坐标转换永远是测绘工作离不开的一个话题。坐标转换的方法很多,有的方法可以用相应的参数来描述,其中使用较广的一个是七参数。七参数大多用于不同坐标系统间的基准变换。
1 七参数的由来

对于非测绘的专业人士可能不太能理解“基准”这个词语。简单的理解就是坐标数值的零点,比如空间坐标的原点,再比如大地坐标的起算面。 定义一个坐标系的三个基本要素是原点、指向、尺度。 原点即坐标系的原点,指向即坐标轴的指向,尺度即长度单位和椭球。由于各个坐标系,或者说定义坐标系的组织所确定的这三个要素都有所区别,这就产生基准的变换,并且使用七参数在空间坐标中进行基准变换。

什么是七参数,又有哪七个参数呢?
七参数主要分为3类参数,旋转、缩放和平移。缩放,表示为k,主要是由于测量误差产生的;平移为3个坐标轴方向上的平移,表示为dX、dY、dZ,这是由于原点不一样产生的;旋转为3个坐标轴的旋转,表示为rX、rY、rZ,这是坐标轴指向不一致产生的。
值得注意的是,旋转存在方向的问题 ;不同的软件,或者说不同地域的人的习惯差异,致使旋转方向不一致,比如南方集团与天宝七参数旋转方向一致,但与ArcGIS的就相反。因此同一个七参数在不同软件中使用时需要考虑旋转方向的问题,适当的时候做相应的变换才能完成正确的坐标转换,即旋转方向定义相反时,旋转角取其相反数。
平移的单位为对应的长度单位,我们常用米;旋转的单位为秒,原因是各个坐标系间指向的差异都很小;缩放的单位是PPM(part(s) per million,百万分之一),也就是说缩放是一个特别小的数值,这是因为坐标转换前我们都会率先统一单位,所以缩放数值也就体现了测量误差等因素的影响。

2
七参数的应用
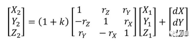
参数的应用过程细分为旋转、缩放、平移三个过程。这三个过程的顺序是如何的,我们来看一下公式:

简化为:

上式中,X1为原始空间坐标,X2为目标空间坐标,K为缩放,R为旋转,dX为平移。

可以看出,该顺序是先旋转,再缩放,最后平移。当然与之相反的是先平移,再缩放,最后旋转,这是一个可逆的过程,方便了两个空间坐标来回的转换。这里为了方便说明,我们将旋转、缩放、平移定义为七参数的正应用;平移、缩放、旋转定义为七参数的反应用。
我们可以看看EPSG对一个坐标系定义:
+proj=longlat+ellps=krass+towgs84=28,-121,-77,0,0,0,0
其中七参数作为基准的定义,叫做towgs84,字面理解是转换到wgs84所需的七参数,作用同样是为了不同坐标系间的基准变换。EPSG在进行基准转换前必须要说明原始的towgs84和目标的towgs84两个七参数。
那么问题来了!
两个七参怎么进行基准变换呢?为什么和WGS84有关系呢?在对比我们的熟悉的工程之星和SGO的坐标转换,通常都只有使用一个七参的情况,这又如何理解呢?
首先,工程之星和SGO大多的转换场景都是WGS84坐标转换到XIAN80、Beijing54、CGCS2000等坐标,这里使用的七参数是原始坐标系直接到目标坐标系的七参数;而EPSG定义的七参数(基准)是坐标系本身转换到WGS84坐标的七参数,只要两个坐标系都知道如何转换到WGS84坐标,其实就间接得知道这两个坐标系间的基准变换。
至于为什么是WGS84,这是历史原因造成的。因为WGS84是最先建立起来的全球坐标系统,卫星定位大多得到的是WGS84的空间或者大地坐标,为了能转换为自己的定义坐标系下的坐标,都需要自身建立与WGS84的关系。
最后一问题,EPSG如何用两个七参数进行基准变换。回到之前七参数的正反应用问题,原始坐标系的towgs84将原始坐标转换为WGS84的坐标(以下简称84坐标),这里是正应用。得到84坐标后使用目标坐标系的towgs84得到最终的坐标,这里是反应用。其实我们的工程之星和SGO坐标转换的原始坐标系和目标坐标系都可以指定七参数,只是使用的频率较低常被我们忽略。但与前述的过程相反,原始坐标系的七参数是反应用,目标坐标系的七参数是正应用。随着我们南方的发展壮大以及与国际的进一步接轨,使用两个七参数进行基准变换的场景会越来越多,比如我们的新软件GIStar,我们需要好好的理解其原理和过程,同时清楚现有功能和新功能的差异,使坐标转换更加得心应手。


3
七参数的细节
与towgs84相反的是fromwgs84,在旋转和缩放很小的前提下,两者互为相反数。fromwgs84可以参考天宝的坐标转换工具。如何区别towgs84和fromwgs84呢,其实很好理解,七参数正应用使非84坐标转换为84坐标,那么该七参数为towgs84;七参数正应用使84坐标转换为非84坐标,那么该参数为fromwgs84。我们工程之星和SGO以wgs84为原坐标系的转换场景,其使用的七参数都为fromwgs84。
回到前面提到的公式,该场景下X1为84坐标,X2为非84坐标,例如XIAN80,那么k、R和dX组成的七参数为fromwgs84,X2与X1调换,则为towgs84。

4
七参数的求解
求解7个参数,我们至少需要7个方程,一对空间坐标可以列3个方程,也就是说我们需要至少3对点,通过最小二乘的方法解算出七参数。当然点的数量也是有讲究,不是刚好3个点就好,也不是点越多越好,具体需要参考实际情况。
七参数作为基准变换的工具,其适用较大的区域乃至全球,我们需要在该区域选择均匀分布的控制点来求解七参数。小区域所求解的七参数是不适用的。 这里再提一下towgs84和fromwgs84,原为非84坐标,目标为84坐标,所求得的七参数为fromwgs84,相反则为towgs84。
以上为坐标转换七参数的介绍,希望对大家有所帮助。