1.电路理论的发展
2.电路的分类及其模型
3.电路基本物理量
4.基尔霍夫定律
5.电阻原件
6.电源原件
7.受控源
8.等效变换
1.1 理论发现
- 1600 年,英国物理学家 吉尔伯特 (W.Gilbert,1540— 1603)在他的书中第一次 讨论了电与磁,因而被世人称为电学之父。
- 1660 年,德国科学家 库里克(O.V.Guericke)制成了第一台产生静电 的装置。
- 1785 年,法国人 库仑(C.A.Coulomb)定量地研究了两个带电体间 的相互作用 ,得出了历史上最早的电学定律—— 库仑定律 。
- 美国科学家 富兰克林 (B. Franklin,1706—1790) 在电的研究方面做了大量实验,并于 1749 年 提出了正电和负电的概念。
- 1800 年,意大利物理学家 伏特 (A.Vlota,1745—1827) 发明了第一种 化学电源——铜锌电池。 他为人们深入研究电化学、电磁学及其应用打下了物质基础。以后很快发现 了电流的化学效应、热效应以及利用电来照明等。
- 1820 年,丹麦物理学家 奥斯特(H.C.Oersted,1777—1851)通过实验 发现了电流的磁效应。
- 1825 年,法国科学家 安培(A.M.Ampere,1755—1836)提出了著名的 安培定律。
- 1827 年,当时德国的一位教师 欧姆 (G.S.Ohm,1787—1854)通过多年 的实验,发现了电阻上电压与电流的定量关系,发表了《电路的数学研究》, 提出了今天普遍应用的 欧姆定律。
- 1847 年,德国科学家 基尔霍夫提出了著名的电流定律和电压定律,这成为电 路分析最基本的依据。
- 1864 年,苏格兰科学家 麦克斯韦(J.C.Maxwell,1831—1879)提出一 组关于电和磁共同遵守的数学方程,即麦克斯韦方程。
- 1889 年,德国物理学家 赫兹 (H.R.Hertz,1857—1894)经过艰苦的反 复实验, 证明麦克斯韦所预言的电磁波确实存在。
1.2 重要发明
- 1837 年, 画家出身的美国人 莫尔斯(S.F.Morse,1791—1872)发明了电报。
- 1866 年,德国工程师 西门子(K.W.Siemens,1823—1883)发现了电动 原理并用在了发电机的改进上。1882 年,直流高压输电试验成功。同年在发明变压器的基础上又实现了远距离交流高压输电。从此,电 气化时*开代**始了。
- 1876 年,另一项伟大发明在波士顿诞生了,这就是美国科学家 贝尔 (A.G.Bell,1847—1922)发明了电话。
- 1879 年,美国的 爱迪生(T.A.Edison,1847—1931)发明了钨丝电灯。
- 英国科学家 汤姆逊 (J.Thomson,1856—1940)在 1895—1897 年间反复测试, 证明了电子确实 存在 。随后,英国科学家 弗莱明(J.A.Fleming)在爱迪生发明的热二极管 的基础上发明了实用的真空二极管。它具有单向导电特性,能用来整流或检波。
- 1907 年,美国人 福斯特(L.D.Forest)发明了真空三极管 ,它对 微弱 电信号有放大作用。 1914 年, 福斯特又用真空三极管构成了振荡电路 ,使 无线电通信系统更加先进。
- 1925 年,英国的 贝尔德(J.L.Baird)首先发明了电视 。几乎在同时, 美国无线电公司(R. C.A)的工程师 诺基(V.K.Zworykin)发明了电视显像 管。1933 年,他利用真空二极管、真空三极管和显像管,最早发明了电视 机。1936 年,黑白电视机就正式问世了。
- 1946 年,世界又一个奇迹出现了。 第一台电子计算机在美国宾夕法尼 亚大学莫尔电子工程学院研制成功。这台称为 ENIAC (Electronic Numerical Integrator And Calculator) 的计算机是以美国数学家诺依曼 (J.V.Neumann)为主设计的。
- 1947 年 12 月 24 日, 贝尔实验室的 布拉丁(Walter Brattain)、巴丁(John Bardeen)和肖克利 (William Shockley)发明了一种点接触晶体管。 这是一种全新的半导体器 件,它体积小,电性能稳定,功耗低。这项发明自从 1948 年公布于世起, 很快就应用于通信、电视、计算机等领域,促进了电气和电子工程技术的飞 速发展。
- 1958 年,利用单晶硅材料, 世界上第一片集成电路(Integrated Circuit, IC)在美国得克萨斯州诞生了。它的发明者是基尔比 (J.Kilby,1923—)。 1961 年,福查德公司生产出了第一片商用 IC。
关于电的理论和电子技术的发展,单就经典阶段和现代阶段而言,前后 大体经历了 200 年。特别是最近的 100 年,其理论成果和发明创造几乎成 指数式增长。 电子科学的应用已经遍及计算机、通信、生物、海洋、航天和 商业等各个领域。
2.1 电路的分类
所谓电路(circuit), 是由电的器件相互连接而构成的电流的通路。复杂的电路又常称为网络。 当然,网络的含义比较广泛,如交通网络、计算机网络、神经网络等。本节所称的网络均指电网络。电路的分类如下。
1. 集总参数电路与分布参数电路
如果 实际电路的几何尺寸远小于其工作信号的波长时 ,可以认为 电流传送到电路的各处是同时到达的 ,即没有时间延迟, 这时整个电路可以看成电磁空间的一个点。 这种条件下的电路称为集总参数电路(lumped circuit), 否则就称为分布参数电路(distributed circuit)。
以常见的低频放大电路来说,假定它所传输的信号的最高频率为 f =30 kHz,传播速度为光速 c =3×10 8 m/s,则信号的最小波长 λ 为

