
dB 是什么单位 ?愈低愈好吗?
对于声频 ( 声学及电子声学 ) 方面的单位,它是以分贝(decibel ,dB ) 来做结果的。斯多里一生专注于科学,1876 发明电话,我们都知道贝尔发明了电话,然而重要的是,他发现我们人类耳朵对声音强度的反应是成对数形式,当声音的强度增加到某一程度时,人的听觉会变的较不敏锐,刚好近似对数的单位刻度。这使得对数的单位可以去拿来代表人类听觉变化的比例,当然,这基本的单位为 Bell ( 贝尔 )为了纪念他的发现因而命名为Bell 简写符号为 Bel 。
用在小讯号方面时就须再细分以十分之一为一个单位,如同你在使用电表时欲量取小电压,会自动往下播切一格类似,此即 decibel ( 分贝 ),从英文字的 decibel 这字是个复合字英文的「十分之一」,「小数」是decimal,其缩简写是 deci .这样的deci + bel 因此即成decibel 。而这又有简写符号为 dB,注意这「dB 」这前面的d 是小写而后面的 B 是大写
人耳对声音感知具有很大的动态范围 从短期暴露即会永久损害听力的声强到最静的人耳能听到的声强,其比值是1万亿(1012)。这么大的比值范围表示为对数度量:1万亿基于10的对数为12,用分贝表示是240。人的听力并不是对所有频率都是相同敏感,最敏感的频率范围是2到4kHz.
在实际日常生活中,住宅小区告知牌上面标示噪音要低于60分贝,也就是要低于60dB,在这里dB(分贝)的定义为噪声源功率与基准声功率比值的对数乘10的数值,不是一个单位,而是一个数值,用来形容声音的大小。
常见表示形式:dB
0dB是人耳能听到的最微弱的的声音,在90dB环境中听力会受到严重影响。
信号强度
在无线通信领域,衡量一个地点的某一无线基站通信信号强度也可以用dB表示。如测的某宾馆402房间的1号无线基站通信信号强度为-90dBm,这里的定义为该房间的有用信号强度与所有信号(包括干扰信号)的比值。常见表示形式:dBm、dBw
增益
在天线技术方面,dB是衡量天线性能的一个参数,名称为增益。它是指在输入功率相等的条件下,实际天线与理想天线在空间同一点处所产生的信号的功率密度之比。常见表示形式:dBi、dBd
其他领域中的意义
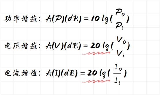
在电子工程领域,放大器增益使用的就是dB。放大器输出与输入的比值为放大倍数,单位是“倍”,如10倍放大器,100倍放大器。当改用“分贝”做单位时,放大倍数就称之为增益,这是一个概念的两种称呼。电学中分贝与放大倍数的转换关系为:
A(V)(dB)=20lg(Vo/Vi);电压增益
A(I)(dB)=20lg(Io/Ii);电流增益
A(p)(dB)=10lg(Po/Pi);功率增益
掌握了以上知识,在电磁兼容领域就可以容易看懂测试结果了。

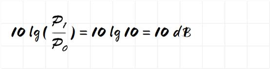
【问】功率增大为10倍,用?dB表示
答案:

这里请大家记住一个口诀。记住了这个口诀,你基本就可以横着走路了。
+3dB,表示功率增加为2倍;+10dB,表示功率增加为10倍。
-3dB,表示功率减小为1/2;-10dB,表示功率减小为1/10。
可见dB是个相对值,它的使命就是把一个很大或者很小的数,用一个简短的形式表达出来。

这可以极大的方便我们计算和描述。尤其是绘制表格的时候,大家可以自行脑补下,没换算成dB前,这么多的0,坐标轴得拉到外太空了吧…… 理解了dB,你只能横着走,理解了dB家族的其它成员,你就可以躺赢了。
我们还是从最常用的dBm、dBw来说说吧! dBm、dBw就是把dB公式中的参考功率P0分别换成1 mW、1 W:

1 mW、1 W都是确定的值,因此dBm、dBw都可以表示功率的绝对值。 直接上个功率换算表供大家参考:

这里,我们要记住:
1 W = 30 dBm。
简化口诀是“30是基准,等于1 W整”。 记住了这条,再结合前面的“加3乘2,加10乘10;减3除2,减10除10”,你就可以进行很多口算了。
赶紧出道题来检验下。
【问】44 dBm=?W
答案:

你算对了吗? 这里我们需要注意,等式右侧除了30 dBm,其余的拆分项都要用dB表示。也就是说,用一个dBx减另一个dBx时,得到的结果用dB表示。 [例] 如果A的功率为46 dBm,B的功率为40 dBm,可以说A比B大6 dB。 [例] 如果A天线为12 dBd,B天线为14 dBd,可以说A比B小2 dB。

例如,46 dB表示P1为P0的4万倍,46 dBm则表示P1的值为40 W。符号中仅仅差了一个m,代表的含义可完全不同。 dB家族中常见的还有dBi、dBd、dBc。它们的计算方法与dB的计算方法完全一样,表示的还是功率的相对值。 不同的是,它们的参考基准不同,即分母上的参考功率P0所代表的含义不同。

一般认为,表示同一个增益,用dBi表示出来比用dBd表示出来要大2.15。这个差值是两种天线的不同方向性导致的,这里咱们就不展开说了。 此外,dB家族不仅可以表示功率的增益和损耗,还可以表示电压、电流、音频等,大家要具体场景具体应用。 需要注意的是,对于功率的增益,我们用10lg(Po/Pi),对于电压和电流的增益,要用20lg(Vo/Vi)、20lg(Io/Ii)。

多的这个2倍是怎么来的呢? 这个2来源于电功率转换公式的平方上。对数里面的n次方,计算后对应的就是n倍啦。

绝对值:

关于雷卯
上海雷卯专注电子产品电磁兼容设计,电子产品的接口防护需用过压保护器件,很多工程师意识到要用保护器件,但由于选型不当或没按照ESD电路PCB设计原则,造成产品静电测试或EMC测试不通过,产品多次验证测试,浪费人力财力,造成产品延迟上市的事情总有发生,或过度设计,造成成本压力。
雷卯电子专业为客户提供电磁兼容EMC的设计服务,提供实验室做 摸底免费测试 ,从客户高效,控本方便完成设计,希望为更多的客户能快速通过EMC的项目,提高产品可靠性尽力。
雷卯电子电磁兼容实验室,提供免费测试,提供外围静电保护参考电路。