
“资金管理”,各种投资课程都会讲的东西,但是往往很多人从来没执行过的东西。前段时间牛哥和朋友交流,个人做股票和期货到底需不需要资金管理呢?牛哥认为需不需资金管理要看用来投资的资金有多少,资金量小牛哥认为不需要,你用来投资的资金只有几万块钱,很多股票1手都不买不了,怎么管理?但是资金量大的情况下还是需要进行资金管理的。
资金管理主要就是两部分:一部分是头寸管理,即我买多少股票,什么时候加仓。另一部分就是止损的管理,什么时候止损,止损多少合适。
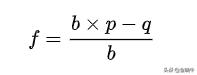
首先我们看一下头寸管理,头寸管理就是我看好一个股票,那我要投入多少资金买入?确定投入资金后是一次性买还是分批买入?要投入多少资金买入标的,牛哥一般根据简化的凯利公式计算出来。凯利公式:

公式中f为你该用资产多少比例下注;b为盈亏比;p为胜率;q为亏损概率,即q=1-p。

有人说这里面参数我怎么知道啊,牛哥上个帖子《牛哥谈交易(七)-如何构建自己的交易策略》介绍了如何构建交易策略,构建好策略你就会得到这些参数了。通过凯利公式你就知道你需要投入多少资金买入股票。
解决了买入多少的问题,那到底是分开买还是一次买呢?这个就要根据你所投资的股票的交易量和你投入资金量的绝对值来决定了,你的资金量不高,交易量又比较大,可以一次买入,如果资金量高,交易量低就分批买入。
下面我们看看止损的管理。什么是止损?这个大家都清楚,止损就是停止亏损的意思,投资界有句名言“让利润充分增长,把亏损降到最低”,但是有多少人做到呢?大多人都是反的吧(牛哥刚开始做投资的时候绝对是反的)。那为什么止损会如此艰难呢?主要原因有三个:
- 侥幸心理。价格达到止损位置的时候,总幻想这是暂时的,行情会回去的,然后亏损越来越大,越来越大。
- 止损设置的错误导致对止损产生抵触心理。这种基本上都是因为初入投资市场时听信老师、朋友等建议,设定固定止损并执行,止损后行情又向赚钱的方向走去,久而久之就产生了抵触心理,认为不止损坚持一下就赚钱了。但他不知道的是,不是止损行为错了,而是止损位置设置错了。
- 执行止损是一件痛苦的事情,这是人性的弱点。因此“割肉”是难以下手的事情,正因为如此,能否执行止损是决定一个交易者最终能否交易成功的条件之一。
那怎样进行正确的止损呢?
1.证明交易节奏与预期不同,止损离场。比如K线W底形态突破颈线后未达到2倍利润目标就掉头向下并且下破前期低点,证明形态已经失败,止损离场。
2.表明方向与预期不同,止损离场。比如上涨趋势过程中震荡区间底部买入,结果下破震荡区间,止损离场。

这两种情况的止损都是正确的止损,有些朋友会说,那老是止损为什么?那只能说明策略出现了问题,这个时候你不应该质疑止损行为有错误,而是该修改策略。
本文由@金晓牛原创,关注我,带你了解更多金融趣事!