在微波( λ <1m)电路中 , 如电视天线、雷达天线和通信卫星天线 等,它们的工作波长一般与电路的尺寸可以比拟,这些电路上的电压或电流 不但是时间的函数,而且还是位置的函数。 这类电路就是分布参数电路。
2. 线性电路与非线性电路
若描述 电路特征的所有方程都是线性代数方程或线性微积分方程 ,则这 类电路就是 线性电路 ,否则就是非线性电路。
3. 时不变电路与时变电路
时不变电路(time⁃invariant circuit)又称非时变电路 。它是指组成 电路或系统的元件参数值不随时间变化, 因而描述这类电路的方程是常系数 的代数方程或常系数的微积分方程。 相应地,由变系数的代数方程或微积分 方程描述的电路,则称为时变电路(time⁃varying circuit)。实际中, 时变电路非常普遍,但时不变电路是最基本的电路模型,是研究时变电路的基础。
2.2 电路模型
通常所说的电路分析,就是对由理想元件组成的电路模型进行分析。虽然分析结果仅是实际电路的近似值,但它是判断实际系统电性能和指导电路设计的重要依据。
图 1-1(a)是手电筒及其模型图,图(b)是马可尼的无线电发送装置 原理图及其电路模型。

电路模型图中, 每一个元件称为一条支路( branch), 两条及两条以上 支路的连接点称为节点(node)[1] 。如图 1-2 所示电路中, 共有 5 条支 路 ,有 A、B、C、D 4 个节点。电路图中,由 若干条支路组成的闭合路径称为回路 (loop)。例如,在图 1-2 中, 共有 3 个回路, 它们是元件 R 1 、R 2 和电源 U 组成的回路 , R 2 、L 和 C 组成的回路,以及 R 1 、L、C 和电 源 U 组成的回路 。在以上三个回路中 ,前两个回路又称为网孔(mesh) 。而 R 1 、L、C、U 所构成的回路不是网孔,因为其中还有支路 R 2 。

2.3 电路分析课程的任务
电路分析的任务是 对给定的电路模型和输入信号研究电路某处的输出信号 。 输入信号也称为激 励(excitation),输出信号也称为响应(response)。
「电路分析」课程是以 集总参数线性时不变的电阻电路和动态电路为主要对象,而建立的基本理论、基本概念和基本分析方法 。 所应用的输入信号主要是 直流、正弦交流、指数信号、阶跃信号和冲激信号 , 进而研究电路在 这些输入信号作用下电路响应(电流或电压)的变化规律。
在进行电路分析时,读者首先要明确电路的性质和条件,弄清电路中哪些是已知的,哪些是待求的; 其次在多个解决方法中选择一个合适的方法, 以便更简捷更有效。
3.电路的基本物理量
3.1电流与电压
- 电荷与电流
在电路理论中, 电流 i( t )、电压 u( t )、电荷 q( t )和磁通 Φ( t ) 是四个基本的物理变量。以此为基础,又经常用 功率 p( t )和 能量 W( t )来反映电路的功能传递情况。
带电粒子的规则移动形成电流 。 电流的大小或强弱,取决于导体中电荷量的变化 。通常,把单位时间内通过导体横截面的电荷量定义为电流 i( t ),即

