南安市招生考试委员会公示
2023年南安市区
初中招生电脑派位有关情况
一起来看看吧
↓ ↓ ↓
根据《南安市招生考试委员会关于做好2023年普通初中招生工作的通知》(南招考委〔2023〕3号),市区鹏峰中学、柳城中学、实验中学三所中学的第一批、第二批招生采用考生填报志愿与电脑派位相结合的办法招收录取。现就2023年南安市区初中第一批第1类、第一批第2类、第二批招生电脑派位有关情况公示如下:
一、第一批、第二批招生电脑派位的时间、地点
时间:7月11日上午9:00
地点:南安市教师进修学校综合楼六楼
二、各校招生计划、各批次志愿填报和学位情况

三、招生对象(详细名单见附件)
(一)参加市区初中第一批第1类招生电脑派位对象
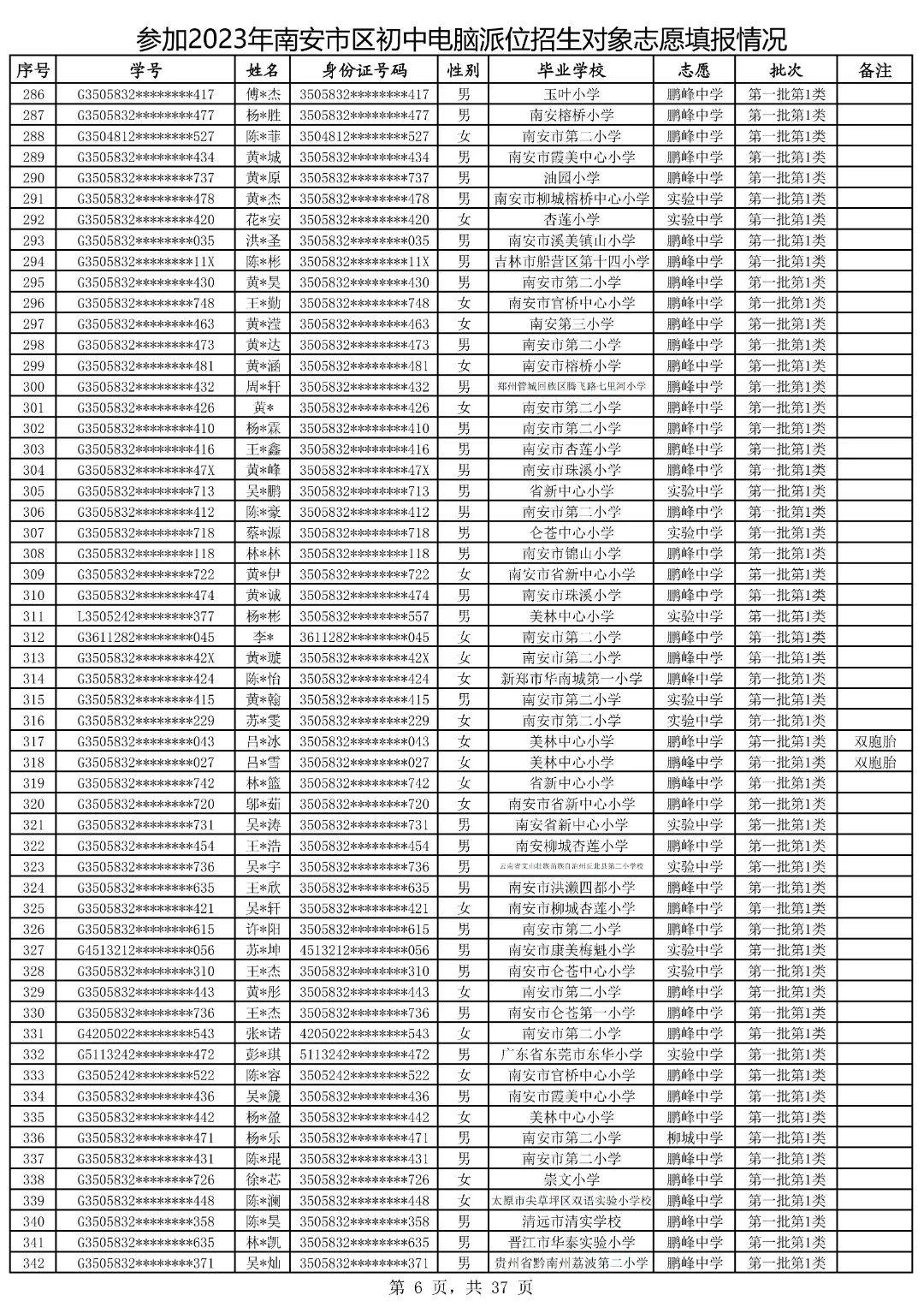
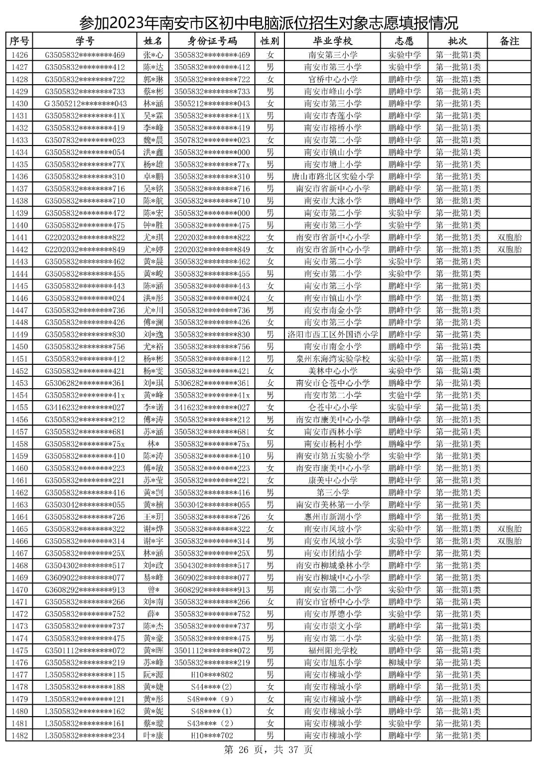
第一批第1类派位对象共1972人,其中港澳台生28人、双胞胎24对。具体名单如下:
1.港澳台籍学生(28人)

