
霍 尔
世间谁晓士为谁
穿越横行自有规
可叹百年君未老
芸芸一岁赋芳菲
--- 谨以此文致敬2018
--- 祝量子材料新年快乐
1.引子
2018年12月17日,英国《自然》(Nature) 杂志刊登了美国麻省理工学院 (MIT) 两个实验小组:Pablo 实验组和Gedik 实验组的一项实验工作 [1]。这一工作是关于在双层WTe2中观察到具有时间反演对称的非线性霍尔效应之最新实验结果,引起轰动!
乍一看,看君也许会有些狐疑:霍尔效应只是一个经典电磁学的现象。对一些相对复杂的半导体体系,霍尔效应也许不是那么好的线性关系,会展现出非线性霍尔效应。反常霍尔效应可能也算其中一种。这里所谓非线性是什么节奏?事实上,我们这里要接触的话题是:具有时间反演对称的非线性霍尔效应。几个关键词:时间反演、非线性、霍尔,叠加在一起,估计就不再是线性叠加了,而是某种崭新的现象与物理。
笔者经过一番纠结迷糊,好像有点明白什么是非线性霍尔效应了!可以夸张一点说:这是一个全新的研究方向!有了这个宣言,笔者就敢于撰写本文,评述一番什么是非线性霍尔效应,并在科普层次上触及最新理论进展 [2]。
2.霍尔效应
我们在高中就学习过霍尔效应:在磁场 (磁感应强调 B ) 作用下,电流 I 感受到垂直于磁场和运动方向的洛伦兹力,会发生偏转,并在样品两端形成电势差 V。这一现象称为霍尔效应 (如图1 所示)。

图1. 霍尔效应原理示意图。三个字:特简单!
霍尔效应一直是凝聚态物理研究的一个主流方向。迄今为止,已经有四次诺贝尔物理学奖和霍尔效应有关 (图2),分别是:1985 年量子霍尔效应 [3],1998 年分数量子霍尔效应 [4, 5],2016 年拓扑物相和拓扑相变 [6],2010 年获奖的石墨烯 [7] 之重要实验证据也是半整数量子霍尔效应 [8]。当然,这些获奖成果之深度与广度不再是“霍尔效应”这四个字所能容纳与表达的,其中物理之妙与美远超霍尔效应本身,或者说霍尔效应只是这些新的物理最简单的一种表达而已。这么说的底气,很容易从几个方面来展示。

图2. 和霍尔效应有关的诺贝尔物理学奖。
3.几何相位
首先,霍尔效应最重要的意义在于对其来源的几何理解,而对这个理解的推广产生了很多新物理。我们学习量子力学的时候都学过几何相位。几何相位听起来名字很神秘,其实我们参观博物馆的时候,经常会见到的傅科摆 (Foucault pendulum) 就是几何相位的例子。傅科摆依据法国物理学家莱昂·傅科 (Jean Bernard Léon Foucault) 的名字命名,是能够证明地球自转的一种简单设备。这个实验装置包括一个高大的、在任意垂直平面上振荡的单摆 (图 3上)。单摆摆动的方向会因为地球自转而改变 (图3下左),每天改变的角度只和傅科摆所在的维度θ0 有关,大小为 360o (1- θ0)。可以证明,这个角度正好等于“傅科摆每天随地球自转走过的路径所覆盖的面积”除以“地球半径的平方”。注意到,圆球球面面积除以半径的平方,就是空间角。因此,我们可以说,傅科摆一天变化的角度竟然等于单摆随地球自转所覆盖的空间角。
这一等价关系颇为神奇,是几何相位在经典系统中最直观的例子。

图3. 上:北京天文馆的傅科摆。下左:球面上的圆环代表傅科摆随着地球自转一圈走过的路径,θ0 是傅科摆所在的维度。圆环所覆盖的面积除以地球半径的平方,等于傅科摆每天摆动方向改变的角度。下右:量子力学经典例题“电子自旋磁矩在绝热转动的外磁场B 中积累的几何相位” [参考D. J. Griffiths, Introduction to QuantumMechanics,第10章]。
4.量子几何相位
其次,笔者假定自己已经理解了量子力学,虽然这个假定可能是一个几率 (^_^)。我们来解释一下什么是量子中的几何相位。1984年,英国物理学家Michael Berry 撰写了一篇文章[9],阐明了量子力学系统中的几何相位问题。这篇文章很像扔在水中的一颗小石头,激起的涟漪深远而美妙。
Berry 在文章中举了一个例子:电子自旋磁矩在绝热转动的外磁场中会积累几何相位 (图3 下右)。自旋是电子携带的角动量,而角动量是描述转动的物理量。简单地说,一个物体旋转的快慢可用角动量大小来描述。带电粒子,比如电子,自转的时候会产生一个磁矩,就像环形电流产生磁场一样。如果再施加一个外磁场,电子的自旋磁矩会沿着磁场方向极化。我们熟知的电动机就是类似的原理。简单地说,如果外加一个磁场,磁场转动足够慢的话,电子自旋会一直跟着磁场方向转动,并且会积累一个量子力学“相位”。注意,这是量子力学相位!

