注:本文来源于“周铁戈”老师发表在科学网上的原创博文,点击阅读原文关注他!
“抽象”是从众多的事物中抽取出共同的、本质的特征,舍弃其非本质的特征的过程。本文介绍数学中的“抽象”思想和一些我们已经熟知但可能却不知道确切定义的抽象概念。数学中的抽象比我们想象的要简单的多,本文主要分为三个部分:一、问题的提出;二、数学中的“抽象”;三、常见的抽象概念及其定义。本文介绍的抽象数学概念主要包括概率、对等关系、测度、群、环、域、线性空间、距离、距离空间、范数、赋范空间、巴拿赫空间、内积、内积空间、希尔伯特空间、线性算子和泛函等。 错误在所难免,欢迎多多批评指正。
一、问题的提出
首先看两个最常见的概念来提出问题。第一个是“距离”,这个“距离”既是北京到上海的距离,也是平面上两个点之间的距离;既是直线距离,也是实际距离,那么数学上“距离”的定义应该是什么呢?第二个是“概率”,我们都会使用概率这个概念,比如:买彩票中大奖的概率很低;明天下雨的概率很高;扔一个硬币出现其中一面的概率为1/2,那么数学上“概率”的定义究竟是什么?其实距离和概率都是数学里的抽象概念,涉及到其中的抽象思想。
二、数学中的抽象思想
为了给出“距离”和“概率”的定义,我们看一个更简单的问题:“水果”的定义是什么?假使我们还不知道水果的定义是什么,那么一定知道苹果、梨和西瓜等都是水果,或者说都属于水果(见图1)。

图1 水果
苹果、梨和西瓜的共同的、本质的特征是什么呢?很简单,首先它们都是植物的果实,其次都富含水分,再次都比较甜。依据具体水果的共同特征(或者性质),我们就可以给水果做出如下的定义:如果一个东西满足下面三个条件,就被称为水果,(1) 是植物的果实;(2) 富含水分;(3) 比较甜。在数学上,这就可以称为水果的严格定义。
可能有同学会问“东西”的定义又是什么?在这里,我们额外介绍的一个数学思想:对任何一个概念下定义,必须借助于比它更为基本的概念,因此总会有一些不加定义而直接引入的最基本的概念,这些最基本的概念只能通过举例或者打比方等进行描述。“东西”是比水果更为抽象和更为基本的概念,“东西”这个概念,是否有严格定义,是否是最基本的概念,本文不再进行探讨。
知道了水果的定义,再看概率,网上给出的概率的解释如下:概率,又称或然率、机会率或机率、可能性,是概率论的基本概念,是一个在0到1之间的实数,是对随机事件发生的可能性的度量。其实这只是“概率”的通俗的介绍,并非严格的数学上的定义。类似于水果的例子,我们应该从一些熟知的和具体的概率中抽象出它们的共同性质作为概率的定义。首先概率应该大于等于0,因为负的概率没有意义;其次肯定发生的事情的概率应该为1;再次,掷一个*子骰**“出现1或者2”的概率应该是“出现1”的概率与“出现2”的概率相加。所以数学上概率的严格定义如下:
设E是随机实验,S是它的样本空间。对于E的每一事件A赋予一个实数P(A),P(A)称为事件A的概率,如果P满足下列条件:(1) 非负性,对于每一个事件A,都有P(A) ≥0;(2) 规范性,对于必然事件S,有P(S) = 1;(3) 可列可加性,设A1、A2……是两两互不相容的事件,则有P(A1∪A2∪……) = P(A1) +P(A2)+……
定义中随机实验最简单的例子就是抛硬币;样本空间就是所有可能出现的情况,比如抛硬币会出现正面或反面两种情况;互不相容就是不会同时发生;A1∪A2表示的是“A1发生或者A2发生”。这个定义是苏联数学家柯尔莫哥洛夫(见图2)在1933年给出的,柯尔莫哥洛夫提出了概率论的公理化结构,使概率论有了迅速的发展。

