我国供热系统的情况复杂,对热量表的要求更高。热量表由流量传感器、温度传感器和计算器三部分组成。

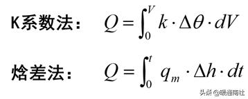
国家行业标准:CJ128-2007《热量表》,编制参照了EN1434(Heat Meter)欧洲标准。采用K系数法和焓差法。两个标准最大的不同是水的热物理参数的出处不同。标准对热量表的精度规定了1、2、3级。户用表一般采用3级。
K系数法和焓差法没有本质的不同,其热量计算的表达式为:

热量表有2 个K系数,供水K系数和回水K系数。关键是所依据数据的出处必须一致。
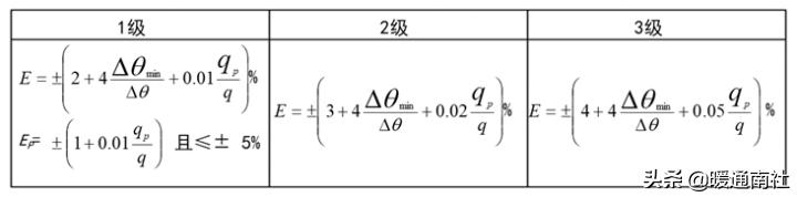
标准对热量表精度等级的规定:
在总量定义中,1、2、3级热量表的精度分为:

注:对1级表qp≥100m3/h。
在分量定义中,温度传感器和计算器的精度是一样的。

注:对1级表qp≥100m3/h。
温度测量技术:
1,一般标准的温度传感器不能满足热量表的测量要求。标准规定B级铂电阻温度计的误差为:±(0.30+ 0.005 |θ| )℃。
这个误差超出了热量表标准规定的误差限。
2,最有利于热量表使用的温度传感器是铂电阻温度计。铂电阻温度计造价高,且对生产技术和设备要求高。
3,PT1000更能保证长距离的测量要求。
影响热量表计量的主要因素:
1,实际应用中的最大问题是水质影响热量表的使用;
2,流量计适应水质的能力是有限的;
3,目前还没有对采暖水质的具体规定。
流量计特点:
1,机械式流量计,测量范围大、造价低廉,有机械运动部件,易受水中杂质影响,目前热量表大都采用机械式流量计。
2,电磁式和超声波式流量计,测量精度高、无运动部件,不易堵塞。温度和水质影响测量精度,造价高。
2级热量表和3级热量表:
1,热量表精度的提高是流量计精度的提高。
2,2级热量表对水质的要求更高。
3,进口热量表一般都是3级热量表。
4,2级热量表检验困难。
5,3级热量表更适合长期使用。
6,大口径热量表宜选用2级热量表。
处理水质的方法:
1,管路系统的设备材料应严格按国家标准要求选用。
2,采暖系统使用前应冲洗管道。
3,系统总管和热量表前应安装过滤器。
4,不采暖时系统湿保护。
5,定期检查和清理过滤器。
热量表选型原则:
1,热量表必须符合国家标准的规定。
2,依据采暖系统流量选择热量表规格。
3,根据使用要求选择热量表类型。
热量表流量性能曲线:

红区:最小流量Lmin以下不可用。
黄区:最小流量Lmin到分界流量Lf之间误差为±5%。
绿区:分界流量Lf到最大流量Lmax之间误差为±2%。
热量表阻力曲线:

DN20的热量表在流量1.5m3/h时,阻力是0.006MPa。
热量表安装(户用型):

1,直管段前10后5的原则。
2,热量表前加装过滤器。
3,温度传感器应插到管路中间处。
热量表安装(集团型):