式中,若 电荷量的单位为库[仑](C) , 时间的单位为秒(s ),则电流的单位 为安[培](A)。习惯上把 正电荷运动的方向规定为电流的方向。
相应地,若已知电流 i( t ),则在 t 时刻,通过导体的总电荷为

若电流的数值和方向均不随时间变化,则称为恒定电流或直流 ;若 电流的数值和方向随时间变化,则称为时变电流 。上式中积分变量写为 x 是为了区 别积分上限 t 。
在复杂电路中,某一支路的电流真实方向有时难以确定。为了方便,引 入电流参考方向的概念。即在分析电路之前, 先任意假设各支路电流的方向,这个方向称为参考方向。依据这些假设,若求解的电流为正值,说明实 际方向与参考方向一致;电流为负值,说明实际方向与所标的参考方向相反。 如图 1-3 所示,若 i 1 =1 A,说明标示的参考方向就是 i 1 的实际方向;若 i 2 =-2 A,说明 i 2 的实际方向与所标的参考方向相反。 若电路中不标出参考方向,则电流的正、负毫无意义。 今后如无说明,一律使用参考方向。

- 电压与磁通
电路中两点间的 电压又称为该两点的电位差。 从能量的观点来说,将单 位正电荷从 a 点移动到 b 点其能量的得失量定义为这两点间的电压 u( t ),即

式中,若 能量的单位为焦[耳](J),电荷量的单位为库[仑](C) ,则 电压的单位为伏[特](V)。
另一方面,若导体上穿过的磁通为 Φ( t ),根据电磁感应定律,则 导体两端的电压为

相应地,有

引入电压参考方向的概念。即在电路中任意假设两点间电压的正、负极性,如图 1-4 所示,若求解结果 u 1 为正,说明该电压的实际方向(或实际极性)与图中标示的相同。因此,有了电压参考方向及电压的正、负值,就可以确定任意时刻两点间电压的真实极性了。

如上所述,电流和电压的参考方向可以任意假定,而且二者是互相独立的。 若选取电流的方向从电压的正端经过元件本身流向负端,则称电压与电流方向一致,或称关联参考方向 。在图 1-5 中,元件 1 的电压 u 1 与电流 i 1 方向一致,为关联参考方向;而元件 2 的电压 u 2 与电流 i 2 方向不一致,称为 非关联参考方向 。以后如无说明,均采用关联参考方向。

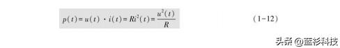
3.2 功率与能量
功率(power)是 量度电路中能量转换速率的一个物理量。 电路在单位间内所消耗的能量定义为瞬时功率,即

在图 1-6(a)中,电路 N 的 u 和 i 方向一致,由于

故瞬时功率为

利用式(1-5)或式(1-6)计算功率时, 若 p >0,表明电路 N 此时消耗功率;若 p <0,表明 N 此时产生功率。功率也是一个代数量。
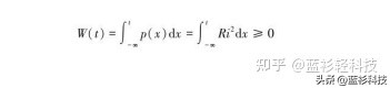
若电路 N 的电压 u 和电流 i 已知时 ,在关联参考方向下,N 在任何 时刻 t 所吸收的能量为

若二端网络 N 对所有 t >-∞ 和所有电压 u、 电流 i, 其吸收的能量非负 ,即

则称该二端网络(或元件)为无源的,否则为有源的。 式(1-8)中,假设 u(-∞)=0,i(-∞)=0。
凡瞬时变化的 电压或电流,通常记为 u( t )、i( t ),或简 记为 u、i 。对于直流,通常用大写字母 U、I 表示。 4.基尔霍夫定律
1847 年,德国物理学家 基尔霍夫 (G.R.Kirchhoff)对于 集总参数电路 提出了两条定律:一是 基尔霍夫电流定律 (Kirchhoff′s Current Law, KCL);二是 基尔霍夫电压定律 (Kirchhoff′s Voltage Law,KVL)。
4.1 基尔霍夫电流定律(KCL)
KCL 叙述如下: 在 集总参数电路 中,在任一时刻,流出(或流入)任一节点或封闭面的各 支路电流的代数和为零。 即

