如果要用一个定理涵盖整个数学发展史,那么肯定非“费马大定理”莫属,从1637年诞生,到1993年怀尔斯将它攻克,整整用了356年的时间,而在这其中,无数数学家前赴后继,耗尽人类众多最杰出大脑的精力,就连欧拉、高斯都未能将他全部攻克。

对于费马大定理的证明工作可以说就是一部活生生的数学发展史。直到1993年怀尔斯成功攻克了费马大定理,而这也被誉为““20世纪最辉煌的数学成就”。
今天我们就来聊聊怀尔斯证明费马大定理的前世今生。
喜欢恶作剧的费马,提出了费马大定理,却将证明过程省略
费马是一位业余数学家,他的本职工作其实是一位律师,他的爱好是数学,由此费马也被称为“业余数学家之王”。《业余大数学家的数学》这本书却不愿意把他的名字列上去,因为如果费马都算“业余数学家”了,那其他专业数学家怎么活?

为什么这样说,因为费马在数学领域的成就太多,无论是数论还是几何,费马都有突出的贡献,费马独立于勒奈·笛卡尔发现了解析几何的基本原理。他还建立了求切线、求极大值和极小值以及定积分方法,对微积分做出了重大贡献。他还在概率论方面有贡献!
而在数论方面,费马非常喜欢古希腊数学家丢番图所著的《算术》,这本书也跟随了费马一生,他非常喜欢在律师工作之余求证丢番图的《算数》这本书。

他在这本书上简单、潦草地记下了48个评注。费马认为这些评注都是一个个数学定理,但他对此要么根本没有解释,要么仅仅给出一点点证明提示。
这其实是费马的恶趣味,他很喜欢与一些知名数学家通信,在信中他叙述自己的最新定理,却不提供证明。这种明显的挑衅叫他人无法忍受,有人叫他“那个该诅咒的法国佬”。

费马手稿
除此之外,他并不喜欢自己的数学成果被发表,费马曾与著名数学家帕斯卡探讨了概率论。当帕斯卡催促费马发表他的某个成果时,费马说“不管我的哪个工作被确定值得发表,我不想其中出现我的名字”。

当他在阅读数学书籍的过程中,他习惯把随想的一些思路写在旁边空白的地方。虽然他的手稿并没有公布出去。但他还是对于证明思路讳莫如深。他往往只会写出推导得到的定理,而不会保留证明过程。
有趣的是,他还在手稿中非常理直气壮地给出理由,为什么没有给出证明过程。比如“我可以证明这个结论,但现在我必须去喂猫了”或者是“我可以证明这一点,但我要去洗头了”。
这种这作死边缘试探的恶趣味让几百年以来的数学家,对他又爱又恨。
所以当费马去世以后,他的儿子Samuel出版了一本新版《算术》,里面囊括了他老爹在页边空白处所做的所有笔记。因为都没有证明只有结果,所以留下了一个个极为诱人的挑战,无数数学家只能前赴后继去求证费马潦草笔记的正确性。
实际上,在后人证明这些评注之前,它们应该叫猜想而非定理。但是随着时间流逝,费马猜想一个个被证明,除了“费马大定理”,因此它也常被称为“费马最后定理”。
我们应该都非常数学毕达哥拉斯定理,也就是也叫勾股定理,它有几十种证明方法。丢番图的《数论》中就有对毕达哥拉斯定理的记录,所以费马对此进行了深入的研究,我们一起来复习一下:勾股定理指直角三角形的两条直角边的平方和等于斜边的平方。
在这个定理上,费马提出了3个问题:
第一个就是形如4n+1的素数能够而且只能够以一种方式表达为两个平方数之和。1证明这种素质对每一个质数都成立非常困难,大数学家欧拉经过7年的努力,几乎是在费马去世后的整整一个世纪后才成功证明。

第二个就是每一个正整数能够表成四个整数的平方和,这其实是数学家丢番图在其中提出的“是否每一个正整数都是四个平方数之和”,费马认为是正确的,但是没有给出证明。
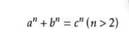
第三个就是我们非常熟知的费马大定理了。费马提出如果将毕达哥拉斯方程X2+Y2=Z2中X、Y、Z的2次幂升级到3次幂会怎样?(我们在数学书里面一般是这样讲的:在一个边长为a、b、c的直角三角形中,a²+b²=c²)
他发现方程将没有整数解。他试着将其变为4次幂、5次幂……结果都没有整数解。所以费马直接给出了结论:

