
高中数学:暑假必备公式与知识点,速来查收!
查看更多初中、高中知识,关注我哦,每天都更新!
1 函数的单调性

2 函数的奇偶性

3 函数在某处的导数的几何意义

4 几种常见函数的导数

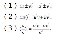
5 导数的运算法则

6 求函数的极值

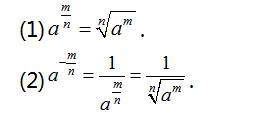
7 分数指数幂

8 根式的性质

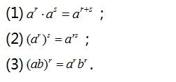
9 有理数指数幂的运算性质

10 对数公式

11 常见的函数图像

12 同角三角函数的基本关系式

13 正弦、余弦的诱导公式

14 和角与差角公式

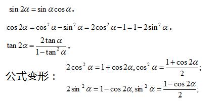
15 二倍角公式

16 三角函数的周期

17 正弦定理

18 余弦定理

19 面积定理

20 三角形内角和定理

21 a与b的数量积

22 平面向量的坐标运算

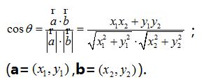
23 两向量的夹角公式

24 平面两点间距离公式

25 向量的平行与垂直

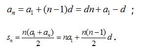
26 数列通项公式与前n项和的关系

27 等差数列通项公事与前n项和公式

28 等差数列的性质

数学大师