在学习和工作中经常会提到线电压和相电压,那什么是线电压和相电压呢,它们之间有什么区别和联系呢,本文就详细的给大家来解释下这两个问题。
首先我们先弄明白一个问题,什么是三相交流电(这是基础)?

图1 三相交流电向量图
图1所示是三相交流电向量图,它是大小相等方向互为120度的三个向量;这里需要注意,它是向量,在计算时既要考虑大小也要考虑方向,所以三相交流电的计算实质是向量的计算;重要的事情说三遍,是向量的计算,是向量的计算,是向量的计算。下面看一个例子。

图2 三相交流电相加向量图
图2是三相交流电相加向量图,由图可以看出,大小相等方向互为120度的三个向量相加等于零,
即

图中的红点称为中性点,从中性点引出的线称(用字母N表示)为中性线或零线,因为相加等于零,所以中性线或零线的电压等于零,这也是零线不带电的原因。因为不带电(不带正电,也不带负电),是中性的,所以称为中性线;电压为零,又称零线。
好,知道这些,下面一起看下线电压和相电压的区别与联系吧。
一、线电压和相电压的区别
1.线电压和相电压定义
(1)线电压定义。小编查了几种书籍,线电压的定义有两种说法:一是线电压是相线间的电压;二是线电压是端线与端线之间的电压。两种说法的意思是一样的,即是两根火线之间的电压是线电压。
(2)相电压定义。端线与中性线(零线)之间的电压。即火线和零线之间的电压。
下面看图说话。

图3 三相交流电星形(Y形)接法
图3所示是三相交流电星形(Y形)接法,图中A、B、C表示的三相交流电的三相电,N表示的是中性线(零线)。根据线电压和相电压的定义,可知UAB、UBC、UCA为线电压,UA、UB、UC为相电压。

图4 三相交流电三角形接法
图4所示是三相交流三角形接法,图中A、B、C表示的三相交流电的三相电。根据线电压和相电压的定义,可知UAB、UBC、UCA为线电压,UA、UB、UC为相电压。
二、线电压和相电压关系
想要弄懂线电压和相电压之间的关系,就要进行计算了,即是向量的计算。电压的定义是电势差(或电位差),即两点的电势的差(相减)。
1. 星形接法
如图3所示,线电压UAB就等于UA向量减去UB向量,即:


图5 星形接法线电压和相电压向量图
图5为星形接法线电压和相电压向量图,通过三角函数计算很容易可以算出,线电压UAB的大小是相电压UA(UB、UC)的根号三倍;同理,线电压UBC和UCA的大小也是相电压UA(UB、UC)的根号三倍;得出结论:
星形接法:线电压是相电压的根号三倍。
我们常说的380/220V,其中的380就是线电压,220就是相电压,即380=220乘以根号三,大家可以用计算机验证下。
2.三角形接法
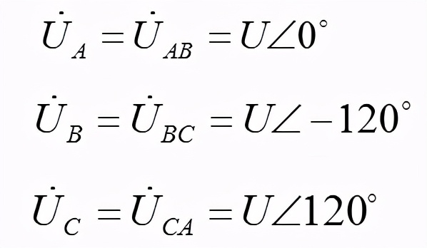
三角形接法如图四所示,由线电压和相电压定义可以看出

得出结论:
三角形接法:线电压=相电压。
本次详细讲解了线电压和相电压的区别和联系,那线电流和相电流的区别和联系又是怎样的呢?这个问题下次给大家讲解,谢谢阅读。