分而治之
【阅读与思考】
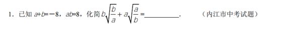
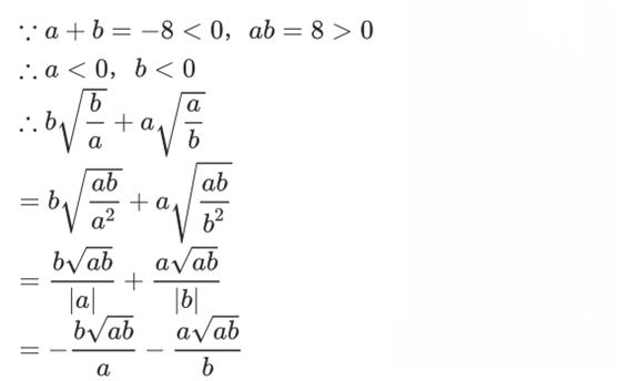
1.在解决某些数学问题的时候,需要将问题所涉及的所有对象按一定的标准,分成若干类,然后逐类讨论,才能得出正确的解答,这种解题方法称为分类讨论法.运用分类讨论法解题的关键是如何正确进行分类.正确分类的标准是:对所讨论的全体分类要“既不重复,又不遗漏”;在同一次讨论中只能按所确定的一个标准进行;对于多级讨论,应逐级进行.
2.初中数学分类讨论问题的常见形式有:
(1)一些定义、定理、公式和法则有范围或条件的限制,在使用过程中必须讨论;
(2)题设条件中含有变量或参数时,必须根据变量或参数的不同取值进行讨论;
(3)一些问题的图形位置或形状不确定时,只有通过讨论,才能保证结论的完整性;
(4)一些问题的条件没有明确给出或结论不唯一时,只有通过讨论,才能保证解答的严密性;
(5)对于自然数问题,有时须按剩余类分类讨论.
【例题与求解】



【解析】
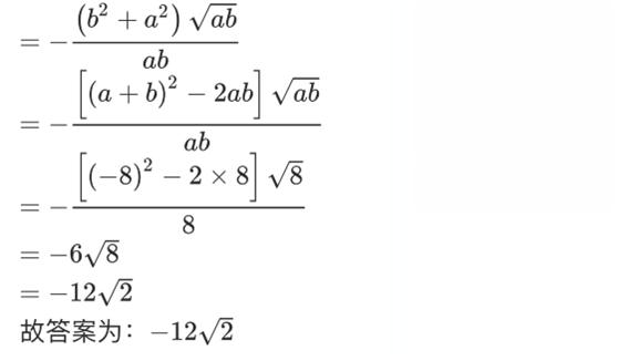
1.此题注意两种情况:(1)圆与AB相切时;(2)点A在圆内部,点B在圆上或圆外时.
2.根据勾股定理以及直角三角形的面积计算出其斜边上的高,再根据位置关系与数量之间的联系进行求解.
【点评】
本题利用的知识点:勾股定理和垂线段最短的定理;直角三角形的面积公式求解;直线与圆的位置关系与数量之间的联系.



【解析】
解此方程首先须脱去方程左边的绝对值符号,这就应对x的取值范围进行分类讨论,分类标准是应使x-2及x+3各自保持正负性不变(即x-2,x+3在分类中都不能既取正值又取负值),这样才能根据绝对值定义去绝对值符号.



【解析】
解答本题的关键在于分两种情况讨论:①当k=6或9;②当k≠6且k≠9.
【点评】
本题主要考查了用因式分解法解一元二次方程.










【点评】
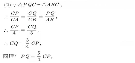
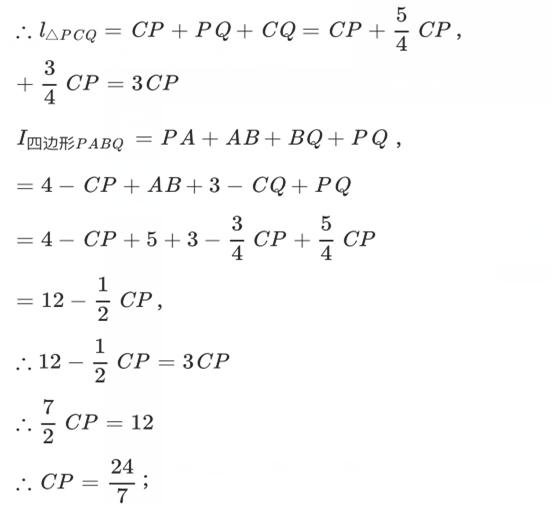
本题比较复杂,综合考查了相似三角形及直角三角形的性质,难度较大.





【*级A**能力训练】










【点评】
本题考查了根与系数的关系,属于基础题,关键是把a,b看成方程的两个根后再根据根与系数的关系解题.

解题思路:分高AD在△ABC内部或外部两种情况.

【解析】
画出图形可知有两种情况:∠BAC=∠BAD+∠CAD和∠BAC=∠BAD-∠CAD.
【点评】
本题考查的是三角形内角和定理及高线的概念:高线可能在三角形内部,也可能在三角形的外部.注意本题要分两种情况讨论.

