开场故事是一篇关于小川洋子著名小说《博士的爱情算式》的书评。
接下来由日本著名理论物理学家大栗博司为你详解伟大的欧拉公式的来龙去脉,以及所包含的意义。
开场故事
百度百科·TA说
标题:啊,真安静!(原创)
作者 日光浮色悦阅读|2026-03-15T03:46:15+00:00
小川洋子被评价为一个很会讲故事的细腻女人,在《博士的爱情算式》之前,我没有读过小川洋子的作品,但我是个喜欢细腻故事的人,所以她的作品是一定要拜读一下的。
《博士的爱情算式》一书中,只有三个主要人物,这三个主要人物都没有具体的名字。他们一位是六十多岁的老人——博士,一位是不到四十岁的单身妈妈——我,还有一位是我的儿子——十岁的平方根。平方根是博士给起的名字,因为博士说儿子的头顶就像平方根符号那样平。
单身妈妈“我”接受了一个新的家政任务,接待她的是一位气度高雅的瘦小老太太,而需要服务的对象的是这位老太太的小叔,也就是老太太丈夫的弟弟——博士。老太太住在主屋,博士住在偏屋,单身妈妈需要负责的是博士周一到周五的中饭和晚饭,以及收拾屋子和购买所需物品。
在接受这个任务之前,“我”就已经有了足够的心理准备,因为博士的卡上有9个更换保姆的星号,这在所有服务过的家庭中是非常少见的。64岁的博士曾经是一位数学研究员,47岁时不幸遭遇交通事故,事故后博士的脑部受到严重的损伤,他的记忆保留在了出事故那一年,对于新发生的事情,他的记忆只能保留80分钟。
博士在每一个迎接“我”的清晨,第一句都是:“你鞋子穿几码?”或者“你家电话号码是多少?”博士对一切数字感兴趣,他会长时间坐在桌前解答数学杂志的悬赏问题,有些问题需要长时间的推算,博士沉静在自己的世界里,不允许别人打扰,每当博士解答完问题,再次检查之后,他都会喃喃感叹:“啊,真安静!”这说明他对自己的推导过程很满意。
“安静”于博士而言是最高级的表扬词语。他在求得正确答案时所感受到的不是欣喜或解脱,而是一份宁静,博士酷爱这份宁静。
博士是个可爱的老人,他在自己常年穿在身上的西装上夹满了夹子,每个夹子上都有一张便条,在袖口处常年不变的一个便条上写着“我的记忆只能维持80分钟。”
读到这里,有一些心酸。朋友的妈妈得了老年痴呆,自己的家人朋友都不认识,偶尔认出自己女儿,叫出朋友名字的时候,朋友都会开心好几天。每一次听到朋友开心地告诉我妈妈认出她时,那种让人无可奈何的感觉实在是——煎熬人心。
博士偶然得知保姆有一个十岁的儿子,在“我”工作的时候独自一人呆在家里,博士对此异常的愤怒,认为这是非常不负责任的行为,并要求每天让孩子放学后到博士家里来做作业。为此,博士在自己满是纸条的西装上,又加了“新来的保姆,和她儿子,10岁。”
博士在与平方根相处中表现出了强烈的热情,博士尽情地打开双臂拥抱了儿子,并且直截了当地说:“你是平方根,无论怎么样的数字你都不会嫌弃,让它藏到自己里面,实在是很宽容的一个符号,平方根。”
《博士的爱情算式》一书,讲述的故事读来让人深感温暖。
平方根的妈妈必须出去采购,留下十岁的平方根和六十四岁的博士在家时,平方根不小心割伤了手指,博士如临大敌般背着平方根赶去诊所,整个过程,博士紧握着双拳,异常的紧张。在等待平方根包扎的过程中,博士哭了。
平方根母子俩人与博士一直保持着联系,即使在博士住进养老院后,母子俩人也时常去看望博士。博士把母子俩人引进神奇的数字世界——博士写的数字和我写的数字,形成一股没有阻滞的细流,我和博士用目光追逐着它进入循环的轨迹。
啊,真安静!
2019-12-02
《博士的爱情算式》是2005年7月人民文学出版社出版发行的图书,作者是(日)小川洋子。
《用数学的语言看世界》第8章
作者:(日本)
第8章
真实存在的“假想数字”

序 假想的朋友,假想的数字
你刚上托儿所时,园长曾经给我提了好多建议,其中有一条是“假想的朋友”,这指的是把2岁到7岁左右的小孩当作自己假想朋友的现象。也许有时候会在半夜从孩子房中传来愉快的自言自语声,或者父母与孩子之间时而会出现以下对话。
孩子:苏菲总是刁难我。
父母:苏菲是谁呀?
孩子:她就住在我房间的衣橱里。
不过不需要担心,与假想的朋友对话有助于小孩的心理成长。调查表明,在美国,7岁前的小孩中将近七成拥有自己的假想朋友。
正如假想的朋友有助于小孩成长,假想的数字对数学的发展也起到重要的作用。假想的数字也就是所谓的“虚数”。在日语中,“虚数”听起来像是神秘的数字,其实英语中叫作“imaginary number”,也就是人类虚构出来的数字。
等小孩上了小学,假想的朋友自然而然就会消失。因为他们忙着跟现实中的朋友一起玩,突然有一天打开衣橱,发现假想的朋友早已不见踪影。反之,随着数学的发展,假想的数字却越来越有现实感,几乎活跃在数学的所有领域中。
虚数也出现在一条著名的公式中,如下所示