温度传感器应插到管路中间处,引线不超过10米。
国家及地方性对中央空调要求分户计费的政策:
《公共建筑节能设计标准》(GB50189-2015)
《民用建筑节能管理规定》(2005)
《中华人民共和国节约能源法》
《国务院令第530号》
《国务院令第531号》
中央空调分户计量系统本着多用多出、少用少出的原则,为物业管理的工作带来很大的方便,解决了物管与业主的大矛盾。
按面积分摊—用多用少一个样,用户浪费,物业成本上升,分摊单价再上升,用户拒绝交费;
按计量收费—多用多出、少用少出,收费有据可依,并有历史数据查询,真实、可靠。
按面积分摊—用户开窗使用空调,浪费能源,实际使用冷量超过主机冷量,冷水机组长时间超负荷工作;变频系统却没有起效果,维护次数多,费用高,机组寿命缩短;
按计量收费—用户合理使用空调,冷水机组在正常的负荷下工作;变频系统效果明显,按周期维护,保证冷水机组的寿命。
国内外发展概况:
欧洲各国对以上比例无统一规定,一般在30%~50%之间选择。刚开始实行热计量收费时,固定费用取得比例较高,但一般都不超过50%。
原来用机械式热能表,后改进选用超声波能量表。
国内:专家和企业都提出了如下观点:
1)在供热管网供到各楼栋时,采取在每楼栋安装能量总表作为该楼栋的用能依据。
2)单楼栋中各用户采用科学、合理、易于实现的分户计量方法并进行费用分摊的方法,更加适合国内热计量状况(如时间分摊法、通断法等)。
3)分摊法逐步被专家所认识和接受,并进入中国供热计量领域。
4)由于自身产品及工程上存在的诸多问题,热量表不再是热计量解决方案中的唯一的产品。
空调计量方式的演变:

水表计量:计费依据—以末端风机盘管用水量为收费依据。
应用情况:
1、空调水质极差,水表不适合空调水环境,容易塞。
2、当只启动水泵时已经计费,不公平。
3、没有考虑用户风量大小,开高、中、低档收费一致。
此计费方法在早期个别项目使用,现已经淘汰。
电表计量:计费依据—以末端风机盘管用电量为收费依据。
应用情况:
1、将总费平摊到每度电,每度收几十元费用,不符合物价局的规定;
2、主机没有开,用户吹风时照样收费,出现误计;
3、不同风机盘管的电功率和制冷功率并不是成线性关系。
此计费方法在早期个别项目使用,现已经淘汰。
热量表计量:
计费依据—用热量表来计量空调供冷时计量冷量,以消耗能量为依据。
根据能量消耗计量理论:

早期北方供暖行业计量应用,实际工程使用情况不理想,大部分地区应用失败,供冷使用中,主要问题为 :
(1) 中央空调水质导致流量计堵塞,造成误差;
(2)制冷体系容易结露,导致计量系统不稳定;
(3)适合大温差小流量场合,对空调系统计量误差大。
水表、电表早已经被认为不合适应用于空调计量。鉴于热量表在实际使用中存在的诸多技术和工程上的问题,行业人事都很困惑,究竟采用什么方式来进行空调的计量?空调计量是否一定要追求精度?有没有一种合理而又简单的方式计量。
对于采用何种计量方式,目前在行业还没有一个标准的模式。
目前空调计量行业逐步形成两种计量方式,即为:
能量型空调计费方式;时间型空调计费方式。
能量型中央空调计费原理:
Q=∫ρqv(h1-h2)dг
Q—热交换系统输出的冷量(W);
ρ—流经流量计的冷冻水(热水)密度(kg/m3);
qv—流经流量计的水的体积流量(m3/s);
h1—供水焓值(J/kg);
h2—回水焓值(J/kg);
г—供冷(热)的时间(s)。

能量表构成部件:
能量积算仪:计算冷(热)量,RS485远传;
流量计:测量流量;
温度传感器:测量供、回水温度。

管道式转子流量计:
包括水平旋翼,垂直旋翼等,水平法兰安装,可靠性差、维护量大,容易堵塞,价格便宜。极易造成堵塞、缠绕现象,出现较大的计量误差。空调计量中现已淘汰不用。

插入式转子流量计:
包括强磁性、弱磁、无磁的,可靠性差、维护量大,容易卡住不转动,价格便宜。极易造成堵塞、缠绕、吸附等现象,出现较大的计量误差。空调计量中现已淘汰不用。

机械转子流量计总结:
以上所有的流量计,共用点是带有运动部件,应用运行问题多,主要原因是由于空调水质较差,使用此类流量计会出现以下问题:
1、杂质进入转轴,引起转动不稳定;
2、转子受到吸附和缠绕,造成堵塞;
3、水垢影响转子正常转动;
4、对水路压力影响大;
5、维护工作量较大,容易造成收费纠纷。
涡街流量计:
测量原理:根据流体力学中的“卡门涡街”原理;涡街流量计在选用时,多用于气体与蒸汽的流量测量。
法兰水平安装,施工较复杂,怕震动;
无运动部件,基本免维护;
流速低于0.5m/s测量不到或误差很大。