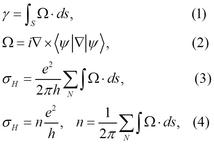
图4. 文中几个物理量的数学定义。
众所周知,相位是描述波的一个概念。比如湖面上的水波,我们可以用振动频率、振动幅度和振动相位来描述。说得粗鲁一点,量子力学的波动学说就是用波的那一套来描述微观粒子。Berry 的文章指出:电子的自旋磁矩方向被磁场拉着转一圈后,会多出一个相位,其大小为 1/2 个空间角,和傅科摆类似。特别是,这个相位γ可用一个优美的面积分表达出来 (前方高能,数学较多),如图 4 之方程 (1) 所示,其中 S 就是转动的磁场在单位圆上划出的面积、ds 是面积微分元。注意,被积分函数Ω被称为 Berry 曲率 (Berry curvature),其定义由图 4 中的方程 (2) 给出。这里|ψ> 是自旋沿着磁场方向的某个瞬时本征量子态 (根据其平行或反平行于磁场方向,称作自旋上或自旋下),▽ 是关于磁场的三维矢量微分算符。
5.霍尔效应的几何来源
讲了这么多,数学已经看到两眼发黑,而我们才开始接触霍尔效应的几何本源。首先要回答的是:这个几何相位和霍尔效应有什么关系?
当不考虑无序的时候,霍尔电导σ H 的主要贡献可以写成类似的对Berry 曲率的积分,也就是图 4 中的方程 (3),其中 e 是电子电荷、 h 是普朗克常数,对 N 求和表示有多少能带被电子填充。
Thouless 等人 1982 年发现了这件事情,了不起! [6]。他们发现,当图 4 之 (3) 式中的积分包裹整个球面的时候 (可借助图3 去想象一下,能不能想得通是能不能学物理的一个判据^_^),给出的结果刚好是 1/2 个圆球的空间角, 也就是 2π。由此,所谓的霍尔电导就量子化为图 4 中的方程 (4),其中 e 2 / h 被定义为量子电导、n 必定是整数。
注意到,这里包裹球面的积分数学上实际上是一个拓扑数,称作拓扑陈数。“陈”代表著名数学家陈省(xing三声)身。这是拓扑这门数学和凝聚态物理学的一次优美的合作。
我们通常了解的霍尔效应是需要磁场激发的。最近十五年,Berry 曲率相关的这套数学描述被推广到没有磁场的本征材料体系 [10, 11],导致量子自旋霍尔效应的发现 [12 - 14]、三维拓扑绝缘体的发现 [15 - 18]、量子反常霍尔效应的发现 [19, 20]、拓扑半金属的发现 [21, 22]、及至整个拓扑物理学的广阔领域。所以,我们说“霍尔效应”这个名词现在看起来太沉重了,要负载这么多新物理。
事实上,现在开始有人用“拓扑物理学”来代替这个名词,以还原霍尔效应本来的面目。拓扑物理学是凝聚态物理的一个主要前沿方向,已无异议。当今,研究凝聚态物理或多或少都会涉及到拓扑的问题,这些概念也被推广到光学和原子分子物理。未来之路能走多远、还有多少意外发现,实未可知。
6.Berry曲率和弯曲空间
有了Berry曲率 (图4之式(2))这一概念和物理图像,我们就有了强大的手段,可以深入拓扑量子物理之领地了。这也表明 Berry 曲率这个概念之重要,而 Berry 老先生耄耋之年依然未能等到斯德哥尔摩的电话是不大公平的。
接下来,我们通过一个例子来展示 Berry 曲率的魅力。对处于电磁场中的固体而言,其中的带电粒子运动时,Berry 曲率描述了动量空间的弯曲。这有点类似广义相对论在描述引力场时使用时空弯曲概念的味道 (图5)。其意大概是说固体中的Berry 曲率可以使动量空间弯曲。由此一来,电子看起来是直着行走,但实际上却走偏了,从而产生横向电荷积累和电压,也就是霍尔效应。很显然,这里的霍尔效应产生动力不再是外加磁场或内禀的固有磁矩,而是某种似乎可以等效为磁场的量子效应。
更重要的是,这种弯曲可以通过很多物理效应来测量 [23-25],而这些效应亦或对发展未来电子器件有指导意义。这就是量子霍尔效应博大精深之处!