在上述公式中,自然常数e、圆周率π、乘以任何数都等于该数本身的“乘法运算的单位”1、加上任何数都等于该数本身的“加法运算的单位”0以及第8章的主角“虚数单位”i齐聚一堂。在小川洋子的《博士的爱情算式》中,博士写在便笺上的这个公式消除了嫂子和保姆二人心中的隔阂。在这一话的后半部分,我们将会来解释这个算式成立的理由以及其中所包含的意义。
1 平方为负的奇怪数字
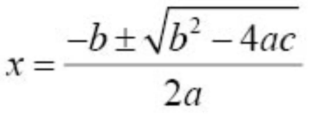
我们在初中三年级学过二次方程
Ax²+Bx+C=0
的解是

不过,只有在平方根中的值不是负数时,上述求根公式才能得到实数根。平方根中的算式(B²-4AC)称作二次方程根的“判别式”。
以下是一个判别式(B²-4AC)为负数时的二次方程,
x²+1=0
在上述方程中,因为判别式B²-4AC=-4即负数,所以没有实数根。

图8-1 y=x²+1的曲线与x轴不相交
为了更好地理解没有实数根,首先作一个抛物线y=x²+1的曲线图,如图8-1。只要上述公式中y=0,那么就等于原方程 x²+1=0。该方程的根就相当于抛物线的曲线与x轴(y=0)相交时x的值。然而,在这个情况下,抛物线位于x轴的上方,
并没有与x轴相交。只要x是实数,x²+1的值都是正数,抛物线y=x²+1也永远位于x轴的上方。所以,该方程没有实数根。
虚数常被解释是用于解没有实数根的二次方程,其实不然。在历史上,数学中真正开始认真思考虚数并不是因为二次方程,而是为了研究三次方程的解法。在二次方程中,只要提出“判别式(B²-4AC)为负数的方程没有实数根”,问题就此解决。根本不需要引入虚数的概念强行求解。
然而,二次方程的方法并不适用于三次方程。方程
x³-6x+2=0
存在3个实数x的根。想要进行确认,只要如图8-2作一个y=x³-6x+2的曲线图即可。





想出来的数字,所以给它取名为“nombre imaginaire”。这也是英语“imaginary number”和日语“虚数”的词源。


(a,ib)+(c,id)=(a+c)+i(b+d)
如图8-5所示,如果作一个以原点、(a,b)、(c,d)为顶点的平行四边形,那么两个复数之和(a+c,b+d)就是该平行四边形的另一个顶点。这也是复数加法运算的几何学意义。

图8-5两个复数之和
那么,乘法运算又是如何呢?使用乘法的分配律,即
(a,ib)×(c,id)=a×(c+id)+ib×(c+id)
因此,分别进行实数的乘法运算
a×(c+id)和虚数的乘法运算
ib×(c+id),然后再将其计算结果组合在一起。
首先再次使用分配律,计算复数乘以实数a(c+id),
a×(c+id)=a×c+ia×d
将其代入高斯平面中,(c,d)变成了(a×c,a×d)。如果a为整数,那么如图8-6所示,(a×c,a×d)按照相同方向从原点朝(c,d)伸长a倍。如果a为负数,那么按照相反方向。

刚才思考的是虚数单位的乘法运算。如果将其乘以b倍,即在ib的乘法运算中,那么
ib×(c+id)=-b×d+ib×c
在高斯平面内,位置(c,d)变成了
(-b×d,b×c)。这相当于是先旋转90°再伸长b倍。
在实数a的乘法运算中,高斯平面内的复数(c,d)到原点的距离伸长了a倍。在虚数ib的乘法运算中,(c,d)先旋转了90°再伸长了b倍。那么实数a与虚数ib组成的(a+ib)的乘法运算又是什么情况呢?
首先,如图8-8所示,作一个以原点、(a,b),以及与x轴垂直相交的交点(a,0)为顶点的直角三角形,假设底边和斜边的角度为θ,斜边长为