费马大定理:当n>2时,这个等式不存在整数解
费马依然没有给出证明过程,但是给出了一个让人恨的牙痒痒的理由:“我有一个对这个命题的十分美妙的证明,这里空白太小,写不下。”
自此,费马大定理成为了无数数学家的噩梦,困扰了人类300多年。这就相对于费马埋了一大堆的财富,只告诉大家有这么一个地方,却没有给大家藏宝图。

如何找到通往宝藏的路,是所有数学家几百年来不懈奋斗努力的目标。
300多年的前赴后继,人们对费马大定理的证明在不断推进
大家一开始对费马大定理一筹莫展,既然没有办法证明,那就证明利用反证法来证明其是错误的,这样不就*翻推**了费马大定理吗?
所以从N=3开始,此后两百多年的数学史中,就是后人在数字的海洋里不断求证的过程。比如我们大数学家,堪称“数学之王”的欧拉在1770年的时候,隔了一个多世纪,他证明了n=3时定理成立。但是他也没有能够证明费马大定理。

大家不用以为这个证明很简单,把N=3代入进去就可以,x、y、z都是未知数,要证明起来可以说是非常复杂的。
1825年,另外一位大数学家“数学王子”高斯和女数学家热尔曼同时独立证明了费马大定理5次幂。

直到1955年,人们已经证明了4002以下的数都满足费曼大定理。而到了1985年,通过计算机已经可以证明4100万以下的数。
所以其实在19世纪的时候,大家就发现了通过反证法来证明似乎是无用功。所以在热尔曼证明了5次幂的时候。
她认为不应该在无尽的数字中苦苦摸索,浪费时间,这样做并没有任何意义。她认为,要解决费马大定理还得有一个概括性的方*论法**,从中将所有的情况实现证明。
热尔曼的想法为费马大定理的证明开辟了新的道路。也让发过科学院为之振奋,他们甚至认为一定是法国数学家会证明费马大定理,所以特意拨款设计了奖金,奖励证明路费马大定理的人。
这里有一个非常有趣的事情,数学爱好者、德国人沃尔夫斯基凯尔是一位银行家的儿子(简单来说,就是富二代),他年轻时因失恋决定在午夜12:00自杀。但在临自杀前读到库默尔论述柯西和拉梅证明费马定理的错误让他情不自禁地计算到天明,设定自杀时间过了,他也放不下问题的证明,后来他决定放弃自杀。1906年去世时他立下遗嘱,以2007年为限,奖励第一个证明费马大定理的人10万马克(1997年值100万英镑,但实际只剩下3万英镑)。全世界都为此疯狂,以至于负责这笔钱的哥廷根皇家科学协会不得不印刷大量的退稿卡片来应付来自各地的信件。

1850年前后,高斯的学生、德国数学家库默尔看到唯一因子分解是否成立是欧拉、热尔曼创立的企图证明费马大定理的方法关键,于是他创立了一种“理想数环”理论,据说这一思想也受其老师高斯启发,学生库默尔运用独创的“理想素数”理论,一下子证明了100以内除37、59、67以外的所有奇数费马大定理都成立,使证明问题取得了第一次重大突破。理想数理论价值极大,超出了费马大定理本身。后来,理想数理论被推广,不仅推动了代数数论的发展,还走出数论,深入到代数与函数论。

但是自此之后对于费马大定理的证明却陷入了停滞,直到1922年,英国数学家莫德尔提出一个著名猜想,人们叫做莫德尔猜想。
按其最初形式,这个猜想是说,任一不可约、有理系数的二元多项式,当它的“亏格”大于或等于2时,最多只有有限个解.记这个多项式为f(x,y),猜想便表示:最多存在有限对数偶xi,yi∈Q,使得f(xi,yi)=0。后来,人们把猜想扩充到定义在任意数域上的多项式,并且随着抽象代数几何的出现,又重新用代数曲线来叙述这个猜想了。
而费马多项式的形式为:

它没有奇点,所以其亏格为

所以只要当N大于等于4时,费马多项式满足猜想的条件。因此,如果莫德尔猜想成立,那么费马大定理中的方程 本质上最多有有限多个整数解。
1983年,德国数学家法尔廷斯证明了莫德尔猜想,从而翻开了费马大定理研究的新篇章。
而真正对将费马大定理攻克到最后一步的就是谷山―志村猜想。

1955年,谷山-志村猜想被提出,其实它一开始并不是为了证明费马大定理,它主要建立了椭圆曲线(代数几何的对象)和模形式(某种数论中用到的周期性全纯函数)之间的重要联系。

谷山和志村提出了一个大胆而激进的想法:模形式是椭圆曲线的另一种形式。如果他们是对的,那么至今所有有关模形式的研究成果都可以用椭圆曲线的语言表示出来,反过来也一样。证明这个猜想将是统一数学不同分支的关键。


