
高中数学:三年所需数学公式合集,快来查漏补缺!
更多初中、高中知识,可以在物理大师app中查看,获取哦~
1、基本初等函数




2、函数的应用



3、空间几何体

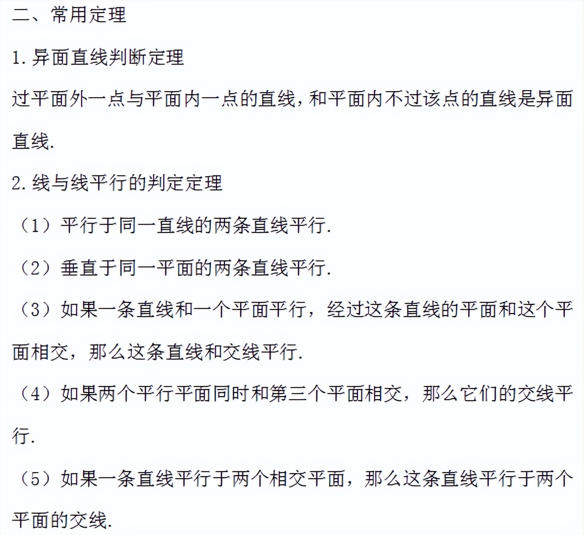
4、点、直线和平面位置关系


5、空间向量与立体几何





6、直线与方程


7、圆与方程



8、圆锥曲线与方程


9、统计

10、概率

离散型随机变量的分布列

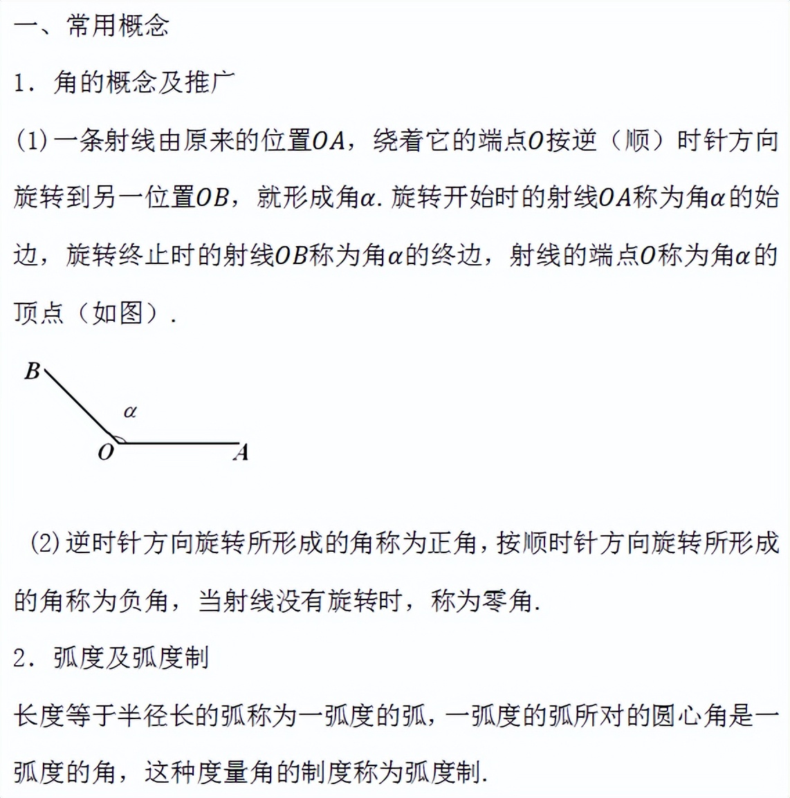
11、三角函数





12、三角函数的图象与性质



13、三角恒等变换

14、解三角形

15、平面向量


16、数列



17、不等式


18、常用逻辑用语


19、导数及其应用




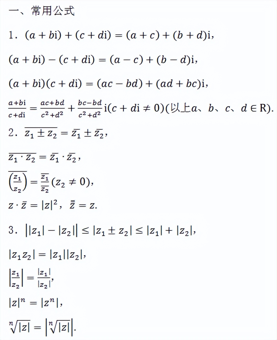
20、复数

21、计数原理



22、坐标系与参数方程



等一个一键三连~[飞吻]
您的支持是小编不断更新的动力![泣不成声]