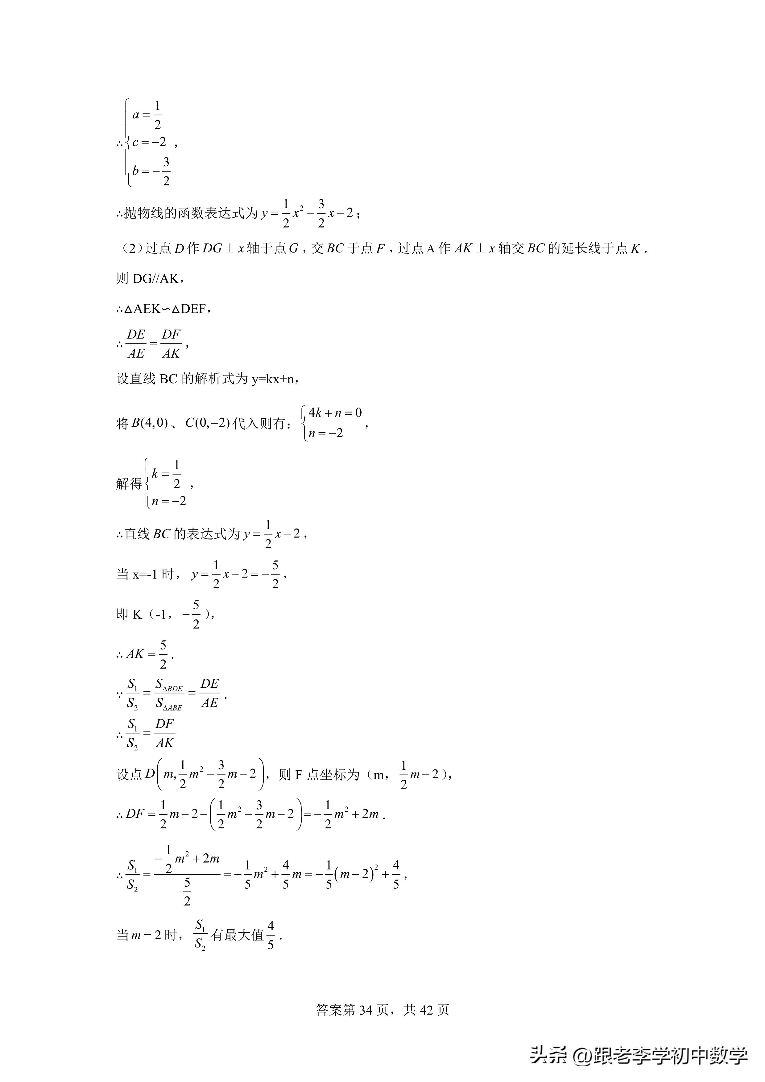
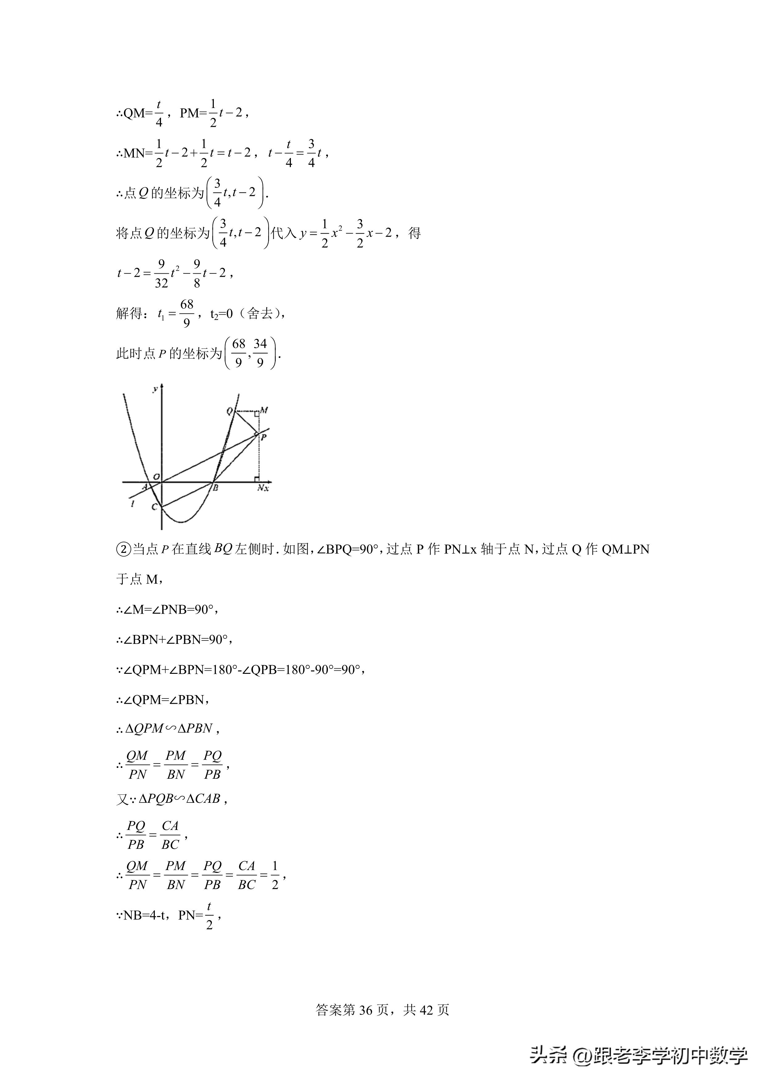
●老李原创作品《初中数学解题模型壹盘清》10部思维导图课件及680集配套视频课程目录及作品展示(含课件及10集免费视频:点链接<下划线的蓝色文字标题>直接浏览、观看),欢迎品鉴。(智助培优,高效慧学,就差一 “点”)↓↓↓
※《初中数学解题模型壹盘清》简介、目录;课件、视频试学试看(点我→看10集免费视频)




















































●老李原创作品《初中数学解题模型壹盘清》10部思维导图课件及680集配套视频课程目录及作品展示(含课件及10集免费视频:点链接<下划线的蓝色文字标题>直接浏览、观看),欢迎品鉴。(智助培优,高效慧学,就差一 “点”)↓↓↓
※《初中数学解题模型壹盘清》简介、目录;课件、视频试学试看(点我→看10集免费视频)



















































