
内容提要:县乡两级政府处于我国政府层级的最末端,是大量公共事务的最终承担者,科学合理的县乡财政管理体制,是提升基层治理能力的重要制度保障。2004年以来,我国一些省份相继推行了乡财县管改革,由县级政府直接管理并监督乡镇财政,乡镇财政管理权被大幅度上收到县。
本文利用2000-2019年的县域面板数据和双重差分模型,评估了乡财县管改革对经济发展的影响。结果显示,乡财县管促进了县域经济发展。机制分析显示,乡财县管减少了行政管理支出比重,抑制了财政供养人员规模膨胀,降低了税费负担。这些结果表明,加强上级政府对基层政府的财政管理与监督,有助于改善治理水平、促进经济发展。
本文也发现,在地形较为复杂的人口大县及经济较发达地区的县,由于改革一定程度上提高了县级政府获取信息的难度,不利于发挥乡镇政府的积极性,乡财县管对经济发展的提升效果相对较弱,这说明,乡财县管不宜“一刀切”地实行。
一、引言
“基层强则国家强,基层安则天下安”。县乡两级政府处于我国政府层级的最末端,同时又是大量公共事务的最终承担者,县乡两级财政支出占全国的比重接近50%,可谓“权力最小、责任最大”(周黎安,2017)。财政是国家治理的基础和重要支柱,科学的财政体制对于优化资源配置、维护市场统一、促进社会公平、实现国家长治久安具有重要作用。
作为财政体制最基层的组成部分,县乡财政是国家治理“基础中的基础”。科学合理的县乡财政管理体制,是充分发挥基层政府积极性、提升公共服务水平、推动经济社会发展的重要制度保障。
改革开放后,我国县乡两级财政管理体制经历了两次大的改革。1983年,随着人民公社体制的解体,乡镇政权重新确立,按照“一级政府、一级财政”的原则,乡镇一级财政也相应建立,乡镇政府拥有了自主的财政收支与预决算体系,形成了“乡财乡管”体制。但是,随着1994年分税制改革后财力大幅度上移,以及2000年后农村税费改革的实施,乡镇收支矛盾日益加剧,乡镇财政运行暴露出支出缺乏规范、财政供养人员膨胀、正常公共服务支出难以保障等问题。
一些乡镇政府为了筹集资金还存在违规收费,甚至大规模举债的问题,加重了居民和企业的负担(刘克崮和贾康,2009)。为了化解这些问题,2003年以来,从安徽省开始,一些省份开始探索实施“乡财县管”改革。2006年财政部发布《关于进一步推进乡财县管工作的通知》,中央开始明确鼓励各地推进乡财县管改革。2022年《国务院办公厅关于进一步推进省以下财政体制改革工作的指导意见》也指出,进一步推动乡财县管工作提质增效,提升乡镇财政管理效率和水平。
乡财县管改革,是由县级财政部门直接管理并监督乡镇财政收支,主要内容是实行“预算共编、账户统设、集中收付、采购统办、票据统管、县乡联网”。改革后,通过“预算共编”,乡镇预算安排和预算调整都很大程度上由县级政府决定,乡镇政府财政收支的自主性大幅度下降。与此同时,县级政府大大加强了对乡镇预算执行过程的监督管理,取消了乡镇财政的账户,乡镇所有收支都通过县级国库集中收付,乡镇采购支出都通过县级统一办理。
乡财县管后,尽管县乡财政体制仍保留“一级政府、一级财政”的形式,而实质上乡镇从独立收支的“一级财政”弱化为“半级财政”,乡镇财政管理权被大幅度上收到了县(杨发祥和刘楠,2012)。因而,从本质上看,乡财县管是一项上收财政权限的改革。随着乡镇财政的虚化,县级政府开始直接负担大量公共服务的支出,从这个意义上看,乡财县管也是一项财政层级扁平化的改革(贾康,2007)。
本文试图回答的问题是,乡财县管改革是否改善了基层政府治理和公共服务提供能力,并最终促进了经济发展?在实践中,尽管全国相当多的地区都已经先后实施了乡财县管改革,但乡财县管改革是否取得了如期的效果,尚没有定论。