随后1958年英国数学家Birch和Swinnerton--Dyer构造了椭圆曲线E的L(E,s)函数,他们对该函数在s=1处的零点与椭圆曲线E上的有理点关系给出了一个简称BSD猜想。结果这个猜想成为了世界七大数学难题,至今无人证明~

而到了80年代,德国数学家弗雷在德国小城奥伯沃尔法赫的一次数论研讨会上宣称:

弗雷
假如费马大定理不成立,则由费马方程可构造一个椭圆曲线,它不可被模形式化。

所以弗雷命题和谷村猜想相违背
所以这就得到了一个命题,假定“费马大定理”不成立,即存在一组非零整数

使得

那么用这组数构造出的形如
乘以

的椭圆曲线,不可能是模曲线,也就是说谷山---志村猜想将不成立。这被称为“弗雷命题”。
也就是说如果费马大定理成立的话,那么就会是模曲线,谷山—志村猜想也将成立。
弗雷命题在数学史的意义非凡,显然,费雷命题和谷山-志村猜想是相矛盾的,有谷山-志村猜想错误的情况下,上述椭圆曲线才会存在。如果能同时证明这两个命题, 根据反证法就可以知道费马大定理不成立这一假定是错的, 从而就证明了费马大定理。
也就是说一旦费雷命题得证,费马大定理就与谷山---志村猜想等价。或者说得更直接些:谷山-志村猜想一旦成立,那么费马大定理必将成立。
而在1986年美国加州大学伯克利分的肯.里贝特教授完成了弗雷命题的证明,并当即在这届国际数学家大会内外传开。世界数学界为之兴奋。
自此,费马大定理就与谷山---志村猜想等价。只要证明了谷山—志村猜想,那么就可以证明费马大定理。
怀尔斯用200页证明摘取费马大定理这颗明珠
1986年,英国数学家安德鲁·怀尔斯听到里贝特证明弗雷命题后,感到攻克费马大定理到了最后攻关阶段,并且这刚好是他的研究领域,他开始放弃所有其它活动,躲在自己家的阁楼里开始最后的攻坚阶段。
整整7年的时间,在历经无数次碰壁之后,在历经常人无法想象的困难之后,1993年6月,英国剑桥大学举行了一次注定载入史册数学会议。

安德鲁·怀尔斯做了一系列报告,标题晦涩难懂——“模形式、椭圆曲线、伽罗瓦表示”。他的论证过程冗长且技巧性很强,到第三次演讲进行20分钟后才进入尾声。为了强调所得结果,他在最后打上了:
费马大定理,是数学史上的著名猜想,由 17 世纪法国律师兼业余数学家皮耶·德·费马提出,但经过350年仍然没有完备的证明。普林斯顿大学的教授怀尔斯躲在家中的阁楼里,默默研究这个古老难题整整七年。现在,他要在会场公布自己的证明。

这段话直接震撼了整个数学家,低调的怀尔斯一时之间名声大噪,然而证明不是你说证明了就行了的啊,古往今来,多少数学家都说自己证明了,结果被纷纷打脸,其中还包括柯西、拉梅这样的大数学家。
所以怀尔斯向世界顶级数学期刊Inventiones Mathematicae提交了长达200页的证明。该期刊的编辑随后将这份手稿分发给6位审稿人,这项工作没有一个审稿人想接,因为这会让这些审稿人非常痛苦,因为他们压根无法进行推演,而且很多地方他们压根无法理解,任何一个步骤有所错漏,都将导致整个论证的倾覆。
他们每个人都仔细检查了自己所负责部分的每个逻辑环节。而这其中有许多他们无法理解的论证,他们只能给怀尔斯发邮件,而怀尔斯会回复澄清问题,将每一个微小步骤进行细致地说明,这些编审就会在进行推导求证。

从六月份提交证明,一直到8月底,审核都没有结束,而在这个时候,其中一位审稿人普林斯顿大学的数学家Nick KatzKatz和他的法国同事Luc Illusie在这个时候发现了问题,
怀尔斯对一个问题的解释并不能说服这两位审稿人,因为他们无论如何进行推导求证都感觉其中存在问题。在进一步研究后,怀尔斯明白Katz找到了论文数学逻辑框架中的一个缺陷。起初,简单的修复看似可行。但当怀尔斯着手修复缺陷时,逻辑框架的碎片开始脱落。
这就好像一个拼好的乐高一样,一旦一块积木消失,那么整个乐高将随之崩塌。怀尔斯这个时候慌了。他无法忍受自己花费7年时间摘下的明珠拱手让给他人。
到1993年12月,距剑桥演讲已经过去了6个月, 怀尔斯还是没有办法找到这块遗失的积木,他好不容易拼成的乐高在他身后正摇摇欲坠。

