
摘要:本文主要针对在工业应用中使用的集成式PID控制器仪表,从工程实际应用角度,介绍实现优于0.1%的超高精度控制以及所涉及的几项关键技术指标,以此来帮助超高精度PID控制器的选型和工业应用中实现超高精度的工艺过程控制。
一、背景介绍
在工业领域中,往往会需要对温度、真空压力和流量等工艺参数进行超高精度的控制。工业领域中的控制精度划分为高精度(1%)和超高精度(0.1%),而在高等级实验室和计量校准中往往会需要比0.05%更高的控制精度。
对于一个完整的PID控制系统,典型的控制回路是一个闭环形式,如图1所示。

图1 典型闭环形式PID控制系统结构及其PID控制器结构示意图
如图1所示,在闭环形式的PID控制系统中,传感器和执行器基本都是外置形式,可根据不同的控制参量和精度要求进行选配。在工业应用中,基本都要求PID控制器是独立的控制仪表,即工业用PID控制器基本都集成了如图1所示的模数转换器ADC、微控制器MCU、数模转换器DAC和显示器等部件,并设有连接外置传感器、执行器和通讯等功能的接口。从工业应用中集成式的PID控制器结构可以看出,PID控制器的控制精度主要由ADC、MCU和DAC的精度所决定。
在一些更高精度的测控场合,如计量校准领域,为了进一步提高PID控制器的精度,一般会采用分立结构的PID控制系统,即将图1中PID控制器的模数转换器ADC、微控制器MCU、数模转换器DAC采用更高精度的专用仪器来代替,如模数转换器ADC采用六位半(甚至七位半)数字电压表来代替、微控制器MCU采用计算机或单片机来代替、数模转换器DAC采用六位半的数控源表来代替。尽管这样构件的PID控制系统可以有效的提高控制精度,但整体造价和体积都大幅度的提升,并不适合工业应用中的控制。
本文主要针对在工业应用中使用的集成式PID控制器仪表,从工程应用角度介绍实现0.1%超高精度控制所涉及的几项关键技术指标,以此有助于工业应用中超高精度工艺控制过程的实现和PID控制器的选型。
二、超高精度PID控制器中的关键技术指标分析
从图1所示的PID控制器结构可以看出,构成PID控制器的核心部件是ADC、MCU和DAC三部分。为了实现PID控制器具有优于0.1%的超高精度控制,必须要求这三个部件达到相应的技术指标和功能要求,以分别实现高精度的测量、运算和控制功能。
(1)测量精度
PID控制器的测量精度,主要是指控制器对外置传感器输出信号的采集精度,即模数转换器ADC的转换精度。一般ADC的精度分为8位、12位、16位和24位等几个档次,位数越高,采集精度越高。因此,PID控制器测量精度的关键技术指标,就是此ADC位数。
我们以PID控制器信号输入量程为0~10V的直流电压为例,图2列出了不同ADC位数所对应的最小可测电压。

图2 不同ADC位数对应的最小可测电压值(mV)

图3 不同电压值达到0.1%测量精度所需的ADC位数
根据图2所示的不同ADC位数所具有的最小可测电压能力,可计算出针对不同传感器信号电压值要实现0.1%测量精度需要配备的ADC位数,如图3所示。
另外,ADC位数的选择,可以根据实际控制的精度要求来确定,满足技术要求极可,毕竟AD位数越高,精度越高,但PID控制器仪表的价格越贵,且相应的采集速度也就越慢(一般而言,精度和速度是一对矛盾)。
(2)控制精度
PID控制器的控制精度,主要是指控制器对外部执行器的模拟量输出精度,即数模转换器DAC的转换精度。与ADC一样,一般DAC的精度分为8位、12位和16位等几个档次,位数越高,采集精度越高。由此,DAC的位数也是PID控制器的关键技术指标。
同样,图2所示的不同ADC位数对应的最小可测电压值同样可以用来描述不同DAC位数所能输出的最小控制电压值。
(3)浮点运算精度
测试精度和控制精度涉及的是PID控制器硬件部分的精度,要真正保证PID控制器整体控制精度,还包括控制器所用的微处理器单元MCU的软件计算精度,即所谓的浮点运算精度。如PID控制器中的输出百分比,还是以图2所示为例,8位浮点运算时的最小输出百分比为1%,10位和12位浮点运算的最小输出百分比为0.1%,如果要实现总的控制精度优于0.1%,势必要求采用14位和16位的浮点运算使得最小输出百分比为0.01%。也就是说,浮点运算位数越多,输出百分比越小,控制输出量越精细,相应的控制精度就越高。
三、压力控制案例分析
下面我们以一个压力控制案例来演示DAC控制精度对控制效果的影响。
在此案例中,我们的实验目的是精密控制0~6bar(表压)范围内的压力,实现0.1%的控制精度。整个实验装置的结构如图4所示。

图4 超高精度压力控制考核实验装置结构示意图
为了实现0.1%的压力控制精度,我们在图4所示的压力控制实验装置中进行了以下配备:
(1)压力传感器:精度0.05%,量程为绝压0.1~1MPa,对应电压输出为0~10V。
(2)电气比例阀:精度0.25%,量程为绝压0.1~1MPa,控制电压为0~10V。
(3)PID控制器:ADC为24位,DAC为12位,ADC量程为0~10V,DAC量程为0~10V。
(4)多通道数据采集器:安捷伦34972A,五位半/六位半采集。
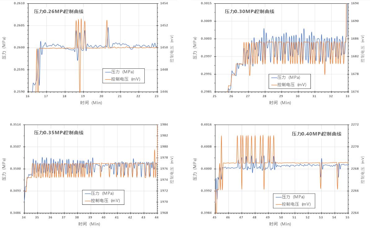
基于以上配置,在图4所示的实验装置上对0.26、0.3、0.35和0.4 MPa的四个压力设定点进行了恒定控制试验。在进行PID自整定后,得到以上各个压力设定点下的控制试验曲线,如图5所示。

图5 四个压力设定点的恒定控制试验曲线
为了对控制精度的影响因素有直观的了解,采用高精度的34972A多通道数据采集器分别对PID控制器的ADC测量端和DAC控制端进行测量,以直观了解控制压力和控制信号的微小变化及其波动性。
为了直观了解四个压力设定点下的压力控制精度,对图5所示的测量曲线进行局部放大,四个压力控制点处的放大结果如图6所示。

图6 四个压力恒定控制和控制电压波动变化试验结果
从上述短时间考核试验结果,可以发现以下现象:
(1)在全量程范围内,压力恒定控制的波动性完全可以控制在±0.2%以内,但要将波动性控制在0.1%以内则非常勉强。
(2)在大部分控制时间内,压力恒定波动性总是大于0.1%的主要原因是PID控制器12位DAC的控制精度还是偏低。在压力稳定后,PID控制器的输出百分比基本也趋于恒定,其恒定后的变化量为0.1%。而此0.1%的恒定控制输出百分比的变化量,对应不同控制压力点时呈现出的控制电压变化量为2~5mV。
四、结论
通过上述分析和压力控制案例的实验验证,工业用集成式PID控制器仪表要实现0.1%的控制精度,需要满足以下几方面的技术指标:
(1)外置传感器要有0.1%以上的超高精度。
(2)外置执行器也需要具有较高的精度,但不一定要求达到0.1%的超高精度。
(3)PID控制器的ADC位数至少需要达到16位,最佳是24位。
(4)PID控制器的浮点运算要保证输出百分比具有0.01%~0.05%的调节能力。
(5)PID控制器的DAC位数至少需要达到14位,最佳是16位。
