第一讲 计算篇
一、小升初考试热点及命题方向
计算是小学数学的基础,近几年的试卷又以考察分数的计算和巧算为明显趋势(分值大体在6分~15分),学生应针对两方面强化练习:一 分数小数混合计算;二 分数的化简和简便运算;

二、考试常用公式
以下是总结的大家需要了解和掌握的常识,曾经在重要考试中用到过。


三、典型例题解析
1 分数,小数的混合计算



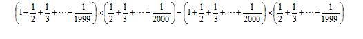
5 换元法的运用
【例9】

6 其他常考题型
【例10】小刚进行加法珠算练习,用1+2+3+……,当数到某个数时,和是1000。在验算时发现重复加了一个数,这个数是___。
【拓展】小明把自己的书页码相加,从1开始加到最后一页,总共为1050,不过他发现他重复加了一页,请问是___页。
