本章在数的开方知识的基础上,学习了二次根式的概念、运算法则和加减乘除运算。
对于二次根式,要注意被开方数必须是非负数,在二次根式的运算和化简中,要利用运算法则。二次根式的加减法与整式的加法类似,只要将根式化为最简二次根式后,去括号与合并被开方数相同的二次根式就可以了。二次根式的乘法与整式的乘法类似,以往学过的乘法公式等都可以运用。二次根式的除法与分式的运算类似,如果分子分母中含有相同的因式,可以直接约去。
至此,我们已经学习了整式,分式,二次根式等代数式的概念和运算。因为字母表示数,所以代数式的运算也就是含有字母符号的算式之间的运算,实际上就是用实数的运算律对这些符号进行运算。
思维导图

一、知识点梳理
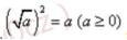
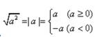
知识点一 、 二次根式的主要性质 1.

2.

3.

4. 积的算术平方根的性质 :

5. 商的算术平方根的性质 : .

6.若 a>b≥0, 则

知识点二 、 二次根式的运算 1. 二次根式的乘除运算 (1) 运算结果应满足以下两个要求 : ① 应为最简二次根式或有理式 ; ② 分母中不含根号 . (2) 注意每一步运算的算理 ; (3) 乘法公式的推广 :

(4) 注意:乘 、除法的运算法则要灵活运用,在实际运算中经常从等式的右边变形至等式的左边,同时还要考虑字母的取值范围,最后把运算结果化成最简二次根式. 2. 二次根式的加减运算
需要先把二次根式化简,然后把被开方数相同的二 次根式 ( 即同类二次根式 )的系数相加减 ,被开方数不变 。 3. 二次根式的混合运算 (1) 明确运算的顺序,即先乘方、开方,再乘除,最后算加减,有括号先算括号里; (2) 整式、分式中的运算律、运算法则及乘法公式在二次根式的混合运算中也同样适用 . (3) 二次根式运算结果应化简.另外,根式的分数必须写成假分数或真分数,不能写成带分数或小数.
4.简化二次根式的被开方数,主要有两个途径: (1)因式的内移: 因式内移时,若m<0,则将负号留在根号外.即:

(2)因式外移时,若被开数中字母取值范围未指明时,则要进行讨论.即:

二、常见考点、易错点剖析

三、解题技巧 总结归纳




二次根式中常见的隐含条件

四、题型归纳













五、达标检测题






