一、复数的定义:
形如

复数图(1)
的数叫复数, a 叫复数的实部, b 叫复数的虚部 。
注:

复数图(2)
称为复数 z 的代数形式 ,其中 i^2 = -1 。
二、复数

复数图(3)
与实数的关系 :

复数与实数的关系图
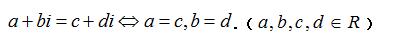
三、复数的相等:

两个复数相等图
四、共轭复数:
1、

共轭复数图
2、i 的性质:

i 的性质图
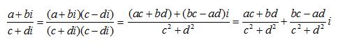
3、法则(分母实数化法):

法则(分母实数化法)图
五、复数的几何意义:
1、复平面:
建立了直角坐标系来表示复数的平面;x 轴叫做实轴,y 轴叫做虚轴 。
注:实轴上的点表示实数;虚轴上的点(除原点)都表示纯虚数 。
2、复数

复数图(1)

复数图(2)
规定:相等的向量表示同一复数 。
3、模

模图(1)

模图(2)
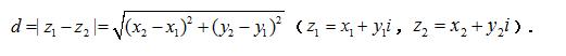
六、复平面上的两点间的距离公式:

复平面上的两点间的距离公式图