一 、二次根式化简不彻底
例题计算:


二、二次根式化简不正确


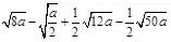
三、合并同类二次根式错误
例题计算:


四、运算定律误用

五、忽略根式中或已知中隐含条件


六、忽略对字母的讨论


七、运用公式

=|ɑ|不当

八、忽视有关性质成立的条件


九、思考问题不全面

来源:初中数学
版权声明:以上内容转载仅为分享,版权归原作者及原出处所有,如认为侵犯版权,请及时告知,小编将在24小时内删除。谢谢支持!
一 、二次根式化简不彻底
例题计算:


二、二次根式化简不正确


三、合并同类二次根式错误
例题计算:


四、运算定律误用

五、忽略根式中或已知中隐含条件


六、忽略对字母的讨论


七、运用公式

=|ɑ|不当

八、忽视有关性质成立的条件


九、思考问题不全面

来源:初中数学
版权声明:以上内容转载仅为分享,版权归原作者及原出处所有,如认为侵犯版权,请及时告知,小编将在24小时内删除。谢谢支持!