图2 柯尔莫哥洛夫(1903.4.25-1987.10.20)
关于距离,我们将在下一部分的距离空间中详细介绍。
三、常见的抽象概念及定义
这一部分是本文的重点,主要介绍近代数学中一些常见的抽象概念以及相关例子。
1、测度
直线上点集的测度是线段长度概念的推广,设E为直线R上的集合(可能是简单的线段,也可能很复杂),用 mE 表示E的测度。对于普通区间 (a , b),测度就是这个区间的长度b – a。对于一些复杂的集合,用长度这个概念就不合适了,比如我们可以问这样一个问题:把所有有理数都紧挨着放到一起,长度是多少?有了测度这个概念,这个问题就可以直接表达为:所有有理数的测度是多少?答案是0,至于原因,感兴趣的同学可以在网上搜索。那么测度的定义是什么呢?显然,只要把长度的性质拿出来就可以了,测度的定义如下:设E是直线上的点集,如果mE满足下面的条件则称为测度:(1) 非负性,mE ≥ 0;(2) 若E1 ∩ E2 = Φ,则m(E1∪E2) = mE1 + mE2;(3) m[0,1] = 1。第一条很好理解,长度都是大于等于零的,负的长度没有意义;第二条,通俗的说就是两个线段如果没有重合的地方,那么它们放到一起的测度就是它们分别的测度的和;第三条很简单,就是要求[0,1]这个区间的测度为1,因为这个区间的长度就是1。与概率的定义对比,大家可以发现两者非常相似,其实概率就是事件发生的可能性的测度。有一个很有意思的问题:从实数中随机的拿出一个数,这个数是有理数的概率是多少?这个概率和有理数的测度一样,是0。
2、对等关系
我们都知道“相等”是一种最简单的数学关系,比如0.5+0.5=1。那么相等有哪些性质呢,首先a = a,就是一个数和它自身相等;其次,如果a = b,那么就有b = a;再次,如果有a = b且b = c,那么就有a = c。把这三条性质拿出来就是数学上“对等关系”的定义:具有下面性质的关系称为对等关系(用符号~表示),(1) 自反律,A ~ A;(2) 对称性,若A ~ B,则B ~ A;(3) 传递性,若A ~ B,且B ~ C,则A ~ C。
除了相等,还有很多关系也都是对等关系,比如三角形的相似、直线的平行、定理的等价、矩阵的相似等(见图3)。大于、大于等于、小于、小于等于等都不是对等关系。

图3 对等关系
3、群、环、域
群、环、域是三种典型的代数系统(代数系统也是一个抽象概念,就是带有运算的集合)。群这个概念同学们见到的最多,尤其实在固体物理中,都用群来描述晶体的对称性。先看群的概念,简单的说,群表示一个拥有满足封闭性、满足结合律、有单位元、有逆元的二元运算的代数系统。群的定义如下:
设G是一个非空集合,在G中定义了一个二元运算*,即对G中任意的a和b,有G中唯一元素a*b与之对应,且满足如下规律:
(1) 封闭性,对任意a,b∈G,总有a*b∈G;
(2) 结合律,对任意a,b,c∈G,总有a*(b*c)=(a*b)*c;
(3) 恒元,存在e∈G,对任意a∈G,总有e*a=a;
(4) 逆元,对任意a∈G,存在b∈G,总有b*a=e;
定义中恒元e是固定的,与a无关,逆元不是固定的,与a相关。群的定义中的运算*一般称为乘法,但是这个运算既可能是我们熟知的加法(1+1=2),也可能是我们熟知的乘法(3×7=21)。如果一个群中的运算还满足交换律的话(即有a*b = b*a)就可以称为Abel群。
下面我们看群的具体例子,见图4,

