
实数
- 有理数和无理数
- 组合性质:有理数±×÷有理数=有理数;有理数±×÷无理数=无理数
- 考点
- 运用配方公式,有理化变形,结合等式两边有理数=无理数
- 无理数小数表达,√m-最接近m平方数,ex√19-4
- 整数和自然数
- 整除
- 整除特点
- 被2整除,个位为0、2、4、6、8
- 被3/9整除,各位数之和被整除
- 被4整除,末两位被整除
- 被5整除,个位为0、5
- 被5整除,满足2和3整除条件
- 被8整除,末三位被整除
- 非整除
- 基础公式:a(被除数)=b(除数)×c(商)+r(余数),a-r必能被b整除,r<b
- 多个余数且相同,用公倍数算法
- 多个余数且不同,结合整除特点分析个位数
- 公倍数和公约数
- 正约数:(k1+1)(k2+1)(kn+1),分解M=m1^k1×m2^k2..mn^kn,(m是质数,k是质数存在的次数)
- 基础公式:公约数(a,b)×公倍数[a,b]=a×b
- 考点
- 公约数,长度和数量等量分段
- 公倍数,不同时间或空间的人或物在同一地点出现,★植树相对地点要+1
- 奇数和偶数
- 组合性质:奇数±奇数=偶数;奇数×奇数=奇数;遇上偶数都为偶
- 质数和合数
- 质数±质数=奇数,质数×质数=偶数,其中有2
- 公约数只有1的两数为互质数
- 20以内质数:2、3、5、7、11、13、17、19
- 分数小数百分数
- 纯循环小数:0.②①=21/99
- 混循环小数:0.3①②=312-3/990
比与比例
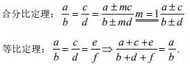
- 基本性质:a:b=c:d↔ad=bc
- 公式变形:

分母≠0,为0时老实求解
绝对值
- 非负性:若干非负数之和等于0,每个非负数为0,计算时调整每个数为非负形式
- 几何意义(距离值)
- 当x在a与b之间,|x-a|+|x-b|的最小值为|a-b|,在a与b之外有2个解
- 当a<b<c,|x-a|+|x-b|+|x-c|的最小值为|a-c|
- |x-a|-|x-b|的最小值为-|a-b|,最大值为|a-b|,最大值和最小值互为相反数
- 三角不等式

建议先变形为+
比例应用
- 变比例问题(部分不变):以最小公倍数方法,统一不变量的份数,求份数对应实际情况


百分率应用
- 原值a→增长/下降p%→现值a(1±p%)
- a(1+p%)(1-p%)<a
- 恢复原值,a先降p%,需增p%/1-p%
- 连续变化率问题

商品利润
- 利润=售价-进价(不变量)
- 利润率=利润/进价×100%
- 售价=进价×(1+利润率)
- 设进价特值,比例求解

路程问题
- s=vt—优先设速度未知
- 直线相遇:相遇s=s1+s2=(v1+v2)t→相遇t=(s1±s2)/(v1±v2)→相对速度v1+v2
- 直线追及:追及s=s1-s2=(v1-v2)t→追及t=(s1-s2)/(v1-v2)→同向速度v1-v2
- 利用差值求解:距离差(甲多走+乙少走)

- 直线多次往返:走了自己路程的n倍-多余路程

- 直线变速:路程不变,变化速度对应变化的时间

- 水中行船:v顺/逆=v船±v水,多个物体运动抵消水速
- 火车过桥:t=(l车+l桥)/v,多个桥两两相减
- 圆圈路程:同起点同向,路程差为s;同起点反向,路程和为s;不同起点第一次相遇后变为同起点;起点相遇,v比=s比=n比

