一、理*公论**式推导;
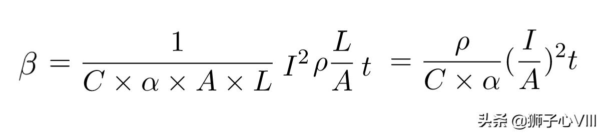
1.铜母排在一段时间内的发热量为 Q,则 Q=I²*R*t;
由于 " 电阻R[Ω]=(电阻率ρ[Ω·m]x铜排长度L[m])/截面积A[m²]= (ρ*L)/A;
因此,Q=(I²*ρ*L*t) /A;

2.当铜母排的发热量为Q时,铜母排的温升为β[℃] ,则 Q=c*m*β;
由于 " 质量[kg]=密度 α[kg/m3]x铜排长度L[m]x 截面积A[m2] " = α*L*A;
因此,Q=c*α*L*A*β;

3.综合上述两公式,温升β为;

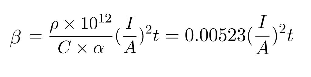
在20℃环境下,铜排的参数如下表;

将截面积A的单位m²转换为 mm²,将铜排的密度、比热容、电阻率数值代入;则,铜排在一段时间内的温升β为:

二、举例;
当10A电流流经2.0mm²铜排5秒,铜排温升是多少?

那么,0.00523 (10/2)² * 5 = 0.65℃,即理论上铜排温升0.65°C;
有其它见解的小伙伴,可以在评论区留言~