乡财县管作为一项财政权限上收的改革,其对政府治理和经济发展的效应,从理论上看是不确定的(Mookherjee,2015) 。首先,根据财政分权的传统理论,分权相比于收权有诸多优势: 相比于县级政府,乡镇政府具有本地信息优势,存在更为激烈的辖区间竞争,独立自主的财政收入也激励乡镇政府发展经济。从这些角度看,乡财县管不利于发挥乡镇政府的积极性。但是,财政分权理论的另一些文献则认为,由于对基层行政权力的监督机制通常较为薄弱,将权力过多的赋予基层政府,反而会恶化基层治理水平。乡镇作为我国最基层的政府,管理能力不足、监督机制失效等问题相比于县级政府更容易发生。从这些角度看,乡财县管有利于改善基层治理。事实上,很多地方推行乡财县管改革的出发点,正是解决“乡财乡管”体制下暴露出的乱花钱、乱进人、乱收费、乱举债等乡镇治理问题。
本文利用2000-2019年的县域层面数据,使用双重差分模型,评估了乡财县管改革对经济发展的影响。结果显示,改革显著促进了经济发展。实施乡财县管改革后,县域人均GDP平均提升了4.8%。乡财县管对一、二、三产业的发展都有提升作用,对第二产业的提升作用最强。不仅如此,我们也发现乡财县管对农村人均纯收入、人均储蓄、企业数量等经济发展指标均有正面效应。
机制分析结果显示,乡财县管通过规范财政支出与降低税费负担两个方面有利于经济发展: 首先,改革降低了财政支出中行政管理类支出的比重,抑制了财政供养人员的膨胀,从而保障了正常公共服务支出; 其次,改革减少了政府收费,减轻了私人部门的税费负担。财政支出结构的优化和税费负担的降低,又进一步促进了当地投资的增长。这些结果表明,对于最基层的政府而言,通过财政权限上收,加强上级对下级的财政管理与监督,有助于改善政府治理水平,促进经济发展。
异质性分析发现,在人口较多的大县和地形较为崎岖的县,乡财县管改革对经济发展的正面效果会减弱。我们认为,这些县实施乡财县管后,县级政府直接提供公共服务时面临管理幅度大、获取信息成本高等问题。同时我们也发现,对于初始经济较为发达、基层财力较强的地区,由于不利于调动乡镇政府的积极性,乡财县管的正向效果也较弱。这表明,尽管总体而言,乡财县管改革带来的正面效应大于负面效应,但对于部分县而言,改革存在一定代价。乡财县管改革不应“一刀切”地去推行,在人口较多、内部情况较为复杂、经济较为发达的县推行乡财县管应多方考虑,综合统筹。事实上,近年来一些地区,正是鉴于乡财县管暴露出的问题,尝试部分地改回“乡财乡管”,扩大乡镇财政的自主权,发挥乡镇政府的积极性。
本文的研究价值在于以下三个方面:首先,以往关于乡财县管的研究,大多数都集中于定性研究(夏杰长和陈雷,2005),李永友和王超(2020)利用安徽省数据研究了乡财县管改革对城乡收入差距的影响,本文则首次使用全国范围内的数据定量评估了乡财县管对经济发展和地方政府行为的影响,有利于正确全面地认识这一改革的利弊得失,对于下一阶段县乡政府财政体制改革也具有参考意义。其次,以往关于我国财政分权经济效应的实证研究都集中于分析中央与省,或省与市、县之间的财政关系(Xu,2011),但是却鲜有文章分析县乡两级财政关系。本文将政府间财政关系的研究拓展到了最基层的县乡两级财政关系。
