家用漏电保护器是怎样工作的?

漏电断路器
漏电断路器大家都知道,配电线路中非常常见的低压电气之一,本文所讲针对终端配电线路或者说小型漏电断路器,漏电断路器的作用可想而知,被动型保护人身安全。目前市场上漏电断路器的电子原理按照是否采用专用漏电集成芯片分为集成板和分立板,也就是说集成板是用专用集成漏电芯片的方案,而分立板就是单单用电子元器件来搭建电路,达到漏电保护功能。小型漏电断路器中常用的漏电芯片是54123,国内的品牌最开始都是仿制日本三菱公司的M54123L,也就是说内部原理图是一模一样,因此虽然国内品牌命名方式各不相同,但是都少不了关键字54123。

54123引脚分布

54123内部框图

54123典型应用原理图(半波),与下文讲述全桥整流略有不同,但是54123应用是相同的。
54123的8个引脚各个含义:1是输入参考,2是输入,3是第,4是运放输出,5是锁存器,6是干扰吸收,7是可控硅触发,8是电源;当漏电断路器所处配电线路不存在漏电流时,流过磁环(零序电流互感器)的电流矢量和为零,磁环副边没有输出感应电压,即漏电芯片54123的1脚和2脚不存在电压差,最终结果是7脚保持低电平状态,漏电断路器保持合闸状态;当人体接触火线产生对地触电时,就有漏电流直接从火线流向大地,此时回流过磁环的火线和零线电流矢量和不再为零,磁环副边有感应电压,此时54123的1脚和2脚之间存在电压差,显然此电压差是正比于漏电流大小的,当1脚和2脚电压差达到54123的预定值(标称6.1mV)时,最终结果就是7脚输出高电平,漏电断路器分闸,起到切断配电线路保护人身安全。(具体过程见下文)
1.54123工作电压
54123的工作电压范围在12V~28V,芯片内部的电压调整模块就是将外部供给的直流电压稳定在12V,使得其他模块能获得稳定的工作电压。以家用漏电断路器为例,220V正负20%为正常工作电源电压,也就是176V至264V之间(这个电压范围也是考虑到过欠压保护器的工作电压阈值,175V以下已经是欠压状态了,264V以上就是过压状态了)。漏电线路板从负载端取电,经过整流滤波和降压电阻后给54123的电源脚供电,在176V~264V宽电压范围内,要求市电电压在176V时经过整流滤波和降压电阻后电压不低于12V,市电电压在264V时经过整流滤波和降压电阻后电压不高于28V,通常情况下54123的工作电压选定在22V左右。

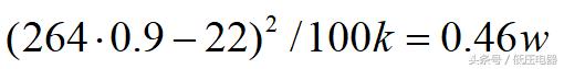
电源脚最大流入电流
另外根据54123的数据手册,我们可以知道电源脚允许流过的最大电流是8mA,实际上基本控制这个电流不超过2mA。我们可以计算降压电阻应该取多大的值,在此基础上判断功率要取多大,也就是对应什么样的封装。以家用漏电断路器2P产品为例,线路板是全桥整流的,市电电压取极限值176V,54123的工作电压是22V,流过电源脚的电流是1mA,那么降压电阻阻值等于:

估算降压电阻值
这里有两个问题需要注意,第一个问题显然是降压电阻的功耗,因为漏电断路器是长期工作在配电线路中,也就是说降压电阻长期承受着将整流后市电降压成54123能够承受的工作电压范围;另外家用及类似用途剩余电流动作断路器国家标准GB16917.1-2014中明确规定了,单相漏电断路器在市电50V时,突加额定剩余动作电流值时必须可靠脱扣,也就是说50V市电时54123依然能正常工作,上述公式是在正常额定值时的估算降压电阻阻值,实际确定该值后就需要结合实际情况适当调整,确保产品满足50V动作特性。按照100K的降压电阻,市电取264V极限值,此时降压电阻的功耗就是:

降压电阻功耗估算
因此降压电阻我们取100K,1W封装,理论上是满足设计需求,当然具体样机产品还需结合国标一项项做试验,其中老化试验(168小时,1.1倍额定工作电压)就能直观反映降压电阻是否能承受允许功耗。另外再讲下电源脚的滤波电容,本身54123功耗很小,降压电阻阻值比较大,对滤波电容的要求就低了,只要选取较小的容量满足时间常数的要求。一般滤波电容取值不小于1uF,但不宜过大,否则RC时间常数大,影响54123的电源建立时间,这个电容我们取1uF的钽电容。
2.54123漏电信号检测
54123的1脚和2脚就是内部差分放大器的输入端,用于检测是否有漏电产生。零序电流互感器的副边绕组连接54123的1脚和2脚,根据零序电流互感器自身的输出特性匹配合适的调试电阻,设计不同的漏电规格比如30mA,50mA等。当配电线路中产生漏电,零序电流互感器产生感应电压,若达到54123的检测阈值,4脚输出高电平。5脚是54123的锁存器输入端,4脚与5脚直接短接,再经过延时电容接地。这样的设计是避免漏电断路器误动作,只有配电线路持续存在漏电故障,4脚持续高电平把延时电容电荷充满,5脚才变成高电平。因此4脚5脚对地电容的容值选择非常重要,这个电容大小影响54123的检测灵敏度:电容小检测灵敏度高,电容大检测灵敏度低。

4、5脚电容与灵敏度关系
4脚5脚对地电容的大小还直接影响漏电断路器抗干扰性能。这个电容容值大,本身54123的检测灵敏度就低了,另外即使54123已经判断出有漏电信号了,4脚也输出高电平,相对来说因为电容容值大,因此充电时间也长,即延长5脚变高电平的时间,增强抗干扰性能。但是这个电容也要考虑到漏电断路器正常动作时间,一般这个值的选择范围为33nF到68nF,推荐值为47nF。之前有收到客户反馈的某漏电断路器频繁跳闸的问题,发现跳闸的产品线路板上就是这个电容错贴称3.3nF,可想而知产品肯定容易误动作,我们在检测中心做200A电流冲击时产品都脱扣,本身这个试验是很容易过的,后来换成47nF再做200A就100%通过。
5脚是54123的锁存输入端,7脚是触发脚,当5脚变高电平那么7脚肯定会拉高,触发可控硅导通,产品发挥漏电保护功能。锁存顾名思义就是此时即使漏电信号没了,5脚仍然是保持高电平,不像4脚的电平状态是跟随零序电流互感器的输出或者说是1脚和2脚的信号输入。54123漏电芯片这里的设计是很巧妙的,既避免产品误动作又保证产品正常的漏电保护功能。
要想5脚重新恢复低电平状态,54123只能断电重新上电或者说大幅度降低电源脚电压,这也是为什么普通漏电线路板是从空开负载端取电,就是说产品脱扣之后负载端是没电的,54123的5脚就恢复初始状态了,此时产品才能重新合闸。当然这是其中之一的原因,另外一个原因就是假如线路板从空开电源端取电,当可控硅导通之后脱扣器线圈一直流过5A电流,马上就烧糊了,产品本身就坏了,实际上也不存在刚刚讲的第一点原因,只是我们要知道这个原理,因为这点跟漏电反接线就有关系了。