原创 林根数学 林根数学 2022-03-15 11:24

e,作为数学常数,是自然对数函数的底数.有时称它为欧拉常数,以瑞士数学家欧拉命名;实际上,第一次堤到常数e是约纳皮尔(John Napier)于1618年出版的对数著作附录中的一张表,对,这个Napier就是发明对数的那个人,但他没有记录这常数,只有以它为底计算的一张对数表。有意思的是,历史上是先有的对数,后来才发现对数与指数的关系,与现行教材次序恰好相反。实际上,直到1770年,欧拉才第一个指出“对数源于指数”,这时对数和指数已经发明一百多年了。
第一次把e看为常数的是雅各伯努利(Jacob Bernoulli),但没有证明.已知的第一次用到e的是戈特弗里德·威廉·莱布尼茨(Gottfried Wilhelm Leibniz)于1690年和1691年的通信中有所提及,但以e表示常数是1727年欧拉开始的。
那么,欧拉发现了这个自然常数e的呢?当时,欧拉试图解决由另一位数学家雅各布·伯努利(Jakob Bernoulli)在半个世纪前提出的问题:假设在银行存了1元,而银行提供的年利率是100%,也就是说1年后连本带息,你会得到2块钱。那么现在假设半年就计算一次利息,半年利率为50%即0.5,这种方案年中计息一次是本息一共1+1×0.5=1.5元,然后下半年连本带息年末就为(1+0.5)2=2.25元,这样就是一年2.25块钱。那现在计算利率周期如果再短一些会怎么?再来假设每个月结算一次,月利率为1/12,本息计算(1+1/12)12最终得到大约2.61304块钱。看起来是利息的周期越短,收益就更好。不过雅各布.伯努利发现随着n趋于无穷,对于这样的连续复利存在着一个极限值。

这个极限由50年后的欧拉计算出来小数点后18位:
e=2.71828182845904523,当时Euler的计算已是当代的极限,但现代计算机可以毫无困难地得到e= 2.71828 18284 59045 23536 02874 71352 6624977572 47093 69995 95749 66967 62772 40766 30353 54759 45713 82178 52516 64274…….


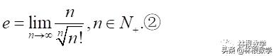
这在微积分的任何一本教程都能找到证明,用的单调有界的数列必存在极限.
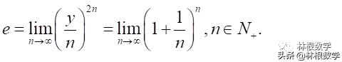
它有另外的极限形式:

实际上,在数的发展史中,几何发现往往是第一推动力,比如,π,√2的发现等,

e的发现虽然不是由几何开始,但也可以有下面的几何解释:
设n个相同的长方形ABCD构成的长方形为ABEF,并设AB=x,BE=y,则有x2=n,y2=n(n+1),(y/n)2=1+1/n,


顺变说一下,e的无理性和超越性都很难证,直到1873年法国数学家埃尔米特(Charles Hermite)才证明了e的超越性.但直到目前ee的超越性并不清楚。这些是数论的范畴,也比较艰深.
其实,e在数论,特别在素数分布中有着神奇的存在:
所有大于2的2n形式的偶数存在以e为中心的共轭奇数组,每一组的和均为2n,而且至少存在一组是共轭素数。可以说是素数的中心轴,只是奇数的中心轴。
自然常数也和质数分布有关。有某个自然数a,则比它小的质数就大约有个。在a较小时,结果不太正确。但是随着a的增大,这个定理会越来越精确。这个定理叫素数定理,由高斯发现。
e在近代几何中有着诡异的表现,首先来看在完全图中的e的表现:
在图论的数学领域,完全图是一个简单的无向图,其中每对不同的顶点之间都恰连有一条边相连。完整的有向图又是一个有向图,其中每对不同的顶点通过一对唯一的边缘(每个方向一个)连接。n个端点的完全图有n个端点以及n(n − 1) / 2条边,以Kn表示。它是(k -1)-正则图。所有完全图都是它本身的团(clique)。
图形理论本身以莱昂哈德欧拉于1736年在Königsberg七桥的工作开始。然而,完全图的绘图,其顶点放置在正多边形的点上,已经在13世纪中出现。这样的绘画有时被称为神秘玫瑰。

设完全图内的路径总数为W,哈密顿路总数为h,则
W/h=e.③
此规律更证明了e并非故意构造的,e甚至也可以称呼为是一个完全率。与圆周率有一定的相类似性,好像极限完全图就是图论中的圆形,哈密顿路就是直径似的,自然常数的含义是极限完全图里的路径总数和哈密顿路总数之比。
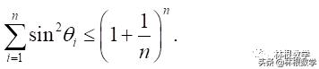
再看e在凸体中的表现:
自Bartos在1968引入顶点角概念,蒋星耀在1987年证明了,任何 n 维单形Ω n 的 n +1个顶点角均成立不等式

