一道初中求梯形面积的题
在梯形ABCD中底的长度分别是AB=52, BC=12, 腰是CD=39, DA=5,
求梯形ABCD的面积。

解:本题用两种方法求解,
方法1:利用相似的三角形
如图, 将梯形的两个腰延长相交于一点E

由于三角形EDC相似于三角形EAB, 所以相似比为

因此可求出DE和CE的长度:

在三角形EDC中,三个边是15, 36, 39, 这是一个5 , 12, 13 成比例的三角形,而后者是直角三角形(常用的3, 4, 5和5, 12,13是直角三角形需牢记)。
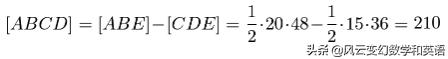
若用[X]表示图形X的面积:

方法2:构造平行四边形, 如图做DF平行于CB, F交于AB与F点。

根据四边形DFBC是平行四边形, 可知DF=12, AF=52-39=13,
在三角形ADF中三个边长分别是5, 12, 13, 根据勾股定理的逆定理,显然三角ADF是直角三角形, AF是斜边, 这斜边上的高=5x12/13=60/13,
这就是梯形的高, 因此梯形ABCD的面积
S=(39+52)/2 x60/13=210