图5. Berry 曲率和广义相对论的时空弯曲的类比。
7.线性霍尔效应和非线性霍尔效应
行文至此,绕了很大一个圈圈,我们终于可以进入本文的主题,即非线性霍尔效应。
目前,我们所知道的霍尔效应都是线性的 (图6)。线性霍尔效应测量方法是:在纵向施加一个电流,测量横向电压。为了滤波去除噪声,实验都会使用锁相放大器 (Lock-in measurements),意思是说纵向电流按照一个很慢的频率振荡,比如15 赫兹振荡,测量横向电压的时候只把15 赫兹的信号挑出来。这样一来,无关的噪音就被过滤掉。这里,我们用到了频率的概念!
所谓非线性霍尔效应,意思是说存在高频的霍尔信号。一种测量方法是挑选2倍频率测量横向电压,比如30 赫兹 (图7),这样测得的霍尔信号称之为非线性霍尔效应。
好吧,从一般的物理动力学角度看,我们总是认为一个系统对激励的响应以线性响应为主。比如,很多动力学理论几乎无一例外都是去计算线性响应函数或者线性关联函数,从而获得动力学规律。非线性响应在物理上无非是将响应过程展开为激励量的泰勒级数,由此就有了二倍频、三倍频、四倍频等非线性响应。这一逻辑在非线性光学中被用到极致。现在,物理人将这个倍频概念用到了霍尔效应,美其名为“非线性霍尔效应”。

图6. 各种线性霍尔效应。上:霍尔效应、自旋霍尔效应、反常霍尔效应 [27]。中:量子霍尔效应 [3]、量子自旋霍尔效应 [12-14]、量子反常霍尔效应 [19-20]。下: 三维量子霍尔效应[26,27] 。

图7. 非线性霍尔效应的测量。
8.对称性破缺分析
那么什么情况下可以测量到非线性霍尔效应呢?或者说,什么物理使得倍频非线性霍尔效应很强?遗憾的是,要说清楚其中的子丑寅卯,我们需要一点数学和对称性分析,看君耐心一点,其实问题并不复杂。
前面提到,霍尔效应是Berry 曲率的积分。Berry 曲率有两个对称性性质:一是在时间反演下变号、二是在空间反演下不变号 [28]。线性霍尔效应是Berry 曲率的积分,如果有时间反演,积分的时候正动量和负动量部分会抵消。所以,要观测到霍尔电导,必须时间反演破缺。这就是为什么必须施加磁场或掺杂磁性杂质 (看君一定明白,B 和 M 都是破坏时间反演对称的) 才能看到霍尔电导,而非磁性无磁场的自旋霍尔效应很难被观测到。
不同于线性霍尔效应,MIT 的Sodemann 和付亮 [29] 以及明尼苏达大学的 Low [30] 发现:非线性霍尔效应正比于一个被称作Berry 曲率偶极子的量 (简称Berry dipole),其表达式为:

这一表达式物理上了不得,内涵非常丰富!例如,它有两种等价的表达方式:一是在费米面上的群速度乘以 Berry 曲率 (第一个等号),一是对费米面下所有 Berry 曲率的一阶导数求和(第二个等号)。第二个等号告诉我们,非线性霍尔效应是 Berry 曲率的高阶效应,所以是新物理,非常非常重要。
不过,第一个等号可以帮我们分析什么时候可以观测到非线性霍尔效应 (图8)。
首先,在时间反演下,速度和Berry 曲率都反号,因此速度和Berry 曲率的乘积不反号,这样我们在有时间反演的时候也有可能观测到非线性霍尔效应,这和线性霍尔效应需要破缺时间反演很不同。
其次,在空间反演下,速度反号,Berry 曲率不反号,这样速度和Berry 曲率的乘积反号,积分的时候正动量和负动量的部分会抵消。如果想观察到非线性霍尔效应,必须破缺空间反演。
总结一下:(1) 线性霍尔效应需要破缺时间反演才能观测到,比如施加磁场或借助磁矩。(2)非线性霍尔效应需要破缺空间反演才能被观察到。

图8. 对称性分析。非线性霍尔效应在时间反演破缺时也可能存在,非线性霍尔效应需要破缺空间反演。
9.实验与理论进展
最近有多个实验小组报道了具有时间反演的非线性霍尔效应的观测结果,包括MIT 的Pablo 组和Gedik 组的双层WTe2 实验 (并列一作为马琼、徐苏扬、沈汇涛) [1]、Cornell 的Mak 和 Shan 实验组的多层WTe2 实验 [31] 及 Dzsaber 等人的实验 [32]。
等一下,这里又是WTe2?看君一定在很多场合都看到这个材料。它最近的确挺火:三维块材是第二类Weyl 半金属 [33, 34],单层体系可能会有高温量子自旋霍尔效应 [35-39] 或者超导 [40, 41],多层体系有铁电性 [42]。
