
有这样的一个知识点贯穿小学、中学、大学一直到公职考试,它总是如“常青树”一般屹立不倒,那就是等差数列,接下来就由中公教育为大家详细介绍等差数列的相关内容,中公教育希望能够帮助各位考生对等差数列建立起一个完整的知识框架。
定义
对于一个数列而言,从第二项起每一项与前一项的差为同一个常数,这个数列即为等差数列。例如:1,3,5,7,9……
相关概念
公差: d;n:项数;

上述示例中,公差

。
常见考点
1.通项公式: 研究的是末项与首项之间的关系:

推论一:对同一个等差数列而言,任意两项的差等于下角标之差与公差的乘积,即

推论二:对同一个等差数列而言,若

。
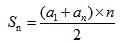
2. 求和公式: 对等差数列的前n项进行求和:

;若n为奇数,则

。
例题精讲
例1
已知数列

则该数列前15项和

。
【答案】B。方法一:根据通项公式


,可得

。
方法二:因n=15,为奇数,利用中间项求和

前15项的中间项为第8项,故

,本题选择B选项。
例2
某商店10月1日开业后,每天的营业额均以100元的速度上涨,已知该月15日这一天的营业额为5000元,问该商店10月份总营业额为多少元?
A.150000 B.155000 C.158100 D.163100
【答案】C。根据题意每天的营业额构成公差为100的等差数列,该数列第15项为5000,求10月总营业额,10月共有31天,故所求为前31项和,根据项数奇数,优先选择用中间项求和公式

进行求解,中间项为第16项,

本题选择C选项。
总结: 等差数列作为公考中计算问题的常考题型,相比其他行程问题、工程问题、排列组合问题等,容易抓住落脚点,只要能够明确等差数列的特征描述,熟记各个公式,再勤加练习,相信各位考生可以建立起一个完善的理论框架。