图4 群
第一个是(整数;加法),即整数结合上我们熟知的加法,对照定义进行检查:一个整数加上一个整数肯定还得到整数,所以第一条能够得到满足;整数的加法运算肯定符合结合律,所以第二条也得到满足;恒元是0,一个整数逆元是是它的相反数,第三条和第四条都得到满足。所以(整数;加法)是一个群,类似地(有理数;加法)和(实数;加法)都是群。
最有意思的例子是四个操练动作(立正、向右转、向左转和向后转)也可以构成群,两个动作的运算就是依次执行这两个动作。立正就是恒元,向右转和向左转互为逆元,向后转的逆元是自身。向左转*向后转=向右转,向右转*向后转=向左转,向后转*向后转=立正,满足封闭性。
环的定义如下:设R是一个集合,在R上定义了两个二元运算,分别记为加法(+)和乘法(•)且满足:(1)(R;+)是Abel群;(2)(R;•)是半群,即满足封闭性和结合律,不要求有恒元和逆元;(3)分配律:a•(b+c) = a•b+a•c,(a+b)•c= a•c+b•c,∀ a, b, c∈R。环一般记为(R;+,•),相对于群,环更为复杂,增加了一种运算。(整数;+,×),即整数配合上我们熟知的加法和乘法运算,就是一个环。环这个概念我们不做过多介绍。
域的定义如下:设F是有两个二元运算(+)和(•)的集合,且满足:(1)(F;+)是Abel群;(2)(F*;•)是Able群,F*指F的非零元全体;(3)分配率。域这个概念见到的比较多,比如有理数域、实数域和复数域。整数是不能构成域的,因为对于乘法没有逆元,比如2的逆元应该1/2,但1/2不是整数。有理数、实数和复数能构成域,拿有理数来说,一个有理数关于加法的逆元就是相反数,关于乘法的逆元就是倒数,都是有理数。
4、线性空间
在数学中,通常把赋予某些数学结构的集合称为空间(和代数系统非常接近)。简单说定义了线性运算的集合就是线性空间,严格定义如下:
设X为一非空集合,K为数域(实数域或复数域),通过规定映射
S:X×X→X,其内容为 S (x,y) =x +y,x,y∈X
M:K×X→X,其内容为 M (λ, x) = λx, λ∈K,x∈X
定义X中两元素之间的加法运算以及数与X中元素之间的乘法运算(称为数量乘法,或简称为数乘),如果这两种运算遵守以下条件,就称X为数域K上的线性空间。加法运算满足:
(1) x +y =y +x, ∀x,y∈X;
(2) (x+y)+z =x+(y+z), ∀x,y,z∈X;
(3) ヨθ∈X,使得θ + x=x,∀x∈X,θ为零元素;
(4) ∀x∈X,ヨx’∈X,使得x+x’= θ,x’称为x的逆元素并记作x’= -x
乘法运算满足:
(1) λ(μx) = ( λμ)x, ∀ λ, μ∈K, ∀x∈X
(2) λ(x+y)= λx+λy, ∀ λ∈K, ∀x,y∈X
(3) (λ+μ) x = λx+μx, ∀ λ, μ∈K, ∀x∈X
(4) 1 × x=x, ∀x∈X, 1∈K
定义中X×X是X与自身的笛卡尔积,笛卡尔(见图5)积的定义如下:设A、B为任意两个集合,对于 x∈A,y∈B,以(x,y)表示有序元素时,则所有有序元素对组成之集合称之为A与B的笛卡尔积。定义中使用X×X表示S是一个二元函数,其实就是有两个矢量相加。

图5 笛卡尔(法国哲学家、数学家和科学家,1596.3.31-1650.2.11)
定义中的符号∀表示“任意”,符号ヨ表示“存在”。有人说数学中是没有减法的,这有一定道理,其实在线性空间里减法是一个矢量与另一个矢量的逆元相加。可以看出线性空间的定义与群、环、域的定义非常相似,都是带有运算的集合。但是线性空间中的乘法运算并不是集合中两个矢量之间的乘法,而是一个实数或者复数与集合中的矢量的乘法。
下面介绍线性空间的具体例子,见图6,