插入式电磁流量计:
1)法拉第电磁感应原理;
2)安装简单、维护方便;
3)无机械运动部件,高可靠性;
4)输出4-20mA信号。

主要应用于DN150以上的管径;DN400以内的管径用同一型产品;DN400以上管径选用加长型产品。
管道电磁流量计:
无运动部件,不存在堵塞现象;
输出4-20mA信号,抗干扰强;
对水路不产生影响;精度高、可靠性高。

超声波热能量表:
无运动部件,不存在堵塞现象。
主要针对供热计量设计,考虑到供热的条件大温差小流量的特点:
大口径流量计(DN≥40)一般采取了缩小管径的做法。
小口径流量计(DN≤40)一般采取45度挡扳设计,大量使用对空调水系统有一定的影响。
一体化结构,如果使用到空调冷计量中,要考虑冷凝水对能量积算仪电子部分的影响,建议采用分离式安装,能量计算仪远离空调管道。

温度传感器:
要求配对误差不超过0.1℃,保证计量精度,空调制冷时温差很小,一般理论设计为5℃,实际使用中2-3度比较常见;4线制配对温度传感器,导线可以加长到120米,而不影响温度测量精度。(普通热能表的温度传感器是采用两线制,导线不能随便延长,不方便施工);测温范围广,稳定性能好;采用护套安装,维护不用放水,检修方便。

能量表(冷、热)与热能表主要区别:

能量型空调计费方式总结:
理论最好,价格昂贵,适合大的区域或整栋楼的计量;
关键在于流量计和温度传感器的选型和结构的设计;
建议选择在水中无机械运动部件的流量计,推荐电磁流量计,其次是超声波流量计;
不同流量计有不同的适用范围,没有万能的流量计;
温度传感器选用高精度配对的四线制温度传感器PT1000、PT500;分体式设计预防冷凝水结露。
时间型空调计费系统原理:
时间型空调计费系统原理:Q=P×T
其中:Q:风机盘管的总耗能量 ;
P:风机盘管使用档位的冷量(换热功率);
T:该档位的有效运行时间 。

什么叫有效时间?
冷水机组在一定温度运行、风机盘管二通阀打开、风机运行,三条件缺一不可。
保证冷水机组运行有效性的技术手段:采用联动设计。
(1)计费仪联动:检测冷冻水泵的运行与否,根据冷冻水泵的运行状态来启动和停止计费。
(2)温度联动:通过在供水管上装温度传感器来达到联动的目的。当主机出水温度达到设置的温度时,系统启动计费,否则停止计费。


单元系统示意图

楼栋系统示意图
时间型空调计费方式总结:
系统运行稳定可靠,用户容易理解与接受,可检验性强。
时间型分户计量系统不与空调水系统发生关系,安装、调试和维护都十分方便,不会影响到空调机组的运行和其他用户的正常使用。
不受户型结构及功能变化的影响,一次投资,终身受益。
系统设备投入、施工成本不高,旧楼也可以改造,推广范围大。
中央空调计费系统结构图:

空调计量与收费的关系:
计量是基础,收费、节能才是核心;
精确计量在空调计费中并不具有实际意义。追求过高的精度,造成的成本增加是显而易见的;
系统稳定可靠、易于维护才是最重要的;
中央空调计费的本质是费用的合理分摊;
中央空调计量与收费首先是个管理问题,然后才是计量设备的问题,是一套服务系统。
中央空调怎样按计量收费:
中央空调的总费用组成:
电费(包括主机组、冷却塔、冷冻泵、冷却泵、新风机等设备的电费),水处理费,人工管理费,空调系统维护、维修费,其它各项与空调系统发生的费用。
单价制定的一些基本原则:
用户缴费的构成:
基本费:空调系统每月产生的固定费用部分;
使用费:根据实际空调用量产生的费用。
空调计量收费单价的确定:

本文来源于互联网,暖通南社整理编辑。