假设检验的基本思想是小概率反证法思想,小概率思想是指小概率事件(P<0.01或P<0.05)在一次试验中基本上不会发生。
设X~N( μ 1 , σ 1^2)、Y~N( μ 2 , σ 2^2),且X和Y相互独立。根据实际问题需要,主要分为下列几种:
- 已知方差 σ 1^2, σ 2^2,假设检验 H0: μ 1 = μ 2 ;
- 未知方差 σ 1^2, σ 2^2,但已知 σ 1^2= σ 2^2,假设检验 H0: μ 1 = μ 2 ;
- 未知期望 μ 1 、 μ 2 ,假设检验 H0:σ 1^2 = σ 2^2;
- 未知期望 μ 1 、 μ 2 ,假设检验H0:σ 1^2 ≤ σ 2^2;
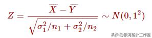
1、方差已知时两个正态总体均值假设检验
检验步骤:
- 提出假设:H0: μ 1 = μ 2 ;H1: μ 1 ≠ μ 2
- 由样本X1、X2、...、Xn1、Y1、Y2、...、Yn2,计算统计量Z:

- 计算p值,对比显著水平α做出判断
例 1 卷烟厂向化验室送去A、B两种*草烟**尼古丁含量(单位:mg)分别为:
A:24, 27, 26, 21, 24
B:27, 28, 23, 31, 26 根据经验知道两种*草烟**尼古丁含量 服从正态分布且相互独立 ,A种*草烟**的方差为5、B种*草烟**的方差为8。问在0.05显著水平下,两种*草烟**尼古丁含量是否有显著差异?
解:根据题意,随机变量X和Y分别表示A、B两种*草烟**的尼古丁含量,X~N( μ 1 , σ 1^2)、Y~N( μ 2 , σ 2^2),且X、Y相互独立。
- 提出假设:H0: μ 1 = μ 2 ;H1: μ 1 ≠ μ 2
- 计算正态分布统计量
n 1 = 5、 n 2 = 5、 σ 1^2= 5、 σ 2^2=8
Xmean=AVERAGE(24, 27, 26, 21, 24) = 24.4;
Ymean=AVERAGE(27, 28, 23, 31, 26) = 27;
Z = (Xmean-Ymean)/(5/5+8/5)^0.5 = -1.6125
注:Xmean和Ymean为随机变量X和Y样本平均数,正态分布统计量Z采用EXCEL算式
- 计算p值
由于原假设“H0: μ 1 = μ 2 ”为双边检验,
p = 2*(1-NORM.S.DIST(ABS(-1.6125),TRUE)) ≈ 0.107
注:Excel中的NORM.S.DIST函数用于计算标准正态分布的累积分布函数,也就是计算给定值的累积概率
- 检验
因为p ≈ 0.107 >α = 0.05, 接受原假设H0,拒绝备择假设 H1,即“有95%的把握确信两种*草烟**尼古丁含量没有显著差异” 。
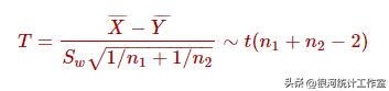
2、方差未知时两个正态总体均值假设检验
当方差 σ 1^2, σ 2^2未知,但已知 σ 1^2 = σ 2^2时,检验步骤为:
- 提出假设:H0: μ 1 = μ 2 ;H1: μ 1 ≠ μ 2
- 由样本X1、X2、...、Xn1、Y1、Y2、...、Yn2,计算 t 统计量T:

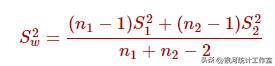
式中,

- 计算p值,对比显著水平α做出判断
例 2 假设有A、B两种药,试验者欲比较它们在服用2小时后血液中的药含量的浓度(用适当的单位)对药品A,随机抽取了8个病人,他们服药2小时后,测得血液中药的浓度)为
1.23, 1.42, 1.41, 1.62, 1.55, 1.51, 1.60, 1.76
对药品B,随机抽取了6个病人,他们服药2小时后,测得血液中药的浓度为
1.76, 1.41, 1.87, 1.67, 1.81, 1.73
假定这两组观测值服从具有公共方差的正态分布,试在显著性水平α=0.05下,检验病人血液中这两种药的浓度是否具有显著不同?
解: 两组观测数据满足正态分布,且有共同方差。
- 提出假设:H0: μ 1 = μ 2 ;H1: μ 1 ≠ μ 2
- 计算t分布统计量
n 1 = 8, n 2 = 6, σ 1^2 = σ 2^2
Xmean=AVERAGE(1.23,1.42,1.41,1.62,1.55,1.51,1.60,1.76) = 1.5125;
Ymean=AVERAGE(1.76,1.41,1.87,1.67,1.81,1.73) ≈ 1.7083;
S1^2=VAR.S(1.23,1.42,1.41,1.62,1.55,1.51,1.6,1.76) ≈ 0.0258;
S2^2=VAR.S(1.76,1.41,1.87,1.67,1.81,1.73) ≈ 0.026;
Sw = ((7*0.0258+5*0.026)/12)^0.5 ≈ 0.16094
T = (1.5125-1.7083)/(0.0259*(1/8+1/6)^0.5) ≈ -2.25
- 计算p值
由于原假设“H0: μ 1 = μ 2 ;”为双边检验,
p =2*(1-T.DIST(ABS(-2.25),12,TRUE)) ≈ 0.044
注:Excel的T.DIST函数用于计算t分布的累积概率。这里统计量为负值时按绝对值代入公式
- 检验
因为p ≈ 0.044 < α = 0.05, 拒绝原假设H0,即“有95%的把握认为甲、乙区使用该商品的用户比重没有明显差别”。
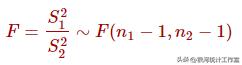
3、两个总体方差比的假设检验
未知期望 μ 1 、 μ 2 ,假设检验 H0: σ 1^2 = σ 2^2;
- 提出假设:H0: σ 1^2 = σ 2^2; H1: σ 1^2 ≠ σ 2^2
- 由样本X1、X2、...、Xn1、Y1、Y2、...、Yn2,计算F统计量F:

式中,S1^2、S2^2为样本X1、X2、...、Xn1、Y1、Y2、...、Yn2 的样本方差。
例 3 甲、乙两厂生产同一种电阻,现从甲乙两厂的产品中分别随机抽取12个和10个样品,测得它们的电阻值后,计算出样本方差分别为1.40、4.38。假设电阻值服从正态分布,在显著性水平α=0.10下,是否可以认为两厂生产的电阻阻值的方差相等?
- 假设:H0: σ 1^2 = σ 2^2; H1: σ 1^2 ≠ σ 2^2
- F统计量:F = 1.40/4.38 ≈ 0.32
- 计算p值:p=F.DIST(F,12-1,10-1,TRUE)=F.DIST(0.32,11,9,TRUE) ≈ 0.04
- 检验:“H0: = ”为双边检验,α=0.10,p = 0.04 < α/2 = 0.05,
拒绝原假设H0 ,有90%的把握认为两厂生产的电阻阻值的方差不相等。
注:EXCEL的F.DIST函数用于计算F分布的累积概率; α/2<p<1-α/2 接受原假设H 0 ,否则拒绝原假设H 0
本文涉及的计算公式通过EXCEL函数和算式表达式实现。NORM.S.DIST、T.DIST、F.DIST函数分别用于正态分布、t分布、F分布p值计算。VAR.S函数用于计算样本标准差和样本方差。