图6 线性空间
第一个是矢量空间,比如三维矢量空间R3。设x=(x 1,x 2,x 3),y=(y 1,y 2,y 3),最常用的加法和数量乘法的定义如下:
x +y=(x 1+y 1,x 2+y 2,x 3+y 3)
λx=( λx 1,λx 2,λx 3)
在加法定义式的左端是两个矢量相加,是被定义的加法;加法定义式的右端的加法是我们熟知的具体的数之间的加发。数量乘法的定义式也是这样。
连续函数也可以构成线性空间,设 x(t) 和y(t) 是连续函数,最常用的加法和数量乘法的定义如下:
(x+y)(t)=x(t)+y(t)
(λx)(t)= λx(t)
加法定义的含义是,两个函数相加在t处的取值等于两个函数分别在t处取值然后再相加,第一个相加是函数的相加(是我们要定义的),而第二个相加是具体的实数或者复数的相加(是我们熟知的1+1=2的相加)。乘法的定义也是这样。
与矢量和函数类似,数列之间也可以定义加法和数量乘法运算成为线性空间。两个数列相加一般定义为对应项相加,数量乘法一般定义为数列每一项都乘以这个数。
5、距离、距离空间
本文第一部分已经提出距离的严格定义是什么的问题。距离指(两物体)在空间或时间上相隔或间隔的长度,但这并不是数学上距离的严格定义。下面给出的是距离空间(也叫度量空间)的定义,里面的核心就是距离:
度量空间(X, d)是指在其中定义了距离距离(或度量)d 这种结构的集合X,d是定义在X×X上且对所有x,y, z∈X,满足以下公理的函数:
(1) 非负性, d(x,y) ≥ 0;
(2) 当且仅当 x=y 时,d(x,y) = 0;
(3) 对称性, d(x,y) =d(y,x);
(4) 三角不等式, d(x,y) ≤d(x,z) +d(y,z)。
这四条要求常被称为距离公理(或度量公理)。
定义中“ d是定义在X×X”通俗的说就是d有两个自变量,因为距离是两个点之间的。距离公理一共有4条要求,只要符合要求就可以称为距离。首先要阐明的一点是同一对象可以定义不同的距离,比如平面上两个点x(x 1,x 2) 和y(y 1,y 2) 之间的距离可以定义为坐标差的平方和再开方,即
d(x,y)= SQRT[(x 1-y 1)2+(x 2-y 2)2]
SQRT表示开方,这是我们最常用的直线距离。还可以定义为坐标差的绝对值的和,即
d(x,y)= |x 1-y 1|+|x 2-y 2|
这是折线距离(见图7),对折线距离感兴趣的同学可以利用折线距离画一个圆,比如到(0, 0)点的折线距离都等于1的点构成的曲线,看看结果是什么。

图7 直线距离(斜边)与折线距离(两条直角边的和)
除了点,只要符合距离公理,函数之间也可以定义距离。比如 x(t)和y(t)是两个连续函数,距离一般定义为两个函数的差的绝对值的最大值,即:d(x,y) = max |x(t) -y(t) | 。
6、范数、赋范空间、巴拿赫空间
范数是绝对值、复数的模、矢量的模等概念的抽象,见图8,只要把具体的对象的性质拿出来就是范数的定义。

图8 范数
赋范空间是具有范数这一结构的集合,严格定义如下:设X是数域K上的线性空间,在X上定义映射 || . ||:X→R,使每一个x∈X对应一个实数 ||x|| ,对任意的x,y∈X和α∈K,满足以下条件:
(1) 非负性,|| x|| ≥ 0;
(2) 当且仅当 x= θ时,||x|| = 0;
(3) 齐次性,||α x|| = |α| ||x||;
(4) 三角不等式,|| x+y|| ≤ ||x||+||y||;
则称 || x|| 为x的范数,称( X,|| . || )为赋范线性空间,简称赋范空间,也简记作X。很明显范数的四条要求都是绝对值等概念的共同性质。
范数与距离一样,对于同一个对象可以有不同的定义,只要满足范数的四条要求即可。比如三维空间的矢量x(x 1,x 2,x 3),范数可以定义为
|| x|| = SQRT(x 1 2+x 2 2+x 3 2)
也可以定义为
|| x|| = |x 1| + |x 2| + |x 3|
连续函数也可以定义的范数,设x(t)是连续函数,最常用的范数定义为:
|| x|| = max |x(t) |
也就是函数的绝对值的最大值。函数范数的定义也不是唯一的,同样的函数可以有不同的定义。
可以利用“范数”在中定义距离 d(x,y) = ||x-y||,即两个矢量的距离是它们差的范数,称为由范数诱导的距离。可以看出前面给出的矢量之间的两种距离可以分别由刚给出的两种矢量范数导出。
巴拿赫空间:一个赋范空间,如果是完备的,就称为巴拿赫空间。关于“完备”的定义,先看一个简单的例子,下面是一个有理数列:

它的每一项都是有理数(有理数可以写成两个整数的比),可是这个有理数列的极限却不是有理数,而是无理数e。这样我们说有理数是不完备的,而实数是完备的。“完备”的严格定义是:如果度量空间 X 中的每个柯西序列均收敛于 X 中的点,则称 X 为完备的度量空间。柯西序列的定义如下:设( X, d)为度量空间, (x n) 是 X 中的序列,如果对于任意的 ε > 0, 存在 N = N(ε) > 0 , 当m,n> N 时,有d(x m,x n) < ε,则称(x n)为度量空间 ( X,d) 中的基本柯西序列。基本柯西序列说的是只要序列中的项足够靠后,那么任意两项之间的距离就可以任意小,比如我们刚给出的序列就是一个柯西序列。柯西序列满足一定的条件就能找到它的极限,这个条件就是完备。
7、内积、内积空间、希尔伯特空间
内积是我们熟知的矢量点乘概念的推广。比如中学学习过的“功”等于物体受到的力乘以物体在力的方向上的位移,即
W = FS cosα
F是力的大小,S是位移的大小,α是力和位移之间的夹角。如果矢量F =( F1, F2, F3),S =( S1, S2, S3), 这个公式还可以写成对应坐标相乘再求和的形式:
W = F1S1+ F2S2+ F3S3
或者写成点乘的形式:W = F·S,这就是一种具体的内积。
内积空间的严格定义如下:设X是数域 K 上的线性空间,如果映射< · , · > :X × X → K 对任意的x,y,z∈ X 及 α ∈ K 满足
(1) < x+y,z> = <x,z> + <y,z>
(2) < α x,y> = α <x,y>
(3) < x,y> = <y,x>
(4) < x,x> ≥ 0, 当且仅当x= θ 时,<x,x> = 0
则称< x,y> 为x,y的内积。定义了内积的线性空间X称为内积空间。有了内积的概念,还能定义垂直(也叫正交)的概念,如果两个矢量x与y的内积 <x,y> = 0,就说x与y相互垂直。比如图9给出的两个矢量x(1, 1)和y(-1, 1),内积为
< x,y> = 1×(-1) + 1×1 = 0
所以矢量x和矢量y相互垂直。

图9 矢量的垂直
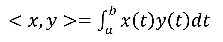
函数之间也可以定义内积,比如x(t)和y(t)是两个函数,内积通常定义为两个函数相乘(也可以再乘以一个权函数,是带权形式的内积),然后积分:

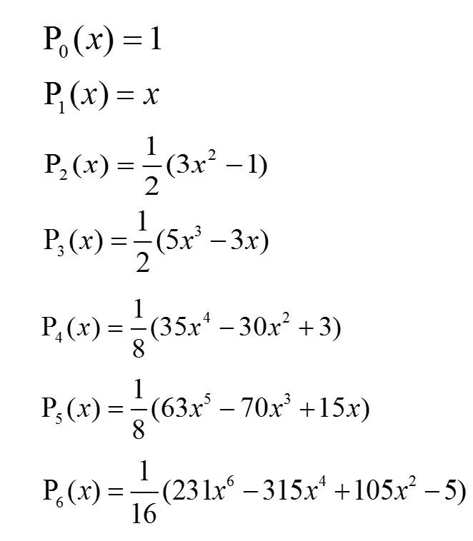
如果两个函数的内积为零,就说这两个函数彼此正交。正交多项式(多项式也是函数)是我们经常遇到的概念,其实就是彼此垂直的一系列多项式。图10给出的是勒让德多项式,就是一种正交多项式。勒让德多项式有无穷多个(图中给出的是前7个),所有的勒让德多项式都是两两正交的。图11给出的是勒让德多项式图形(前7个)。