虽然只有论文的审稿人和他的密友知道证明存在缺陷。但是好事不出门,坏事传千里,数学界迟迟没有等来怀尔斯的完整证明,关于怀尔斯根本没有证明费马大定理的流言开始传开。
数学家们要求他公开论文原稿。如果存在错误,同行们寄希望于某个人能魔术般地看清并修复这些缺陷。但怀尔斯可不这样想,凭什么自己好不容易取下的明珠要拱手让给他人。
他又重回阁楼,开始新一轮的征战,甚至怀尔斯非官方新闻联络人也无法联系到他。而这个时候,质疑的声浪越来越强,很多看戏吃瓜的人都在等着看怀尔斯的笑话。
而这个修复的工程实在太过于庞大,怀尔斯的朋友认为是他的固定思维限制住了他,建议他找一个合作者,看看是否有什么遗漏的地方,怀尔斯听从了建议,他邀请了他以前的学生著名数论学家理查德.泰勒。起初,他们尝试了理查德.泰勒所说的“局部化处理”:对怀尔斯不完备证明中使用的方法进行小的改良,从而修正错误。

泰勒
但这却于事无补。怀尔斯这个时候明白小修小补可能性已经不大,说不定还需要推倒重建。
就这样过了整整一年,到1994年9月19日,他们的努力仍然没有任何进展。在准备向世界承认失败的前一刻,怀尔斯决定“最后一次检查”最初的方法结构,试图确切地找出它不能奏效的原因。而这个时候,怀尔斯灵光乍现,在自己当初初证费马大定理时,曾经考虑过当初他自己证明的岩泽理论,岩泽理论是数论中理想类群的伽罗瓦模理论,怀尔斯证明了其中的主猜想,但是三年前怀尔斯放弃了这个理论,转而探寻其他的方法。但是现在却发现岩泽理论与科利瓦金-弗莱契方法可以修补其证明中的缺陷,并且让整个论证变得更加简洁优雅。


凭借着这一理论,怀尔斯和理查德.泰勒很快就在几个星期内修复了论文中的漏洞。1995年5月,他们在国际顶尖期刊《数学年刊》上发布了集合所有工作的两篇论文。最终的证明和附带的讨论长达130页。

怀尔斯证明过程第一页,看得懂的可以看一下
这长达100多页的证明与费马留在页边的那段话格格不入。当时很多著名数学家在内的人认为,一定有简洁巧妙的证明费马大定理的方法。从这个意义上说,费马可能压根就没有证明过这个定理。
而且为了证明费马大定理,怀尔斯使用了最新的数学工具和思想,它们的诞生远远晚于费马的时代。

而到了1999年,Breuil、Conrad、Diamond和Taylor完善了怀尔斯的整个证明过程。
在怀尔斯证明之前,沃尔夫凯勒委员会收到了数千个不正确的证明,所有纸张叠加达到约10英尺(3米)的高度。仅在第一年(1907-1908),就有621份证明被提交了,用数学历史学家霍华德·伊夫斯的话来说,“费马大定理在数学里有一个特殊的现象,即在于它是错误证明数量最多的数学题。”

大器晚成的怀尔斯
虽然怀尔斯证明的时候已经过了40岁,但是他还是获得了菲尔兹荣誉奖,他还和罗伯特两人共同获得了沃尔夫奖,2016年更是获得了阿贝尔奖,实现了大满贯。

2016年荣获阿贝尔奖
除了证明了费马大定理,怀尔斯的成就还包括和科茨共同证明了椭圆曲线中最重要的猜想──伯奇─斯温耐顿─代尔猜想的特殊情形(即对于具有复数乘法的椭圆曲线);和马祖尔一起证明了岩泽理论中的主猜想等。
希尔伯特曾说费马大定理是一只“会下金蛋的鹅”。

因为它,扩展了“无穷递降法”和虚数的应用;催生出库默尔的“理想数论”;促成了莫德尔猜想、谷山--志村猜想得证;拓展了群论的应用;加深了椭圆方程的研究;找到了微分几何在数论上的生长点;发现了伊利瓦金—弗莱切方法与伊娃沙娃理论的结合点;推动了数学的整体发展和研究,……同时又催生出一批又一批重量级数学家。

著名数学家巴里梅休尔
所以说费马大定理的证明史其实也是一步数学发展史。怀尔斯斩杀了这只金鹅。然而数学永远在发展,新的金鹅又会再次诞生!
