在一些题目中我们常常需要估算无理数的取值范围,要想准确地估算出无理数的取值范围需要记住一些常用数的平方。一般情况下从1到达20整数的平方都应牢记。下面就实际为大家举例说明:

例:估算√3的取值范围。
解:因为1<3<4,所以√1<√3<√4即:1<√3<2如果想估算的更精确一些,
比如说想精确到0.1.可以这样考虑:因为17的平方是289,18的平方是324,所以1.7的平方是2.89,1.8的平方是3.24.
因为2.89<3<3.24,
所以√2.89<√3<√3.24 ,所以1.7<√3<1.8。
如果需要估算的数比较大,可以找几个比较接近的数值验证一下。

下面为大家介绍比较无理数大小的几种方法:
比较无理数大小的方法很多,在解题时,要根据所给无理数的特点,选择合适的比较方法。
一、直接法
直接利用数的大小来进行比较。
①、同是正数:
例: √3与3的比较
根据无理数和有理数的联系,被开数大的那个就大。
因为3= √9> √3
,所以3>√3
②、 同是负数:
根据无理数和有理数的联系,及同是负数绝对值大的反而小。
③、 一正一负:
正数大于一切负数。
二、隐含条件法:
根据二次根式定义,挖掘隐含条件。
例:比较³√1-a与√a-2的大小。
因为√a-2成立
所以a-2≧0即a≧2
所以1-a≦-1
所以√a-2≧0,³√1-a≦-1
所以√a-2>³√1-a
三、同次根式下比较被开方数法:
例:比较4√5与5√4大小
因为4√5=√16*5=√80
5√4=√25*4=√100
所以√80<√100 ,即4√5<5√4
四、作差法:
若a-b>0,则a>b
例:比较3-√6与√6-2的大小
因为3-√6-(√6-2)=3-√6-√6+2=5-2√6=√25-√24
所以:5-2√6>0
即3-√6>√6-2
五、作商法:
a>0,b>0,若a/b>1,则a>b
例:比较(√a+1)/(√a+2)与(√a+2)/(√a+3)的大小
因为{(√a+1)/(√a+2)}/{(√a+2)/(√a+3))}={(√a+1)/(√a+2)}*{(√a+3)/(√a+2)}
={a+4√a+3}/{a+4√a+4}<1
所以:(√a+1)/(√a+2)<(√a+2)/(√a+3)

六、找中间量法
要证明a>b,可找中间量c,转证a>c,c>b
例:比较(√10+3)/(√10+2)与(2√5+2)/(2√5+3)的大小
因为(√10+3)/(√10+2)>1,1>(2√5+2)/(2√5+3)
所以(√10+3)/(√10+2)>(2√5+2)/(2√5+3)
七、平方法:
a>0,b>0,若a2>b2,则a>b。
例:比较(√5+√11)与(√6+√10)的大小
(√5+√11)2=5+2√55+11=16+2√55
(√6+√10)2=6+2√60+10=16+2√60
所以:(√5+√11)<(√6+√10)
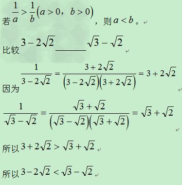
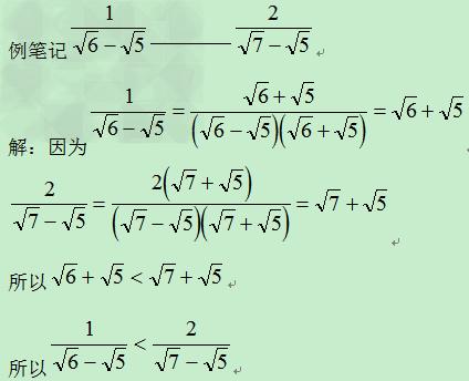
八、倒数法:

九、有理化法:
可分母有理化,也可分子有理化。

十、放缩法:

常用无理数口诀记忆:
√2≈1.41421:意思意思而已
√3≈1.7320:一起生鹅蛋
√5≈2.2360679:两鹅生六蛋(送)六妻舅
√7≈2.6457513:二妞是我,气我一生
√8=2√2≈2.82842啊,不啊不是啊
e≈2.718:粮店吃一把
π≈3.14159,26535,897,932,384,262:
山巅一寺一壶酒,尔乐苦杀吾,把酒吃,酒杀尔,杀不死,尔乐尔

上面就是为大家介绍的无理数的大小比较的技巧以及方法,希望大家能够仔细学习,并掌握这些方法,掌握这些方法对大家在以后无理数大小比较这块不会在感到困难,希望大家学习愉快。