在MIT 的 Pablo 组和 Gedik 组有关双层WTe2 非线性霍尔效应实验发表不久,南方科技大学卢海舟课题组和北京大学谢心澄教授也发表了相关理论 (见Physical Review Letters 121, 266601 (2018)) [2]。这一理论工作的第一作者是杜宗正、通讯作者为卢海舟。这篇文章回答了一个实验关心的问题:什么样的能带特征可以对应强非线性霍尔信号?作者揭示:在可用二维狄拉克模型描述的倾斜的能带反交叉点处,或者在拓扑反带位置处,都有比较强的非线性霍尔信号。此外,这一理论与Cornell 课题组有关角度依赖关系的实验吻合得很好。看君有兴趣可以点击文尾的“阅读原文”一览端倪。
10.无序贡献的非线性霍尔效应
这里,特别值得指出的是:这种新奇的非线性霍尔效应的研究才刚刚开始。实验和理论研究证明无序是反常霍尔效应主要来源 [43, 44]。非线性霍尔效应从第一阶就强烈依赖无序,高阶效应更是Berry 曲率和无序错综复杂作用的结果。无序对非线性霍尔效应的贡献将是一个重要的题目 [45]。
参考文献
1. Q.Ma et al. Observation of the nonlinear Hall effect undertime-reversal-symmetric conditions. Nature (online, 2018) https://doi.org/10.1038/s41586-018-0807-6.
2. Z.Z. Du, C. M. Wang, H. Z. Lu*, and X. C. Xie. Band signatures for strongnonlinear Hall effect in bilayer WTe2. Phys. Rev. Lett. 121, 266601 (2018).
3. K.von Klitzing et al. New method for high-accuracy determination of thefine-structure constant based on quantized Hall resistance. Phys. Rev. Lett.45, 494 (1980).
4. D.C. Tsui, H. L. Stormer, and A. C. Gossard. Two-dimensional magnetotransport inthe extreme quantum limit. Phys. Rev. Lett. 48, 1559 (1982).
5. R.B. Laughlin. Anomalous quantum Hall effect: An incompressible quantum fluidwith fractionally charged excitations. Phys. Rev. Lett. 50, 1395 (1983).
6. D.J. Thouless, M. Kohmoto, M. P. Nightingale, and M. den Nijs. Quantized Hallconductance in a two-dimensional periodic potential. Phys. Rev. Lett. 49, 405(1982).
7. K.S. Novoselov et al. Two-dimensional gas of massless Dirac fermions in graphene.Nature 438, 197 (2005).
8. Y.B. Zhang et al. Experimental observation of the quantum Hall effect and Berry'sphase in graphene. Nature 438, 201 (2005).
9. M.V. Berry. Quantal phase factors accompanying adiabatic changes. Proceedingsof the Royal Society A. 392 (1802), 45 (1984).
10.C. L. Kane and E. J. Mele. Z2 topologicalorder and the quantum spin Hall effect. Phys. Rev. Lett. 95, 146802 (2005).
