角的一个三角函数”
正余弦定理与三角函数交汇的问题,要紧紧把握正、余弦定理中反映的三角形中边角关系来处理。

02每天一题,思考时间来啦!

思考时间结束,赶紧动手把答案写出来吧

03每天一题,答案来了

你做对了吗?

04每天一题,视频讲解时间来啦!
视频加载中...
你掌握了吗?加油,坚持就是胜利!
我们是有态度、有经验、有资料

一个专业讲述高考数学与备战高考的头条号
如果您对我的文章感兴趣的话,可以关注微信公众号:gaozhongshuxue66,获取更多相关内容!