电流定律 实质上是电荷守恒原理的体现。 也就是说,到达 任何节点的电荷既不可能增生,也不可能消灭,电流必须连续流动。
在图 1-8(a)中,若 规定流出节点或封闭面的电流为正,流入节点或封闭面的电流为负 ,则对节点 a,有

对于图 1-8(b),即电路 A 和电路 B 之间只有一条支路连接时,由 KCL,必然有 i =0
由上可知, KCL 仅是支路电流的约束关系,它与元件的性质无关,因此 KCL 既适用于线性电路,也适用于非线性电路。
4.2 基尔霍夫电压定律(KVL)
基尔霍夫电压定律是用来描述电路中任一回路各元件电压所必须满足的约束关系的。KVL 可叙述如下:
在集总参数电路中, 在任一时刻,沿任一回路巡行一周,各元件电压的代数和为零。 即

在列 KVL 方程时,具体方法如下:
- (1)首先 规定各支路的电压参考方向。
- (2)标出各 回路的巡行方向。
- (3)凡 支路电压方向与巡行方向相同者取正,反之取负。
例如,在图 1-9 中,对其中的三个回路可列出如下的 KVL 方程:

KVL 方程反映了任一回路中各元件的电压关系,但与各元件的性质无关, 不管是电源,还是电阻、电感和电容,只要电路的结构确定 了,都可以写出各回路的 KVL 方程。 KVL 既适用于线性电路,也适用于非线性电路。
KVL 实质上是 能量守恒原理 的体现。因为在任何回路中, 电压的代数和为零,实际上是 从某一点出发又回到该点时, 电位的升高等于电位的降低。
电路中 某点的电位就是该点到参考点(零电位点)的电压,用字母 U 表示 ,单位为伏[特]。
5.电阻元件
5.1 电阻元件与欧姆定律
电路中最简单、最常用的元件是 二端电阻元件 (resistor),它是实际 二端电阻器件的理想模型。测量发现, 一个实际电阻器件的特性,通常可以 用 u - i 平面上的一条曲线来确定 ,如图 1-11(b)、(c)所示。这种特性曲线称为 电阻元件的伏安特性曲线或外特性曲线。

若一个二端元件在任一时刻其电压与电流的关系可以 唯一 地用 u - i 平面上一条曲线所表征, 即有代数关系 f( u,i )=0, 则此二端元件称为电阻元件。
如果电阻元件的 电压电流关系(Voltage Current Relationship,VCR) 在任何时候都是通过 u - i 平面坐标原点的一条直线,如图 1-11(b)所 示,则该电阻就称为线性时不变电阻,用 R 表示。这类 线性电阻 元件以后 简称为电阻 。若电阻元件的 u - i 关系不是线性的,则此电阻就是非线性的。
对(线性时不变)电阻而言,其 VCR 由欧姆定律(Ohm′s Law)决定 , 即

1 kΩ=10 3 Ω 1 MΩ=10 6 Ω
电阻的倒数称为电导( conductance),用符号 G 表示,即G =1 /R 。 电导的国际制单位为西[门子](S) 。如 G =0.5S。
在任意时刻,电阻上消耗的功率为

式(1-12)表明, 对于线性正电阻( R >0)来说,瞬时功率恒为非负值。所以它在任一时刻吸收的能量也非负, 即

满足上式的电阻元件称为 无源元件 (passive element)。
当电流通过电阻时,电阻会发热,这称为电流的热效应。 这些热能是由电能转化来的。电流的热效应用途很广,利用它可制成电炉、电烙铁等电热器。钨丝电灯就是利用电流的热效应使灯丝达到高温而发光的。但电流热效应也有它不利的一面,通电的导线会由于电流的热效应而温度升高,温度过高会加速绝缘材料的老化变质(如橡胶硬化、绝缘纸烧焦等),从而引起漏 电,严重时甚至会烧毁电气设备。因此各种电气设备为了安全运行,都有一 定的 功率限额、电压限额、电流限额,它们分别称为这些设备的额定功率、 额定电压、额定电流。 在使用时,不能超过这些额定值,否则会损坏设备。 例如,白炽灯、电烙铁等通常只给出其额定电压和额定功率(如 220V, 40W); 固定电阻器除阻值外,只给出额定功率 (如 1W、1/2W、1/4W、1/8W 等)。各种电气设备的额定值通常都标明在产品上。 工程电路中应用着各种不同类型的电阻器,其中有碳膜电阻器、金属膜电阻器、线绕电阻器、集成电阻器等。
5.2 电阻的串联与并联
1. 电阻的串联与分压
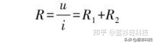
作为 KVL (基尔霍夫电压定律)的基本应用,现考虑电阻串联电路。
将各个电阻元件顺序地如图 1-12(a)所示连接起来, 各电阻连接处再无分支的电路称为串联。 显然,串联的各电阻通过同一电流。在图 1-12 (a)中,应用 KVL,有