本文研究表明,在最基层的县乡政府间财政关系上,适度的财政权限上收有利于经济发展,从而进一步揭示了政府间财政体制安排需要权衡分权与收权的相对成本与收益。最后,乡财县管与省直管县财政体制改革类似,均属于财政层级的扁平化改革。已有大量研究关注省直管县财政体制改革的效果( 郑新业等,2011;贾俊雪等,2013;王小龙和陈金皇,2020) ,本文则从乡财县管改革的角度剖析了财政层级扁平化改革效果。我们认为,乡财县管与省直管县尽管同为财政层级扁平化,但前者具有收权性,后者具有分权性。
尽管大多数研究发现省直管县作为分权改革促进了经济发展,但本文发现乡财县管作为收权改革,也促进了经济发展。原因在于,乡镇作为最基层政府,易存在政府失灵问题,因而适度的收权改革,有助于提高基层治理水平。
二、文献回顾
政府间财政关系的理论基础是财政分权理论,该理论发展大体可分为两个阶段,即第一代和第二代财政分权理论(Weingast,2009)。第一代财政分权理论秉承了Hayek(1945)和Tiebout(1956)的思想,认为地方政府拥有本地信息优势,相比于上级政府更了解辖区内居民需求,由地方政府更多地承担公共服务职能可以改善社会福利、提高经济效率。Oates(1972)将第一代分权理论总结为分权定理:当公共服务不存在跨地区外部性时,地方政府提供比中央政府提供更有效率。但这一理论暗含了一个重要假设,即政府官员不存在自私动机,他们愿意且能够依据本地居民偏好提供高效的公共服务。无疑,这一条件并不完全符合现实。
从20世纪80年*开代**始兴起的第二代财政分权理论放松了地方政府官员完全仁慈这一假设,认为财政分权会改变地方政府官员面临的激励,从而影响其行为模式,进而影响社会福利和经济效率(Mookherjee,2015)。但是,第二代财政分权理论的文献对分权的效应存在截然相反的两种观点。第一种观点认为,分权对地方政府官员产生正向激励:分权可以促进地方政府间竞争,硬化地方政府的预算约束,分权带来的财政收入激励也会促使地方政府努力发展经济、保护市场发展(Weingast,2009)。第二种观点则认为,地方层面通常更缺乏有效的权力监督制约机制,舆论监督机制薄弱,且人数少、利益更为同质的人群更容易结成利益集团,从而地方政策更容易受利益集团影响(Bardhan and Mookherjee,2005)。
在关于我国分权体制的研究中,一些文献显示分权促进了中国经济增长(林毅夫和刘志强,2000;沈坤荣和付文林,2005;张晏和龚六堂,2005),但也有文献发现财政分权抑制了经济增长(Zhang and Zou,1998),或者不存在显著影响(Davoodi and Zou,1998;Xie et al.,1999)。既有研究结论大相径庭,主要是由于不同的研究使用了不同时间跨度的样本,以及不同的财政分权度量指标。
关于我国财政分权的经济效应,现有实证研究也存在多方面问题未得到充分解决:首先,大多数国内文献使用分省的人均财政收支与中央政府在全国的人均财政收支之比度量分省的财政收支分权程度,但同一年份所有地区该指标的分母都相同,因此该指标更多反映了各地财政收支的相对规模,而不是分权程度高低(徐永胜和乔宝云,2012;陈硕和高琳,2012);其次,文献中度量的财政分权维度不同,绝大多数研究度量的是中央与省之间的分权程度,另外一些度量的是省与市、县政府的财政分权程度(吕冰洋等,2016)。但是鲜有文献研究县与乡镇政府之间财政关系的经济效应。
不同层级上的分权,对经济发展的影响可能不尽相同。正如Bardhan and Mookherjee(2005)等理论研究所强调的,越是基层地方政府,对政府权力的监督约束机制越是薄弱,将权力分给越基层的地方政府,其效果可能越差。因此,中央将财政收支分权到省,与县将财政收支分权到乡镇,效果可能存在差异。
