欢迎你来到站长学堂,学习站长在线出品的在线课程《零基础Python完全自学教程》今天给大家分享的是第13课《Python中的break语句、continue语句和pass语句》。本节课主要内容有:break语句知识详解、continue语句知识详解、pass语句知识详解。

13.1、Python中的break语句
先来讲解break这个单词的意思,break作为动词有:“打破;(使)破裂;弄坏;损坏;坏掉;弄破;使流血”的意思,作为名词有“休息;间歇;课间休息;间断;暂停”的意思。
在Python中,break语句用于终止当前的循环,即循环条件没有False条件或者序列还没被完全递归完,也会停止执行循环语句。包括前面所学的while循环和for循环在内的所有控制语句。
break语句的使用语法很简单,只要在相应的while语句或者是for语句中加入break语句即可。
通常情况下,break语句会和if语句搭配使用,表示在某种情况下跳出循环。如果是多种嵌套的循环,则break语句,跳出最内层的循环(也就是说只向外跳一层)
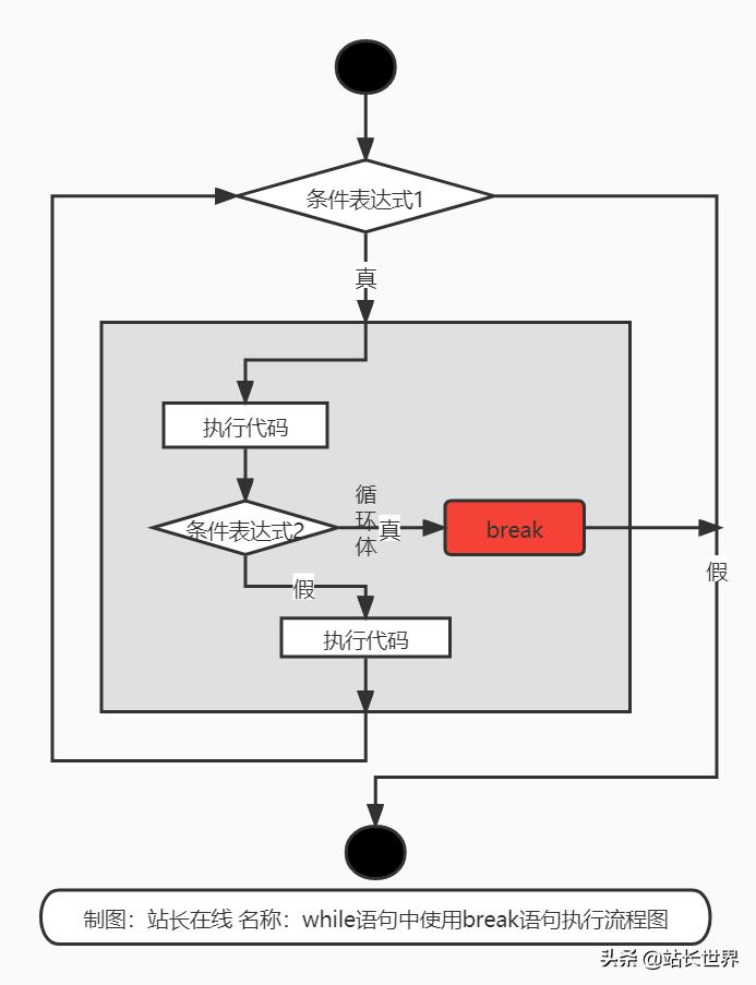
13.1.1、在while语句中使用break语句的形式如下:
while 条件表达式1:
执行代码块
if 条件表达式2:
bresk
其中,条件表达式2是用于判断何时调用break语句跳出循环的。
在while语句中使用break语句执行流程图如下图所示:

13.1.2、在for语句中使用break语句的形式如下:
for 迭代变量 in 对象:
if 条件表达式:
break
其中,条件表达式用于判断何时调用break语句跳出循环。
在for语句中使用break语句的执行流程图,如下图所示:

我们在实例12.2、使用for循环解决黄蓉与瑛姑见面的数学题。里面的for要从0循环到99,在23时已经找到了符号条件的数,但是还会继续执行。
现在我们就用break语句实现符合条件以后,跳出循环,结束语句,提高程序执行效率。
实例13.1、在for循环中使用break语句解决黄蓉与瑛姑见面的数学题。(for循环改进版)
思路:在实例12.2中末尾代码加入break语句,实现找到符合条件的数以后,直接退出for循环。修改后代码如下:
print("今有物不知其数,三三数之剩二,五五数之剩三,七七数之剩二,问几何?\n")
for number in range(100):
if (number%3 ==2) and (number%5 ==3) and (number%7 ==2): # 判断是否符合条件
print("答曰:这个数是",number) # 输出符合条件的数
break # 跳出for循环
执行结果如下:
今有物不知其数,三三数之剩二,五五数之剩三,七七数之剩二,问几何?
答曰:这个数是 23
>>>
在这里是到23是真正的停止了的,而在实例12.2中虽然显示的结果和上面的一样,但是,实际上,执行起来不是,会把1~99都执行一次,要想显示全部执行的效果,我们可以在实例12.2中的代码在第二行和第3行之间添加“print(number)”,执行效果如下:
今有物不知其数,三三数之剩二,五五数之剩三,七七数之剩二,问几何?
0
1
……
22
23
答曰:这个数是 23
24
25
……
98
99
>>>
也就是说,如果for循环中没有添加break语句,不管你也没有显示全部数值,都会执行全部数值。如果是数值很小,时间都差不多,如果数值大到很大,那么所花费的时间就很多了。
13.2、Python中的continue语句
英文单词continue的中文翻译是:“持续;继续存在;不断发生;继续做;不停地干;(朝相同方向)走;移动;延伸”的意思。
在Python中,continue语句是用于终止本次循环而提前进入下一次循环中。(而break语句跳出整个循环)。
continue语句用法和break语句类似,只需要在相应的while或者for语句中加入即可。
continue语句通常情况下,会结合if语句进行搭配使用,表示在某种条件下,跳过当前循环的剩余语句,然后继续进行下一轮循环。如果使用嵌套循环,则continue语句将只跳出最内层循环中的剩余语句。
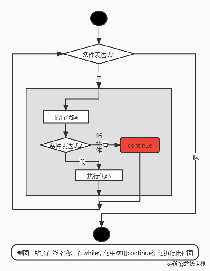
在while语句中使用continue语句的形式如下:
while 条件表达式1:
执行代码
if 条件表达式2:
continue
其中,条件表达式2用于判断何时调用continue语句跳出循环。在while语句中使用continue语句的执行流程图,如下图所示:

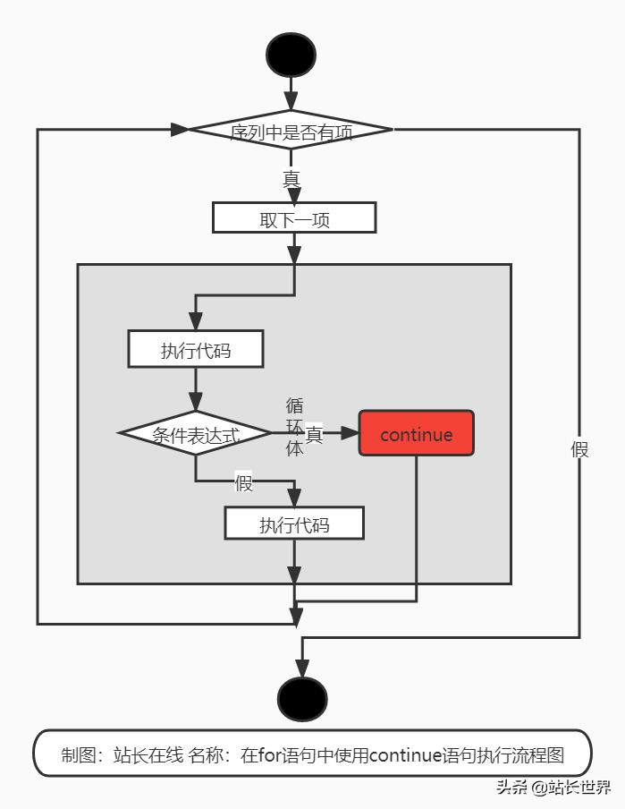
2、在for语句中使用continue语句的形式如下:
for 迭代变量 in 对象:
if 条件表达式:
continue
其中,条件表达式用于判断何时调用continue语句跳出循环。
在for语句中使用continue语句的执行流程图,如下图所示:

3、实例13.2、计算100以内所有偶数的和。
解题思路,通过在for循环中使用continue语句实现1~100( 不含100)的偶数和,代码如下:
s = 0 # 用于保存累加和的变量
for i in range(0,100,2):
if i%2 == 1: # 判断是否符合条件
continue # 继续下一次循环
s += i # 累加偶数的和
print(i) #输出所有符号条件的数值
print("1到100之间(不包括100)的偶数和为:",s) # 输出累加结果
执行结果如下:
0
2
4
……
96
98
1到100之间(不包括100)的偶数和为: 2450
>>>
13.3、Python中的pass语句
pass的中文翻译:通过;走过;沿某方向前进;向某方向移动;及格;合格;通行证。
在Python中表示空的语句,包括空的类,函数,方法等。它不做任何事情,通常情况下,只是起占位符的作用。
在Python中 pass语句语法格式如下:
pass
Python 的 pass语句,可以使用在 函数 中、if 条件判断中、for 循环中、while 循环中等等,几乎可以使用在程序的任何位置。
在程序合适的位置,使用 pass语句,可以使程序变得更完整。(程序仍然会继续往下执行。)
实例13.3.1、输出“ I Love Python ”的每个字母
# 输出 I Love Python 的每个字母
for letter in 'I Love Python':
if letter == 'P':
pass
print('这是 pass 语句' )
print('当前字母:', letter)
执行结果:
当前字母: I
当前字母:
当前字母: L
当前字母: o
当前字母: v
当前字母: e
当前字母:
这是 pass 语句
当前字母: P
当前字母: y
当前字母: t
当前字母: h
当前字母: o
当前字母: n
>>>
再来一个复杂一点实例13.3.2、使用for循环,输出20(不含20)以内的偶数,如果不是偶数,则用pass语句占个位置。代码如下:
for i in range(20) #用range()函数定义i的起始值
if i%2 == 0: #判断是否为偶数
print(i,end = ",") #输出数值在同一行,且用“,”隔开
else: #不是偶数
pass #占位符,不做任何事情
输出结果为:
0,2,4,6,8,10,12,14,16,18,
>>>
知识点回顾:
使用range()函数:
1、start:用于指定技术的起始值,可以省略。如果省略则从0开始。本题中0为偶数,符合要求。
2、end:只有一个参数,那么表示指定的是end,end用于结束值不包括该值,本题中不包含20;
3、step:用于指定步长,即两个数之间的间隔,可以省略。如果省略则表示步长为1。本题中指的是所有偶数,系统默认步长为2,可以不用写。
思考:如果想改步长为4的话,该怎样写呢?
下节预告:零基础Python完全自学教程14:Python中的序列