解法一:


【解析】
先在直角坐标平面内描出A、B两点,连接AB,因题设中未指明△APB的哪个角是直角,故应分别就∠A、∠B、∠P为直角来讨论,设点P(0,x),运用几何知识建立x的方程.即可求P的坐标.
【点评】
本题考查了平面直角坐标系中勾股定理的运用,考查了分类讨论思想,本题中根据勾股定理计算P点的纵坐标x是解题的关键.
解法二:

【解析】
△APB为直角三角形,A,B,P都可为直角点,A,B可各取一个,关键是P可确定几个.画图后求解即可.
【点评】
本题考查平面直角坐标系内点的位置关系,以及考查了一元二次方程的解的情况.



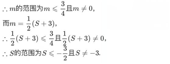
【解析】
在使用分类思想解数学题时,要根据已知条件和题意的要求,分不同的情况作出符合题意的解答.
分类讨论一般应遵循以下原则:
(1)对问题中的某些条件进行分类,要遵循同一标准;(2)分类要完整,不重复,不遗漏;(3)有时分类并不是一次完成,还需进行逐级分类,对于不同级的分类,其分类标准一定要统一.





【点评】
本题综合考查了圆周角定理、三角形的面积公式及特殊角的三角函数值.解答这类题一些学生不会综合运用所学知识解答问题,不知从何处入手造成错解.



【解析】
本题主要应用两三角形相似的判定定理,列出比例式求解即可.
【点评】
此题考查了相似三角形的判定.



【解析】





【点评】
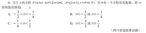
此题主要考查了利用一元二次方程的判别式判定方程的根的情况,其中判别式若△>0,则方程有两个不相等的实数根;若△=0,则方程有两个相等的实数根;若△<0,则方程没有实数根.



【解析】
先找出底为2,高为1的所有符合条件的普通平行四边形,注意变换位置;再找出长为2,宽为1的所有矩形;接下来找出边长为√2的正方形,据此即可得到答案.







【解析】
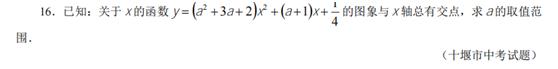
利用直接开平方法解方程对(1)进行判断;根据因式分解法解方程对(2)进行判断;根据分类讨论和勾股定理对(3)进行判断.
【点评】
本题考查了解一元二次方程-因式分解法:先把方程右边变形为0,然后把方程左边进行因式分解,这样把一元二次方程转化为两个一元一次方程,再解一次方程可得到一元二次方程的解.
【B级能力训练】



【点评】
此题考查了圆周角定理,垂径定理,等腰三角形的性质,锐角三角函数定义,以及圆内接四边形的性质,是一道综合性较强的题,本题有两解,学生做题时注意不要漏解.



【解析】
分两种情况进行分析,△DAP~△CBP或△DAP~△PBC,从而可求得点P的个数.
【点评】
此题主要考查相似三角形的判定及梯形的性质的综合运用.




【点评】
此题考查根与系数问题,将菱形的性质与一元二次方程根与系数的关系,以及代数式变形相结合解题是一种经常使用的解题方法.



【点评】
本题主要考查反比例函数的综合题的知识,解答本题的关键是熟练掌握反比例函数的性质,解答(2)问的函数解析式需要分段求,此题难度不大.





【点评】
本题主要考查反比例函数的综合题的知识,解答本题的关键是熟练掌握反比例函数的性质,解答(2)问的函数解析式需要分段求,此题难度不大.




【解析】
(1)结合题意,画出相应图形帮助解答.要分两种情况来求y关于x的函数表达式:①点P在边CA上运动时y与x的函数关系式;②点P在边AB上运动时y与x的函数关系式;
(2)依题意,y=1/4*S△ABC求出x的值即可.









【点评】
本题主要考查对相似三角形的性质和判定,等腰三角形的性质,含30度角的直角三角形,勾股定理,锐角三角函数的定义,解一元一次方程等知识点的连接和掌握,综合运用这些性质进行计算是解此题的关键.








【解析】
(1)首先求出顶点坐标,再代入直线解析式,分析得出二次函数解析式,利用相似△BPE~△BAF,得出m的值;(2)假设△ABC为等腰三角形,根据等腰三角形的性质分析得出C点的坐标,从而求出解析式.
【点评】
此题主要考查了中心对称的性质,以及二次函数的对称性和等腰三角形的判定,题目综合性较强,注意从已知入手细心分析.




【点评】
本题考查完全平方数的知识,综合性较强,难度较大,注意在解决多项式的系数的和、差以及其奇偶、整问题一般思路都是用特殊值法.



【点评】
本题主要考查了推理与论证,关键是读懂题意,从中获取有用的信息.



【解析】
假设出三队人数,由甲队最少,丙队最多得出,甲的取值范围,再结合比赛场数确定符合题意的人数.
【点评】
此题主要考查了三元一次方程的解法,以及整数解的有关知识,题目比较简单.