已有关于“乡财县管”改革的研究大多从定性的角度,分析“乡财县管”改革的必要性和可行性、利弊梳理及改革方向(吕连生,2005;张威和高瑞,2010;杨发祥和刘楠,2012)。夏杰长和陈雷(2005)以安徽省G县的乡财县管改革为例进行案例研究,从社会学角度分析了乡财县管改革的成效和问题。李永友和王超(2020)利用安徽省数据研究了乡财县管改革对城乡收入差距的影响。但是,目前还没有研究利用全国大样本数据,定量考察乡财县管改革的经济社会效应。
三、制度背景和理论分析
(一)制度背景
改革开放后,随着人民公社体制的解体,乡镇政权重新确立。1983年,*共中**中央、国务院发出《关于实行政社分开建立乡政府的通知》,要求“随着乡政府的建立,应当建立乡一级财政和相应的预决算制度,明确收入来源和开支范围”。1985年,财政部制定了《乡镇财政管理试行办法》,进一步明确了“一级政府、一级财政”“统一领导、分级管理”的原则,“乡财乡管”体制开始形成。乡镇政府的财政收入由预算内资金和预算外资金组成,预算内资金来自各类税收和上级的转移支付,预算外资金来自村提留、乡统筹等收费以及乡镇企业利润等。乡镇政府承担了乡镇机构行政管理费、文教科学卫生事业费、农林水事业费等主要支出。
1994年分税制改革后,随着财政收入大幅度向中央集中,处于最基层的乡镇财政,财政收入更难以保障。2000年以来,随着农村税费改革和取消农业税政策的实施,以及乡镇企业的逐渐衰落,乡镇财政困难程度进一步加剧。由于乡镇政府自身治理水平有限,在资源向上集中、自身财力削弱、支出责任下移等多重压力下,一些地区乡镇财政运行产生了“乱花钱、乱进人、乱收费、乱举债”等若干乱象(陈锡文,2002;刘克崮和贾康,2009)。首先,基层行政机构臃肿,人员超编严重,造成“生之者寡,食之者众”,乡镇财政沦为“吃饭财政”,难以保障教育、医疗、水利、基建等正常公共服务支出;其次,财政支出过程中科学化程度较低,预算制定与审查过程流于形式,支出难以满足当地的需要;第三,财政预算执行中存在管理漏洞,票据不合规、账户不规范、财务不透明等现象突出;第四,基层政府为了弥补财政收入不足,仍然存在乱收费、乱摊派的现象,加重了当地居民与企业的负担;第五,一些乡镇政府债务积累严重,影响了财政正常运行。
在上述背景下,一些地区为了规范乡镇财政收支行为,开始探索实施“乡财县管”财政体制改革。安徽省2003年率先选取9个县进行乡财县管改革试点,2004年在全省范围内全面推行改革,其他一些省份也纷纷跟进。财政部在2006年发布了《关于进一步推进乡财县管工作的通知》,鼓励各地区推行“乡财县管”。根据本文收集的各地方政府相关文件,2004-2009年是乡财县管改革试点的大规模推广时期,试点县占比从2004年的7.3%逐步增长至2009年的79.2%。
乡财县管改革的主要内容是:县级财政部门在预算编制、账户设置、集中收付、政府采购和票据管理等方面,对乡镇财政进行管理和监督,实施“预算共编、账户统设、集中收付、采购统办、票据统管、县乡联网”(刘克崮和贾康,2009)。改革后,通过“预算共编”,乡镇预算安排和预算调整都很大程度上由县级政府决定,乡镇财政自主性大幅度下降。县级政府大大加强了对乡镇预算执行过程的监督管理,取消了乡镇财政的账户,乡镇所有收支都通过县级国库集中收付,乡镇采购支出都通过县级统一办理,乡镇行政事业性收费票据由县级统一管理。与此同时,“乡财县管”不仅上收了财权,也很大程度上收了事权,原先很多由乡镇政府承担教育、医疗、基建等公共服务,改革后更多由县级政府或其派出机构直接承担,乡镇政府功能进一步虚化(夏杰长和陈雷,2005)。