11.L. Sheng, D. N. Sheng, C. S. Ting, and F. D.M. Haldane. Nondissipative spin Hall effect via quantized edge transport. Phys.Rev. Lett. 95, 136602 (2005).
12.C. L. Kane and E. J. Mele. Quantum spin Halleffect in graphene. Phys. Rev. Lett. 95, 226801 (2005).
13.B. A. Bernevig, T. L. Hughes, and S. -C.Zhang. Quantum spin Hall effect and topological phase transition in HgTequantum wells. Science 314, 1757 (2006).
14.M. König, S. Wiedmann, C. Brüne, A. Roth, H. Buhmann, L.W. Molenkamp, X. -L. Qi, and S. -C. Zhang. Quantum spin Hall insulator state inHgTe quantum wells. Science 318, 766 (2007).
15.L. Fu and C. L. Kane. Topological insulatorswith inversion symmetry. Phys. Rev. B76, 045302 (2007).
16.D. Hsieh, D. Qian, L. Wray, Y. Xia, Y. S. Hor,R. J. Cava, and M. Z. Hasan. A topological Dirac insulator in a 3D quantumspin Hall phase. Nature 452, 970 (2008).
17.H. Zhang, C. -X. Liu, X. -L. Qi, X. Dai, Z.Fang, and S. -C. Zhang. Topological insulators in Bi2Se3, Bi2Te3, andSb2Te3 witha single Dirac cone on thesurface. Nature Physics 5, 438 (2009).
18.Y. Xia, D. Qian, D. Hsieh, L. Wray, A.Pal, H.Lin, A. Bansil, D. Grauer, Y. S. Hor, R. J.Cava, and M. Z. Hasan. Observation of a large-gaptopological-insulator class with a single Dirac cone on the surface. NaturePhysics 5, 398 (2009).
19.R. Yu, W. Zhang, H. -J.Zhang, S. -C. Zhang, X. Dai, and Z. Fang. Quantized anomalousHall effect in magnetic topological insulators. Science 329, 61 (2010).
20.C. -Z. Chang, J. Zhang, X. Feng, J. Shen, Z.Zhang, M. Guo, K. Li, Y. Ou, P. Wei, L. -L. Wang, Z. -Q. Ji, Y. Feng, S. Ji, X.Chen, J. Jia, X. Dai, Z. Fang, S. -C. Zhang, K. He, Y. Wang, L. Lu, X. -C. Ma,and Q. -K. Xue. Experimentalobservation of the quantum anomalous Hall effect ina magnetic topological insulator. Science 340, 167 (2013).
21.[21]X. Wan et al. Topological semimetal andFermi-arc surface states in theelectronic structure of pyrochlore iridates.Phys. Rev. B. 83, 205101 (2011).
22.Z. Wang et al. Three-dimensional Diracsemimetal and quantum transport in Cd3As2.Phys. Rev. B. 88, 125427 (2013).
23.J. Wang et al. Anomalous anisotropicmagnetoresistance in topological insulator films. Nano Res. 5, 739 (2012).
24.X. Dai, Z.Z.Du, and H. –Z. Lu*. Negativemagnetoresistance without chiral anomaly in topological insulators. Phys. Rev.Lett. 119, 166601 (2017).
25.H. –Z. Lu and S. –Q. Shen. Quantum transport intopological semimetals under magnetic fields. Front. Phys. 12, 127201(2017).
26.C. M. Wang, H. -P. Sun, H. –Z. Lu*, and X. C. Xie. 3Dquantum Hall effect of Fermiarcs in topological semimetals. Phys. Rev. Lett.119, 136806 (2017).
27.C. Zhang, Y. Zhang, X. Yuan, S. Lu, J.Zhang, A. Narayan, Y. Liu, H. Zhang, Z. Ni, R. Liu, E. S. Choi, A. Suslov, S.Sanvito, L. Pi, H. -Z. Lu, A. C. Potter, and F. Xiu. Quantum Hall effect basedon Weylorbits in Cd3As2.Nature (online, 2018). https://www.nature.com/articles/s41586-018-0798-3.
28.D. Xiao, M. C. Chang, and Q. Niu. Berry phaseeffects on electronic properties. Rev. Mod. Phys. 82, 1959 (2010).
29.I. Sodemann and L. Fu. Quantum nonlinear Halleffect induced by Berry curvature dipole in time-reversal invariant materials.Phys. Rev. Lett. 115, 216806 (2015).
