一、代数篇
(1)平方立方公式:(实用度: ★ )

二、几何篇
(1)平行四边形:(实用度: ★ ★ )

两边长为a和b,两对角线长为m和n,则有
可以拿这个公式和托勒密定理对比记忆。
(2)三角形:
A.勾股数:(实用度: ★ ★ )
常见的最简勾股数有:
3、4、5
5、12、13
8、15、17
7、24、25
9、40、41
B.面积公式:(实用度: ★ ★ )

利用两边及其夹角求面积
C.三角恒等式:(实用度: ★ )

sin(2A)=2sinAcosA
cos(2A)=2cos²A-1=cos²A-sin²A=1-2sin²A
tan(2A)=2tanA/(1-tan²A)
D.正余弦定理:(实用度: ★ ★ )
在遇到45度、60度、75度之类的非直角三角形题目时,我们可以用上这两个公式。其他时候很少能用得上。所以要记得:

E.重心(质量法):(实用度: ★ ★ ★ )
三角形的重心将中线分为2:1的两段。
质量法:
两个小球A、B,如果质量相等,如(1),那么它们的重心是AB的中点D。
如果质量不等,质量比为m/n,如(2),那么重心D仍在AB上,而AD/DB=n/m。(即杠杆原理)
如果三个质量相等(都等于1)的小球A、B、C构成三角形ABC要求它们的重心可以分为两步:
先求出B、C的重心,即B、C的中点D,可以用质量为2(=1+1)的小球放在D点,以取代B、C两个小球。
再求A、D的重心,由于D处的质量为2,A处的质量为1,所以重心G在AD上,且分AD为2:1(即AG:GD=2:1)。

下面,我们举一个简单的例子。
例:如图△ABC,AB上有一点E,BC上有一点D,AD交CE于点G,当AE:EB=1:2,BD:DC=1:2时,AG:GD等于多少?
解:我们在C处放质量为1的小球,B处放质量为2的小球,A处放质量为4的小球。此时AB、BC的重心E、D满足AE:EB=1:2,BD:DC=1:2。
我们将B、C的质量集中在D点,质量为3。A点质量为4。故AG:GD=3:4
同样如果需要,我们可以求得EG:GC=1:6
(3)圆:
A.弦切角定理:(实用度: ★ ★ )
解释:顶点在圆上,一边和圆相交,另一边和圆相切的角叫做弦切角。

如图所示,线段PT所在的直线切圆O于点C,BC、AC为圆O的弦,∠TCB、∠TCA、∠PCA、∠PCB都为弦切角。
定理:弦切角的度数等于它所夹的弧所对的圆心角度数的一半,等于它所夹的弧所对的圆周角度数。
在上图中,我们有∠TCB=∠CAB、∠PCA=∠CBA
B.圆幂定理:(实用度: ★ ★ ★)
相交弦定理、割线定理、切割线定理、切线长定理的统称。

①相交弦定理:圆内的两条相交弦,被交点分成的两条线段长的积相等。
如图I,即有AP·PB=CP·PD
②割线定理:从圆外一点P引两条割线与圆分别交于A、B;C、D,
如图II,即有PA·PB=PC·PD
③切割线定理:从圆外一点引圆的切线和割线,切线长是这点到割线与圆交点的两条线段长的比例中项。
如图III,即有PA^2=PC·PD
④切线长定理:从圆外一点引圆的两条切线,它们的切线长相等。
如图IV,即有PA=PC
C.托勒密定理:(实用度: ★ ★ )

圆内接凸四边形两对对边乘积的和等于两条对角线的乘积。
如图,即有AB·CD+AD·BC=AC·BD
D.四点共圆:(实用度: ★ ★ ★ )

①对角互补的四边形四点共圆。
∠ADC+∠ABC=180度
②一个角的对角等于其补角的四边形四点共圆。
∠ADC=∠EBC
③同底、同侧且对底边张等角的四点共圆。
∠ADB=∠ACB
④相交弦定理的逆定理。
AP·PC=BP·PD
⑤割线定理的逆定理。
PA·PB=PC·PD(图中未给出)
⑥托勒密定理的逆定理
AB·CD+AD·BC=AC·BD
⑦其他,如西姆松定理的逆定理等。
上述定理的核心之处就在于各个定理通过四点共圆和相似三角形联系在一起。OK,有了这些工具,我们再举一个例子进行练习。
例:如图,△ABC为等边三角形,D为AB上一点,点E为CD延长线上一点,连接AE、BE,∠BEC=60度,若AE=3,CE=7 ,则BE=________。

解:
因为△ABC为等边三角形,
所以∠BAC=∠BEC=60度,
所以A、E、B、C四点共圆
由托勒密定理可得:AB·CE=AC·BE+AE·BC,
因为AB=AC=BC,
所以CE=AE+BE,
所以BE=CE-AE=4
三、解析几何篇
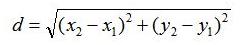
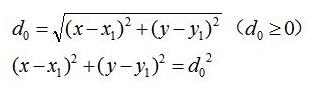
(1)点线之间的距离:(实用度: ★ ★ ★ )
A.点与点:
对于点(x1,y1)和点(x2,y2),距离

如果距离d0和点(x1,y1)已知,而另一个点坐标(x,y)未知,我们根据圆的“到一定点的距离为定长的所有点的集合”这一定义,就可以得到圆的方程:

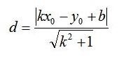
B.点与线:
对于点(x0,y0)和线y=kx+b,距离

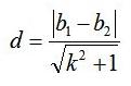
C.线与线:
对于线y=kx+b1和线y=kx+b2(注意k必须相等,即平行线才有距离),距离

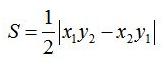
(2)三角形的面积公式:(实用度: ★ ★ ★ )
对于一个点在原点,另两个点分别为(x1,y1)和(x2,y2)的三角形面积为

如果三个点都不特殊,还是乖乖地用分成两个三角形的方法吧。
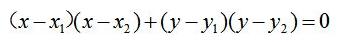
(3)圆与直角三角形:(实用度: ★ ★ ★ )
前面在说到点与点的距离时已经说到了一种圆的方程。这里我们给出一个更有用方程。已知点A(x1,y1)和点B(x2,y2),则以AB为直径的圆的方程为:

为什么要这样设呢?因为我们学过“直径所对的圆周角是直角”,那么我们作出的这个圆,与已知函数(一次、二次、反比例)有0~4个交点,这些点与A、B所构成的三角形就是直角三角形。当然,这里只是提供一个思路,很多情况下这样做会出现高次方程,是解不出来的,所以要谨慎使用啊。
(4)二次函数的列法:(实用度: ★ ★ ★ )
课本上我们已经学过了一般式、顶点式、交点式,这里我们对交点式进行推广。
对于已知的点A(x1,y0)、点B(x2,y0)、点C(x3,y3),我们可以设:
y=a(x-x1)(x-x2)+y0,代入点C(x3,y3),求出a,即可求出该二次函数。
例:已知点A(2,1)、点B(4,1)、点C(5,4),求二次函数的解析式。
解:
设y=a(x-2)(x-4)+1
代入点C(5,4)得:3a+1=4
即a=1