u = u 1 + u 2 = R 1 i + R 2 i =( R 1 + R 2 ) i = Ri
式中

这就是说,电阻 R 1 和 R 2 串联时,对于它们外部的电压 u 和电流 i 来说,可以用一个数值上等于 R = R 1 + R 2 的等效电阻来代替。
一般来说,若有 m 个电阻 R 1 、R 2 、…、R m 串联,则它们的等效电阻(或称总电阻)为 R = R 1 + R 2 +…+ R m
对于图 1-12(a)所示电路中的 R 1 和 R 2 来说,它们上的电压是

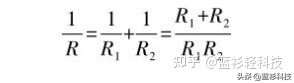
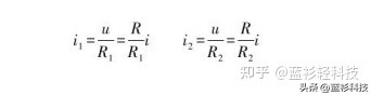
2. 电阻的并联与分流
若有几个电阻都 接到一对节点上 , 因而各电阻都具有同一电压时,称为电阻并联。 图 1-13(a)为两个电阻并联的电路。根据 KCL,应有

上式表明,对于外部的总电流 i 和电压 u 来说,由 R 1 和 R 2 相并联组 成的电路,可以用一个等效电阻 R 来代替,如图 1-13(b)所示。由于

故等效电阻为

如果总电流 i 是已知的,由于 u = Ri,则两并联支路的电流分别为

一般而言,若有 R 1 、R 2 、…、R m 互相并联,则等效电阻 R 可用下 式计算

考虑到 , ,…, ,则等效电导 G = G 1 + G 2 +…+ G m
例 1-1 若电路中既有电阻的串联又有电阻的并联,这样的电路称为混 联电路。如图 1-14(a)所示,设 R 1 =300 Ω,R 2 =300 Ω,R 3 =600 Ω,u =6 V,试求:

解 :
所谓 a、b 两端看进去的输入电阻,是指 a、b 两端的电压 u 与电 流 i 的比值,用 R in 表示,即
R in = u/i
R in 就是等效电阻。首先将 R 2 与 R 3 并联的等效电阻求出,
即 得到图 1-14(b)所示电路后,则
R in = R ab = R 1 + R cb =(300+200)Ω=500 Ω
于是电流为

故 u 1 = R 1 i =300×0.012 V=3.6 V
由分流公式,有

5.3 应用举例
介绍直流电桥与热敏电阻的应用。
测量电阻的简单仪器是惠斯通直流电桥。 它的原理电路如图 1-16(a) 所示。其中,R 1 、R 2 、R 3 和 R 4 构成电桥的四个臂。G 称为检流计。当调节某个桥臂电阻,使检流计 G 指示为零时,必然 U cb =0,这时称电桥平衡。此时满足

U ac = U ad ,U cb = U db
R 1 I 1 = R 4 I 4 , R 2 I 2 = R 3 I 3 又 I G =0, I 1 = I 2 , I 3 = I 4 ,从而可得

若 R 1 是被测电阻 R X ,则有

实际电桥中,比值 R 2 /R 3 一般根据被测电阻的估值选择一定的比例。 R 4 称为比较臂 , 通常选用精度较高的标准电阻作为 R 4 。 调节比较电阻 R 4 ,可使电桥平衡,从而可确定 R X 。用 惠斯通电桥测量电阻的范围为 1 Ω~1 MΩ,精度可达 ±0.1 % 。
根据电桥平衡原理, 工程上常把测量温度、压力等物理量的传感器接入电桥电路。 以测量温度为例,如图 1-16(b)所示,图中 R 2 和 R 4 是热 敏电阻传感器,它们分别固定在受热物件上。热敏电阻不工作时,其阻值为 R,当它们受到外部温度变化时,使阻值变为 R +Δ R 。当电桥失去平衡 后,产生电压变化量 Δ U(桥中臂输出 Δ U 可认为是开路输出口),即