30.T. Low, Y. Jiang, and F. Guinea. Topologicalcurrents in black phosphorus with broken inversion symmetry. Phys. Rev. B 92,235447 (2015).
31.K. Kang, T. Li, E. Sohn, J. Shan, and K. F.Mak. Observation of the nonlinear anomalous Hall effect in 2D WTe2.arXiv: 1809.08744.
32.S. Dzsaber et al. Giant spontaneous Halleffect in a nonmagnetic Weyl-Kondo semimetal. arXiv: 1811.02819.
33.A. A. Soluyanov, D. Gresch, Z. Wang, Q. Wu, M.Troyer, X. Dai and B. A. Bernevig. Type-II Weyl semimetals. Nature 527, 495(2015).
34.Y. Wang, E. Liu, H. Liu, Y. Pan, L. Zhang, J.Zeng, Y. Fu, M. Wang, K. Xu, Z. Huang, Z. Wang, H. -Z. Lu, D. Xing, B. Wang, X.Wan, and F. Miao. Gate-tunable negative longitudinal magnetoresistance in thepredicted type-II Weyl semimetal WTe2. Nature Communications 7, 13142(2016).
35.X. Qian, J. Liu, L. Fu, and J. Li. Quantumspin Hall effect in two-dimensional transition metal dichalcogenides. Science346, 1344 (2014).
36.F. Zheng, C. Cai, S. Ge, X. Zhang, X. Liu, H.Lu, Y. Zhang, J. Qiu, T. Taniguchi, K. Watanabe, S. Jia, J. Qi, J. -H. Chen, D.Sun, and J. Feng. On the quantum spin Hall gap of monolayer 1T’- WTe2.Advanced Materials 28, 4845 (2016).
37.Z. Fei, T. Palomaki, S. Wu, W. Zhao, X. Cai,B. Sun, P. Nguyen, J. Finney, X. Xu, and D. H. Cobden. Edge conduction inmonolayer WTe2. Nature Physics 13, 677 (2017).
38.S. Tang, C. Zhang, D. Wong, Z. Pedramrazi,H.-Z. Tsai, C. Jia, B. Moritz, M. Claassen, H. Ryu, S. Kahn, J. Jiang, H. Yan,M. Hashimoto, D. Lu, R. G. Moore, C. -C. Hwang, C. Hwang, Z. Hussain, Y. Chen,M. M. Ugeda, Z. Liu, X. Xie, T. P. Devereaux, M. F. Crommie, S. -K. Mo, and Z.-X. Shen. Quantum spin Hall state in monolayer 1T’- WTe2. Nature Physics 13, 683 (2017).
39.S. Wu, V. Fatemi, Q. D. Gibson, K. Watanabe,T. Taniguchi, R. J. Cava, and P. Jarillo-Herrero. Observation of the quantumspin Hall effect up to 100 kelvin in a monolayer crystal. Science 359, 76-79(2018).
40.E. Sajadi, T. Palomaki, Z. Fei, W. Zhao, P.Bement, C. Olsen, S. Luescher, X. Xu, J. A. Folk, and D. H. Cobden.Gate-induced superconductivity in a monolayer topological insulator. Science362, 922 (2018).
41.V. Fatemi, S. Wu, Y. Cao, L. Bretheau, Q. D.Gibson, K. Watanabe, T. Taniguchi, R. J. Cava, and P. Jarillo-Herrero.Electrically tunable low-density superconductivity in a monolayer topologicalinsulator. Science 362, 926 (2018).
42.Z. Fei, W. Zhao, T. A. Palomaki, B. Sun, M. K.Miller, Z. Zhao, J. Yan, X. Xu, and D. H. Cobden. Ferroelectric switching of atwo-dimensional metal. Nature 560, 336 (2018).
43.Y. Tian, L. Ye, and X. Jin. Proper scaling ofthe anomalous Hall effect. Phys. Rev. Lett. 103, 087206 (2009).
44.D. Hou, G. Su, Y. Tian, X. Jin, S. A. Yang,and Q. Niu. Multivariable scaling for the anomalous Hall effect. Phys. Rev.Lett. 114, 217203 (2015).
45.Z. Z. Du, C. M. Wang, H. –Z. Lu*, and X. C. Xie.Disorder-induced nonlinear Hall effect with time-reversal symmetry. arXiv:1812.08377.