此表明

至于e的级数表达式是常见的:

这个证明,任何一本高数的书上都有,就是Taylor公式的特例。
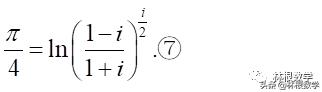
到于e和复数的联系,以下公式非常有名,被陶哲轩,张益唐推崇。


这个等式神奇的地方在于,把高数中常用的三个著名的数e, i ,π 联系到了一起,虚实相间,实虚运算最后归实,符合哲理和思辨。
类似的例子还能举出一些,也是挺有意思的表达。
1719年,意大利数学家法格纳诺(Fagnano)得到

1997年,中国的建筑师李明波得到

这个式子下面的一些等价形看起更好些。

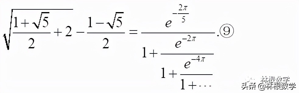
比较不常见的是拉马努金(汉语:斯里尼瓦瑟·拉马努金=泰米尔语:ஸ்ரீனிவாஸராமானுஜன்ஐயங்கார்=英语:SrinivasaRamanujan),

这是一个连分数的表达,在1913年,拉马努金给英国著名数学家哈代(Hardy)去了一封长达9页的信,信中附带了120条拉马努金自己发现的公式,上面这个公式就是其中的一条。这些公式没有证明过程,据说大部分是拉马努金心算求得,只是拉马努金短暂的一生令人唏嘘,有关拉马努金的故事可能参考电影《知无涯者》.

影片中详细介绍了他给出了整数n的分拆函数P(n)的估计式,并证明了P(n)的渐近公式。这个公式从发现、证明、再到被数学家们认同经历了很长时间的痛苦。他的工作对后来的数学家影响很大。
拉马努金惯以直觉导出公式,不喜作证明,然而事后往往证明他是对的。他留下的那些没有证明的公式,引发了后来的大量研究。
电影中还有一个非常有趣的片段,就是1729的故事,他与哈代一次乘坐1729牌号出租,他告诉哈代这是个有趣的数字,因为1729可以用两个立方之和来表达而且有两种表达方式的数之中,1729是最小的。(即1729= 13+123= 93+103,后来这类数称为的士数。)电影末尾(拉马努金去世后),哈迪与友人乘坐出租时,他把刚上车的友人从出租上拽下来去乘坐后一辆出租,它的牌号就是1729。

最后说一下,e在概率论中也有着神奇的应用,比如,维基百科中提到的“Derangements”问题:
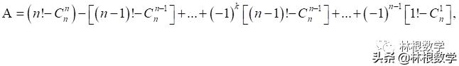
将n个帽子,随机放入n个位置,假设每个帽子有一个预先设定的正确位置,那么所有帽子全都“入错”位置的概率是多少。我觉得,这和有n个整数,假定1,2,3,...,n。从小到大是一个自然的正确顺序,那么将这n个数打乱随机排列,那么每一个数都跑到“其他人”的位置上的概率是多少?
可以有如下解法:首先n个数有n!种排列,其中全都对就一种,其概率为1/n!。
除去全错误后的排列数为:

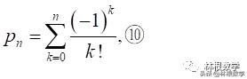
则有

显然有

此表明,这个概率的当n取不同的奇偶数值时,围绕1/e来回摆动。
谢谢阅读!
更多内容,请关注“林根数学”微信公众号:ling8365(13811118365)
林根数学,专注初高中数学辅导,全国清北自主招生讲座巡讲上百场,使一大批学生获得清北自主招生加分,帮助他们圆了清华、北大梦。
2019年辅导多名学生获全国高中联赛一等奖.
在微信公众号及头条号发表高考压轴题及数学竞赛题速解等相关公益文章500多篇,欢迎阅读及转发,期待更多的学生受益.
延伸课本知识、高考、强基、竞赛,综合创新提高、创新引领思维。
“以文化人,提升学生解题技能,以德化雨,滋润学生美丽心灵”。
《林根数学》资料(说明:以下资料随堂使用,不单独提供 )
1.《高考数学全观》(上、下)(高考第一轮)教案及学案
2.《高考数学重观》(高考第二轮)教案及学案
3.《清北数学高观》教案及学案
4.《中考数学微观》教案及学案
5.人教版必修1—5全套教案及学案

