上一篇文章我们讲了数学 基础知识 的重要性,要想学好数学,必须把这些知识点准确掌握,切切!
可是,在教学实践中,确实遇到许多这样的学生,基础知识背得滚瓜烂熟,但就是不会做题,这是为什么呢?原因就是没有掌握解题的 基本方法 。
数学中常用的解题方法有很多,配方法、因式分解法、判别式法、换元法、待定系数法、反证法、构造法、解析法,数学归纳法等等。
什么类型的题目适用哪种(或哪几种)解题方法,需要我们不断的去总结、归纳,找出规律,进而提升我们的解题能力。
比如,题目的结论是显然的,从正面无从入手,可以使用反证法,例如题目:

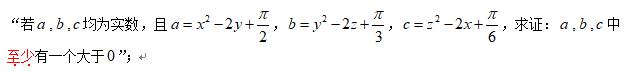
题目的结论中含有“至多”、“至少”,可以使用反证法,例如题目:

唯一性的证明可以使用反证法,例如题目:

结论是否定性的题目,可以使用反证法,例如题目:

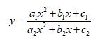
再比如:形如

的函数,只要其定义域是全体实数,或者分子与分母没有相同的因式,就可以使用判别式法求值域。
又比如 ……
下面举两个具体的例子:


怎样才能 熟练掌握 解题的 基本方法 ,课堂上老师的总结、点拨、指导固然是重要的,但同学们课后的 及时巩固 更为重要,比这更加重要的是同学们在做题时要善于反思,对解题思路进行 梳理、总结、归纳 , 提炼 出具有规律性的东西。简单说,就是学会学习,知道怎样做题。关于这方面的问题,敬请关注后续文章。
本文和7月6日发表的《高中数学学习方法浅谈(一)》这两篇文章,笔者的目的是强调数学 基础知识 和 基本方法 的重要性。如果你把“双基”掌握的好,即使你没有很高的数学天赋,高考成绩达到130分的概率是很大的。