式中, 。根据 Δ U - x 的关系,可以从电阻的变化确定温度的变化量。
6 电源元件
6.1 电压源与电流源
电路中常遇到两类电源:一类电源如 电池、稳压电源 等,当接上负载 后,在一定范围内,其 输出电流随负载的变化而变化,但电源两端的电压保持为规定值 ,这类电源常称为 独立电压源,简称为电压源 (voltage source);另一类电源,如 光电池 等,当负载在一定范围内变化时,其 两端的电压随之变化,但电源的输出电流保持为规定值,这类电源常称为独立电 流源,简称为电流源 (current source)。 它们都是理想电源元件。
电压源: 其图形符号如图 1-22(a)所 示。图 1-22(b)表示电压源的电流与电压的关系。如在 t 1 时刻,不论 i 为何值,电压为恒值。

电压源的特性:
如果一个二端元件接到任意外电路后,该元件两端始终保持规定的电 压 u S( t ),与通过它的电流大小无关,则此二端元件称为电压源。
若电源产生的是 大小和方向都不变化的直流电流 (direct current, DC),则称为直流电源;若电源产生的是 大小和方向均变化的正弦交流电流 (alternate cureent,AC),则称为交流电源。
电流源:

如果一个二端元件接到任意外电路后,该元件输出的电流始终保持规定的电流 i S( t ),与其两端电压的大小无关,则此二端元件称为电流源。
例 1-2 如图 1-24 所示电路,已知 i 2 =1 A,试求电流 i 1 、电压 u 和两电源产生的功率。

解 :
由 KCL
i 1 = i S - i 2 =1 A
故电压
u =3 i 1 + u s =(3+5)V=8 V
i S 产生的功率 p 1 =- ui S =-8×2 W=-16 W(消耗 16 W)
uS 产生的功率 p 2 = u S i 1 =5×1 W=5 W(消耗-5 W)
例 1-3 如图 1-25 所示电路,已知 u S1 =5 V,u S2 =10 V,R 1 = R 3 =1 Ω,R 2 = R 4 =4 Ω,求 i 和 u AB 。

解
按所选的电流参考方向和绕行方向一致,根据 KVL,得
R 1 i + R 2 i + R 3 i + u S2 + R 4 i - u S1 =0
即
( R 1 + R 2 + R 3 + R 4 )i = u S1 - u S2
所以

u AB 应是 A、B 两点间各段电压的代数和,即
u AB = R 3 i + u S2 =[1×(-0.5)+10] V=9.5 V
6.2 实际电源的模型及等效
理想电源实际上并不存在。当实 际电源接入负载(load)后,其两端子间的电压电流关系(或称外特性)通常与负载 R L 的变化有关, 原因是实际电源有内阻存在。
如图 1-26(a)所示,当实际电源与负载 R L 相接后,测量 a、b 处的电压电流关系时,会有两种表现。
当电源内阻较小时,随着负载由大到小的变化,电源的端电压 u 下降缓慢,如图 1-26(b)所示。该特性可以表示为

式中, u S 为电源开路(open circuit)( R L =∞)时的端电压; R S 为电压特性的斜率,即为电源的内阻。 因此,实际电源可以用电压源和电阻串联的模型表示,如图 1-26(c)所示。
如果电源的内阻较大,随着负载的变化,其端口特性如图 1-26(d)所示,这说明电源的输出电流 i 受负载变化的影响较小。 这时该特性可以表示为

式中,i S 为负载短路(short circuit)( R L =0)时的电源电流,G S 为 电流特性的变化斜率,即为电源的内电导。这时,实际电源可以用电流源和电导(电阻)并联的模型表示,如图 1-26(e)所示。
实际电源可以用两种形式表示:一是用电压源串联内 阻形式;二是用电流源并联内阻形式。如图 1-27 所示, 其中图 1-27(a) 称为电压型电源,图 1-27(b)称为电流型电源。 从电路分析的角度,两种形式的电源可以等效互换。

