近5年高考试卷分析:数学题型再怎么难,无非就这100例,赶紧刷
数学是我们最难的一个科目,很多同学都再数学这一科偏科,题型也刷不透,导致成绩是一差再差,其实数学并没有大家想的那样难,是有它的题型技巧和方法在的。
每个题型都是有它的核心考点,我们只要把它的题型考点吃透,就不会觉得有什么难度,所以,数学题型要刷就刷这些高频题型,考试常考的,也很有代表性,这样刷几道,刷出规律就会好很多了。
因此呢,今天就把近5年高考数学的高频题型,都分享给大家,总共有100例。一起来看看吧。
完整文档,文末获得
近5年高考数学高频题型100例
1.复数






2.集合




3.平面向量






4.数学文化












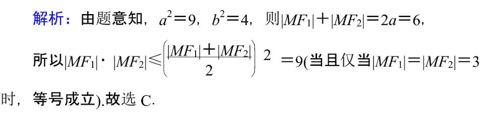
5.圆锥曲线













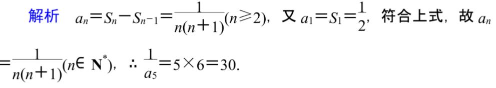
6.数列