2.参加市区初中第一批第1类招生电脑派位双胞胎对象(24对)

申请参加市区初中招生电脑*绑捆**派位的双胞胎(第一批第1类招生对象24对),由其中一位学生参与所在批次录取,其同胞胎兄弟姐妹一并录取到同一所学校。
(二)参加市区初中第一批第2类招生电脑派位对象
第一批第2类派位对象共56人。
(三)参加市区初中第二批招生电脑派位对象
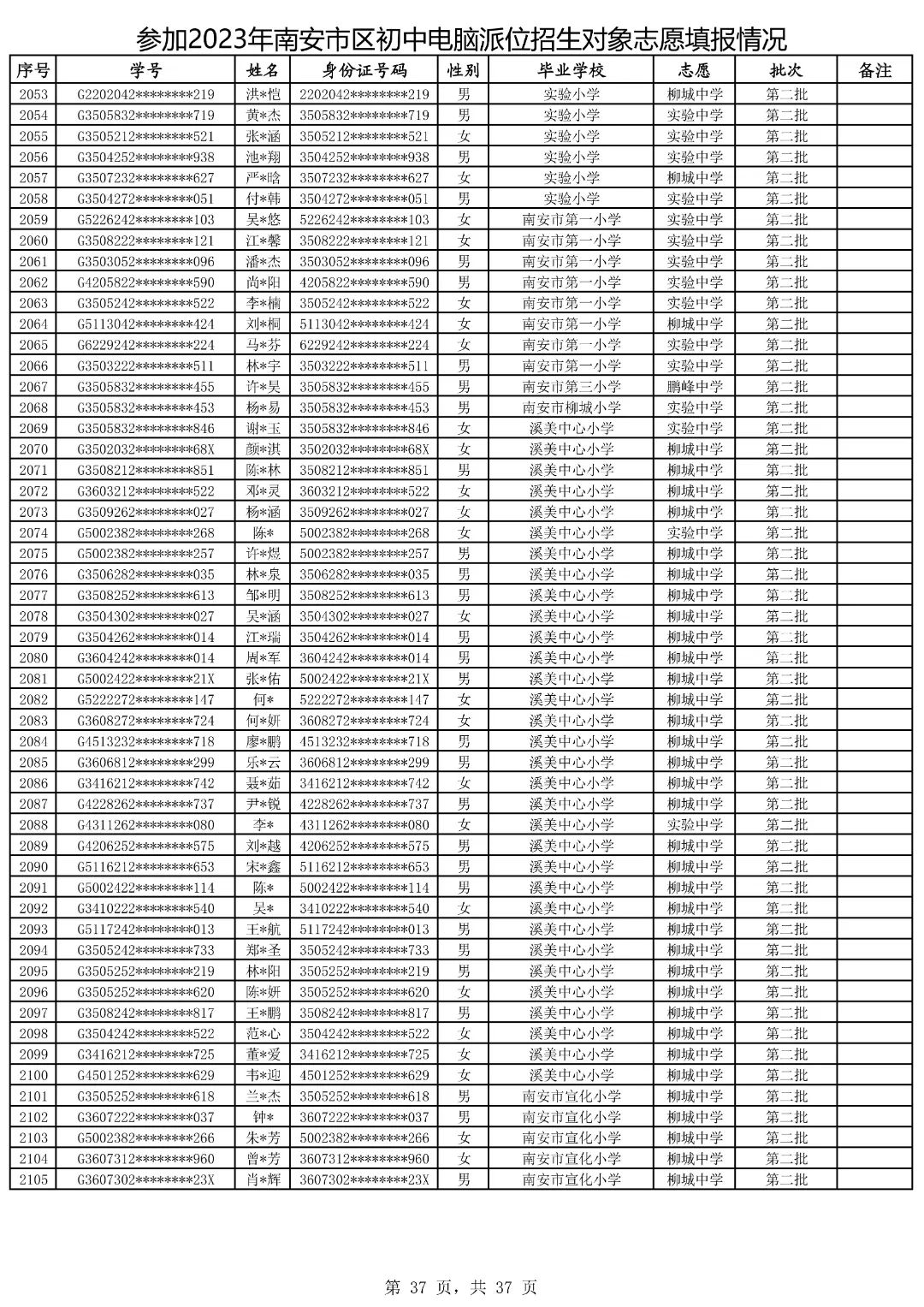
第二批派位对象共74人,其中双胞胎1对。具体名单如下:

申请参加市区初中招生电脑*绑捆**派位的双胞胎(第二批招生对象1对),由其中一位学生参与所在批次录取,其同胞胎兄弟姐妹一并录取到同一所学校。
(四)不必参加市区初中招生电脑派位对象(3人)
1.高层次人才子女(1人)
根据《泉州市教育局 泉州市人力资源和社会保障局关于泉州市高层次人才子女入学有关规定的通知》文件精神,泉州市第三层次及以上高层次人才子女可以申请择校,不必参加电脑派位。

2.参照副团职级以上部队子女(2人)

四、第一批、第二批招生电脑派位现场会参加对象
(一)市区初中招生电脑派位工作领导组成员;
(二)市纪检监察部门领导;
(三)市公证处公证员;
(四)溪美、柳城街道分管教育领导;
(五)各类代表:
1.社区(居委会)负责人;
2.学校领导代表;
3.学校教师代表;
4.学生家长代表;
5.学生代表。
五、电脑派位过程中的应急处理办法
(一)现场派位过程中,如果出现派位使用的电脑“死机”、不能接受指令、ESC键没有反应及蓝屏、黑屏等故障,立即启动以下应急预案:
1.计算机人员停止一切操作,对现场派位的电脑系统进行现场录像;
2.公证处人员进行现场公证,纪检监察部门进行现场监督,当场封存出现故障的电脑;
3.更换派位使用的电脑;
4.重新进行电脑派位;
5.分析故障原因,整理突发事件过程材料按程序上报有关领导和相关部门。
(二)现场派位过程中,如果投影系统出现故障,无法在投影机屏幕上显示派位过程及结果,立即启动以下应急预案:
1.公证处人员、纪检监察部门立即到派位操作台前监督派位过程,派位结果有效;
2.打印张贴派位结果。
(三)应急处理准备工作:
1.配置一台在线式UPS;
2.配置一台运行良好的备用笔记本电脑;
3.配置一台运行良好的备用打印机;
4.对派位过程进行全程录像。
2023年市区初中招生电脑派位工作邀请市纪检监察部门进行全程监督,并由市公证处对派位过程进行公证。
以上内容公示时间为7月3日-7月7日。如有异议,请于7月7日18时前向市教育局中教科反映(电话:86367823)。
附件:参加2023年南安市区初中电脑派位招生对象志愿填报情况
南安市招生考试委员会
2023年7月3日





































来源:南安教育信息