对于图 1-27(a),端口电压可表示为

对于图 1-27(b),由 KCL,有

将上式改写成 R S i = R S i S - u

与式(1-19)相比,若令 u S = R S i S ,根据等效概念, 电流型电源就与电压型电源的外部 VCR 相同 , 因而两者互相等效。 反过来,若式(1-19)两边同除以 R S ,又可以得到。

若令 i S = u S /R S ,则式(1-22)与 电流型电源的 VCR 相同 。这说 明电压型电源可等效为电流型电源形式。这两种电源的等效互换关系如图 1-28 所示。注意,互换后电流源 i S 的方向总是与 u S 的正极端对应,这 一对应关系保持不变。

例 1-4 如图 1-29 所示电路,试求电压 U AB 。

解:
对该电路,可先将电流型电源部分等效为电压型电源,如图 1-30 (a)所示,然后把电压源合并,得到图 1-30(b)所示的电源。再电源互换得到图 1-30(c)电流型电源。最后得电压

7.受控源
根据控制量与被控量的不同,受控源可分为如下四种:电压控制电压源、电压控制电流源、电流控制电压源和电流控制电流源。下面分别以实例介绍。

1.电压控制电压源
例 1-5 图 1-34 所示电路为某电压放大器的一种等效电路。它含有一 个电压控制电压源 u Su(Voltage Controlled Voltage Source,VCVS),受控源 u Su 的大小为 μu 1 ,其中 u 1 为 R2 两端的电压,是控制量,μ 为常系数。试求电压 u2 。

解 由分压公式,得

2.电流控制电压源
例 1-6 如图 1-35 所示电路,其中含有一个电流控制电压源 u Si (Current Controlled Voltage Source,CCVS),u Si 的控制量为电流 i 1 , 被控量 u Si 的大小为 2 i 1 。试求电压 u 。

解 在分析含受控源的电路时,首先将受控源视为独立电源处理。由欧姆定律得:
i=5/5A=1A
故受控源 u Si =2 i 1 =2 V
由 KVL 可得

3.电压控制电流源
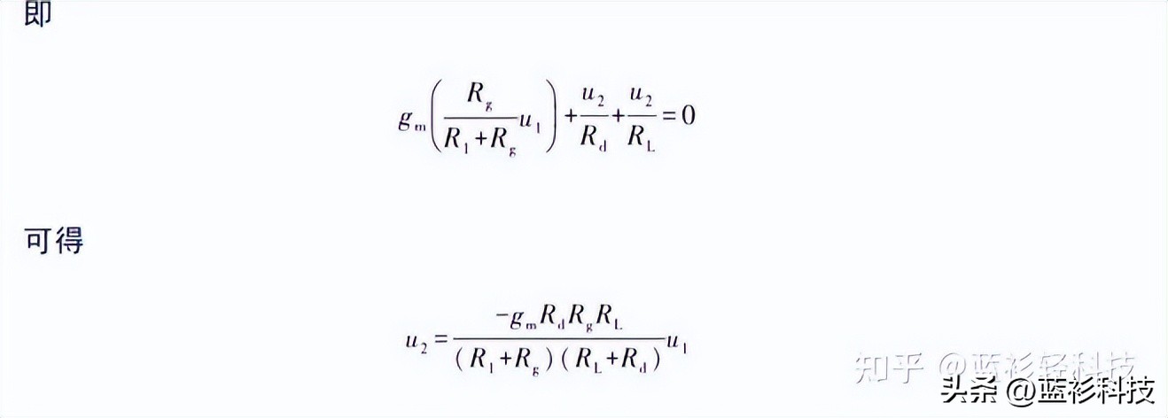
例 1-7 图 1-36(a)和(b)分别为场效应晶体管符号及其简单模型。 图 1-36(c)所示电路为一简单的场效应晶体管(FET)放大器电路模型, 其中 u 1 为输入,u 2 为输出。电路中含有一电压控制电流源 i Su (Voltage Controlled Current Source,VCCS)。被控量 i Su 的大小为 g m u gs ,u gs 为控制量,g m 为常系数。试求输出电压 u 2 。

由分压公式得:

再根据KCL


4.电流控制电流源

解 由 KVL,有
由于

又因为

最后得

顺便说明,图 1-38 中所示受控源 u Su 的含义:u 表示受控量是电压, 下标 u 表示控制量是电压,下标 S 表示受控源的「源」之意。类似地,i Su下标 S 表示 「源」之意,以此类推。