目标
在仿真理论中,生成随机变量是最重要的“构建块”之一,而这些随机变量大多是由均匀分布的随机变量生成的。其中一种可以用来产生随机变量的方法是逆变换法。在本文中,我将向您展示如何使用Python中的逆变换方法生成随机变量(包括离散和连续的情况)。
概念
给定随机变量U,其中U在(0,1)中均匀分布。 假设我们要生成随机变量X,其中累积分布函数(CDF)为

逆变换方法的思想是通过如下使用其逆CDF从任何概率分布中生成一个随机数。

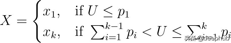
对于离散随机变量,步骤略有不同。假设我们想生成一个离散随机变量X的值,它具有一个概率质量函数(PMF)

为了生成X的值,需要生成一个随机变量U,U在(0,1)中均匀分布,并且定义

通过以上步骤,我们可以按如下方法创建逆变换方法的算法。

连续随机数代码实现
首先,我们实现此方法以生成连续随机变量。 假设我们要模拟一个随机变量X,该变量遵循均值λ(即X〜EXP(λ))的指数分布。 我们知道指数分布的概率分布函数(PDF)是

CDF如下

然后,我们可以使用以下的方法写出逆CDF

在Python中,我们可以通过如下编写这些代码行来简单地实现它。
### Generate exponential distributed random variables given the mean
### and number of random variables
def exponential_inverse_trans(n=1,mean=1):
U=uniform.rvs(size=n)
X=-mean*np.log(1-U)
actual=expon.rvs(size=n,scale=mean)
plt.figure(figsize=(12,9))
plt.hist(X, bins=50, alpha=0.5, label="Generated r.v.")
plt.hist(actual, bins=50, alpha=0.5, label="Actual r.v.")
plt.title("Generated vs Actual %i Exponential Random Variables" %n)
plt.legend()
plt.show()
return X
我们可以通过运行以下示例来尝试上面的代码。 请注意,由于我们要生成随机变量,因此结果可能会有所不同。
cont_example1=exponential_inverse_trans(n=100,mean=4)
cont_example2=exponential_inverse_trans(n=500,mean=4)
cont_example3=exponential_inverse_trans(n=1000,mean=4)



看起来很有趣。 如果将其与实际变量进行比较,我们可以看到生成的随机变量具有非常相似的结果。 可以调整均值(请注意,我为expon.rvs()函数定义的均值是指数分布中的比例参数)和/或 生成的随机变量的数量,以查看不同的结果。
离散随机数实现代码
对于离散随机变量情况,假设我们要模拟遵循以下分布的离散随机变量情况X

首先,我们编写函数以使用这些代码行为一个样本生成离散随机变量。
### Generate arbitary discrete distributed random variables given
### the probability vector
def discrete_inverse_trans(prob_vec):
U=uniform.rvs(size=1)
if U<=prob_vec[0]:
return 1
else:
for i in range(1,len(prob_vec)+1):
if sum(prob_vec[0:i])<U and sum(prob_vec[0:i+1])>U:
return i+1
然后,我们创建一个函数以使用这些代码行生成许多随机变量样本。
def discrete_samples(prob_vec,n=1):
sample=[]
for i in range(0,n):
sample.append(discrete_inverse_trans(prob_vec))
return np.array(sample)
最后,我们创建一个函数来模拟结果,并通过这些代码行将其与实际结果进行比较。
def discrete_simulate(prob_vec,numbers,n=1):
sample_disc=discrete_samples(prob_vec,n)
unique, counts=np.unique(sample_disc,return_counts=True)
fig=plt.figure()
ax=fig.add_axes([0,0,1,1])
prob=counts/n
ax.bar(numbers,prob)
ax.set_title("Simulation of Generating %i Discrete Random Variables" %n)
plt.show()
data={'X':unique,'Number of samples':counts,'Empirical Probability':prob,'Actual Probability':prob_vec}
df=pd.DataFrame(data=data)
return df
我们可以在下面运行一些示例以查看结果。 同样,请注意,由于我们要生成随机变量,因此结果可能会有所不同。
prob_vec=np.array([0.1,0.3,0.5,0.05,0.05])
numbers=np.array([1,2,3,4,5])
dis_example1=discrete_simulate(prob_vec, numbers, n=100)
dis_example2=discrete_simulate(prob_vec, numbers, n=500)
dis_example3=discrete_simulate(prob_vec, numbers, n=1000)



In[11]: dis_example1
Out[11]:
X Number of samples Empirical Probability Actual Probability
0 1 8 0.08 0.10
1 2 35 0.35 0.30
2 3 50 0.50 0.50
3 4 5 0.05 0.05
4 5 2 0.02 0.05In[12]: dis_example2
Out[12]:
X Number of samples Empirical Probability Actual Probability
0 1 53 0.106 0.10
1 2 159 0.318 0.30
2 3 234 0.468 0.50
3 4 30 0.060 0.05
4 5 24 0.048 0.05In[13]: dis_example3
Out[13]:
X Number of samples Empirical Probability Actual Probability
0 1 108 0.108 0.10
1 2 290 0.290 0.30
2 3 491 0.491 0.50
3 4 51 0.051 0.05
4 5 60 0.060 0.05
结果很有趣! 我们可以看到,随着我们增加随机变量样本的数量,经验概率越来越接近实际概率。 尝试使用不同数量的样本和/或不同的分布进行实验,以查看不同的结果。
总结
这种逆变换方法是统计中非常重要的工具,尤其是在仿真理论中,在给定随机变量均匀分布在(0,1)中的情况下,我们想生成随机变量。 研究案例本身非常广泛,您可以使用在生成经验累积分布函数,预测分析中使用到的这种方法。
作者:Raden Aurelius Andhika Viadinugroho
deephub翻译组