图10 勒让德多项式

图11 勒让德多项式的图形
希尔伯特空间:若内积空间X是完备的,就称X为完备的内积空间或希尔伯特空间。由于是完备的,在希尔伯特空间中可以放心地讨论序列的收敛问题,不会出现类似于有理数的问题(数列本身是有理数,但极限却不是有理数)。
由内积可以导出范数 || x|| = SQRT(<x,x>),进一步还能导出距离d(x,y)= ||x-y||= SQRT(<x-y,x-y>),所以内积空间中不仅有内积,还有线性运算、范数、和距离等,所以应用范围很广,尤其是量子力学之中。
8、线性算子和线性泛函
算子是我们经常遇到的概念,比如量子力学中的算符就是算子,其实很简单,算子就是一种映射。线性算子的严格定义如下:设X和Y为同一数域K上的两个线性空间,X与Y之间的映射也称作算子,如果算子T:X→Y,满足如下两个条件则称T为线性算子,
(1) T的定义域D(T)是X的线性子空间,T的值域R(T)在Y中。
(2) 对于任意x,y∈D(T),任意α∈K,有T(x+y) = Tx+Ty, T(αx) =αT(x)
第一条要求T的定义域是线性子空间,就是要求对加法和数量乘法运算封闭,即定义域中两个矢量相加的结果还在定义域中,定义域中的一个矢量的数乘还在定义域中。第二条要求大家都清楚,可以等价的表达为 T(α x+βy) =αTx+βTy。
恒等算子、零算子、微分算子、积分算子、矩阵等都是线性算子。恒等算子就是把任何矢量或者函数都映射成自身。零算子是把任何矢量或者函数都映射成零元素。微分算子是把一个函数映射成它的导数。积分算子是把一个函数映射成它的不定积分。一个m×n阶实矩阵可以利用矩阵与矢量相乘把n维矢量空间的一个矢量映射到m维矢量空间。
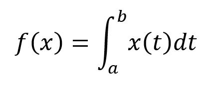
泛函是一个重要概念,有人说泛函是函数的函数,这并不十分准确。线性泛函的定义如下: 设X为线性空间,f为 D (f) ⊂X到数域K的线性算子,则称f为线性泛函,D (f) 为f的定义域,而
R ( f) = {f(x)∣x∈D (f) }
为 f的值域。简单说:值域为数域的算子称为泛函。
从定义可以看出,泛函的核心是把一个矢量或者函数映射成一个具体的实数或者复数。泛函的最简单的例子是定积分,定积分可以把一个函数映射成一个实数。

在上面定积分表达式的左边,f表示泛函,x(是t 的函数)是泛函的自变量,对x(t)积分就得到泛函的取值,可以看出这个泛函确实是函数的函数。
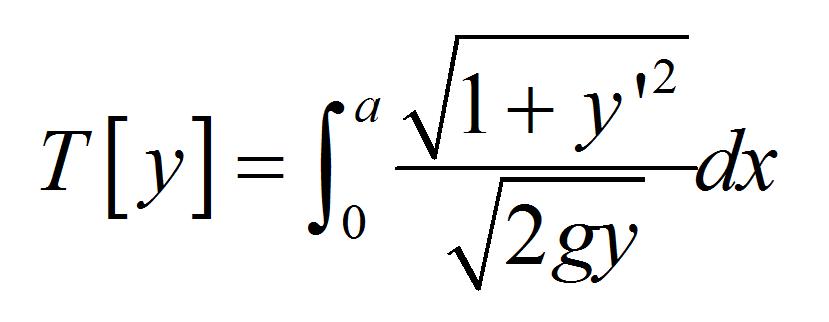
下面举一个关于泛函的很有名的例子——最速降线问题。在铅直平面中的不同高度上给定两个点A和B,A高于B,见图12。设一质点在初速度为0且仅受重力作用的情况下,沿光滑曲线由点A无摩擦地滑行到点B,求解光滑曲线形状,使得滑行时间最短。

图12 最速降线问题(A点和坐标原点O重合)
设轨道的形状用函数 y = y(x) 表示,则质点从A沿 y(x) 滑行到B所需的总时间为

详细推导过程请大家参考变分法的相关书籍或者在网上搜素,本文不过多介绍。可以看出时间T是函数y(x)的函数,不同的y(x)对应不同的时间T,这和定积分一样是把一个函数映射成一个实数,所以是一个泛函。采用变分法(泛函求极值的方法)就可以求出这个问题的解(就是时间最短的轨道形状y(x))如下:

曲线是用参数方程的形式给出来的,θ是参数,是一个旋轮线,就是一个在地上滚动的轮子上的一点描绘出的曲线。可以看出时间最短的轨道形状y(x)并不是直线,虽然直线的长度最短,路程最短,但时间却不是最短。采用曲线轨道时,质点一开始的加速度大,能够在一开始就取得较大的速度,这样整个过程中的平均速度就会高于直线的情况,从而缩短总时间。