图8-8作一个以原点、a和a+ib为顶点的直角三角形,其斜边长r=√a²+b²
接着,如图8-9所示,作一个以原点、a×(c+id)、(a+ib)×(c+id)为顶点的三角形。a×(c+id)相当于是(c+id)伸长a倍。而且,ib×(c+id)相当于是(c+id)按照逆时针方向旋转90°后再伸长b倍。因此,连接三角形a×(c+id)和(a+ib)×(c+id)的边与a×(c+id)垂直相交且伸长b倍。
图8-9复数的乘法运算是“旋转与伸长"
也就是说,无论是图8-8中的三角形还是图8-9中的三角形,连接直角的两条边长之比等于a:b,所以这两个三角形是相似图形。在图8-8中,三角形的底边和斜边的角度为θ,边长之比为r。既然该三角形与图8-9中的三角形相似,那么(a+ib)×(c+id)相当于是(c+id)以原点为中心旋转θ°,再伸长r倍。
也就是说,复数的乘法运算就是在高斯平面内的位置以原点为中心先旋转再伸长。喜欢通过组合单词来创造新词的德国人将复数的乘法运算叫作“Drehstreckung”,也就是“旋转与伸长”。
4 从加法导出的加法定理
复数的乘法运算是“旋转与伸长”,因此如果通过高斯平面内距离原点的长度和角度来确定(a+ib)的位置,那么就相当方便。
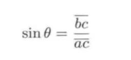
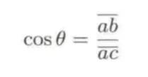
首先我们来复习一下三角函数。三角函数表示为sinθ或cosθ时,θ是指用“弧度”单位测量的角度。此时,圆周的角度不是360°,而是以2π为单位。如图8-10所示,定义三角函数时,首先作一个顶点分别为a、b、 c的直角三角形,假设顶点a的角度为θ,顶点b的角度为直角。那么,sinθ定义为高与斜边之比,即


图8-10为了定义三角函数的直角三角形
cosθ定义为底边与斜边之比,即

准备工作就绪后,接着在高斯平面内通过长度和角度来确定复数(a+ib)的位置。重新回顾一下图8-8。如果使用三角函数,那么底边 a与高b可以分别表示为

a=r cosθ,b=r sinθ
因此可以确定(r,θ)到(a,b)。将其代入复数(a+ib)中,得到
a+ib=r(cosθ+i sinθ)
也就是说,即使用长度和角度的数对(r,θ)替代笛卡儿坐标(a,b),也能确定复数的位置。这被称作“极坐标”。极代表原点,然后因为是通过到原点的距离和角度来确定位置,所以取名“极坐标”。
使用复数的“旋转与伸长”,就能简单地推导出三角函数的加法定理。
首先作一个以原点为圆心、半径为1的圆,然后将圆上的两点分别表示为复数z₁和z₂。因为两点到原点的距离均为1,所以只要使用极坐标,那么
z₁=cosθ₁+isinθ₁
z₂=cosθ₂+isinθ₂
因为复数的乘法运算是“旋转与伸长”,所以
z₁×z₂相当于将z₂旋转θ₁度(因为r₁=r₂=1,所以不需要伸长)。而且,因为原来z₂距离原点的角度是θ₂,所以既然只是旋转了θ₁度,那么最终的角度等于(θ₁+θ₂)。等式表示如下,
(cosθ₁+i sinθ₁)x(cosθ₂+i sinθ₂)
=cos(θ₁+θ₂)+i sin(θ₁+θ₂)
展开上述等式的左边部分,分别用等号连接两边的实数部分和虚数部分,那么
cosθ₁cosθ₂-sinθ₁sinθ₂=cos(θ₁+θ₂)
sinθ₁cosθ₂+cosθ₁sinθ₂=sin(θ₁+θ₂)
这就是三角函数的加法定理。
5 用方程解决几何问题
三角函数的加法定理能用复数表示为
(cosθ₁+isinθ₁)x(cosθ₂+i sinθ₂)
=cos(θ₁+θ₂)+i sin(θ₁+θ₂)
在第3章中,我们讲过指数函数的性质即“乘法运算等于指数的加法运算”
三角函数的加法定理与上述性质相似。两者都是等式左边是乘法运算,等式右边的变量却变成了加法运算。在第3章中,我们还从上述性质中推导出了

即“如果开n次方,那么指数乘以n倍”。例如,

此处使用的性质是“乘法运算等于变量的加法运算”。因此,对于三角函数
cosθ+i sinθ,“如果开n次方,那么变量乘以n倍”的性质同样成立。也就是说,
(cosθ+i sinθ)ⁿ=cos nθ+i sin nθ
这也是著名的“棣莫弗定理”。







随着数学的发展,我们有时会发现原本完全无关的事物之间存在着意外的联系。三角函数诞生于古希腊时期的平面几何研究。此外,纳皮尔受到第谷天文学的刺激,为了实现大数字计算的简单化而发明了指数函数。出身迥异的两种函数却通过“假想的数字”,即在复数的世界中产生了紧密的联系。
数学的出现最初是为了帮助人类理解自然。在它出现以后,就开始拥有自己的生命并且不断发展壮大,完全不受人类的控制。就像是三角函数和指数函数的关系,与其说是人类创造的产物,倒不如说是欧拉等探险者在数学的世界中发现了它的存在。我们一直认为复数原本是人类假想的数字,其实在独立于人类现实世界的数学世界中,它一直存在。
文章来源:
《用数学的语言看世界》
作者:大栗博司
译者:尤斌斌
人民邮电出版社
2017年4月第一版
本书以用数学语言解读自然为线索,突破传统数学教育的顺序和教学方式,用历史事件,生动故事以及比喻直接讲解数学核心概念的原理和相关体系,并且讲解了把数学作为一门“语言”,用数学探索自然不可见结构的思维方式,是重新认识和理解数学的科普佳作。