因此,乡财县管改革尽管从法律形式上还保留了乡镇财政收支,但随着改革的推进,实质上乡镇财政收支占比也在逐渐下降,越来越多的财政收支向县本级集中。从图1可以看出,我国县本级财政支出占全国比重从2002年的30%上升到2010年的45%,而同期乡级财政支出占比则从10%下降到了6%。总的来讲,乡财县管后,县乡财政体制尽管仍保留“一级政府、一级财权”的形式,但实质上乡镇财权被很大程度上收了(杨发祥,2012),乡镇从独立收支的“一级财政”弱化为“半级财政”。

图1 县乡财政收入支出占全国财政收入支出的比重
数据来源: 历年《地方财政统计资料》。
(二)理论分析
乡财县管将部分财政收支权力从乡镇上收到县,根据财政分权理论,我们可以推测乡财县管对经济发展的效应存在正、反两类作用机制。正面作用机制包括:
首先,乡镇政府比县级政府更容易发生“政府失灵”,乡财县管通过加强自上而下的监督机制,提升乡镇政府的治理水平。乡镇政府比县级政府更容易发生“政府失灵”主要是源于以下几个方面的原因:第一,我国制度之下,对下级政府的监督主要来自上级。由于乡镇处于我国五级政府的最末端,也处于自上而下监督链条的最末端。传递层级越多,“鞭长莫及”,监督的耗损和失控就更加严重。第二,到了乡镇这一层级,往往具有更深的宗族联系、地缘联系,更容易影响相关政策。第三,进入21世纪后,取消农业税,加之乡镇企业衰落后,乡镇本级的自有财政收入大幅度萎缩,但由于支出责任并未上移,乡镇政府承担了大量公共服务,乡镇财政支出更大幅度上依赖于上级的转移支付,加重了软预算约束问题,导致乡镇财经纪律更为松弛,乡镇政府主动发展经济、培植税源的积极性也大大下降。
乡财县管之后,由于县级政府的治理水平普遍高于乡镇,而且县级加强了对乡镇政府的监督,可以规范乡镇的财政收支行为,提升基层公共服务和治理水平。事实上,乡财县管所实施的一些举措,就是将财权装进笼子里,以自上而下的方式,加强县级对乡镇财政的管理和监督。改革后实施“预算共编、账户统设”,乡镇政府增加行政管理经费、扩充财政供养人员、擅自提高税费,都更为严格地受到县级政府的监督,从而有助于破解乱花钱、乱进人、乱收费等问题。改革后通过“集中收付、采购统办、票据统管、县乡联网”,县级政府大大加强了对乡镇预算执行过程的监督管理,有助于减少乡镇政府执行预算、政府采购等流程产生的各种问题。
第二,根据组织经济学的理论,扁平化的组织结构,有助于减少信息传递的扭曲与执行上的延迟。乡财县管是财政层级扁平化改革,可以解决信息不对称和道德风险问题,减少行政管理成本,故有利于公共服务提供与经济发展。
第三,根据经典的财政分权理论,财政权限上收还有一个优势是可以更好地协调跨地区外部性问题。乡财县管之后,由县级政府直接管理,有助于处理乡镇政府之间在跨乡镇事务上的合作困难问题,更好地提供具有跨乡镇外部性、原本乡镇政府不愿意提供的公共服务,如跨乡镇道路建设、跨乡镇环境治理等。与此同时,相比于乡镇政府,县级政府提供的一些公共服务可能具有规模经济效应,有助于降低公共服务的提供成本。
在我国情境下,乡财县管前,县级政府原本就可以对外部性进行协调,乡镇的规模也还未小到产生明显规模不经济的现象,因此我们认为乡财县管的改革红利主要不是在解决跨乡镇外部性和利用规模经济上,而是在于建立了自上而下的监督机制,减少乡镇政府失灵。
尽管乡财县管带来了上述益处,但它对经济发展也可能产生负向作用,具体如下:首先,乡财县管之后,县级政府直接提供公共服务,相比于乡镇政府,县级政府掌握本地信息的难度较大,公共服务提供的效率会降低。特别是,对于人口数量较多、情况较为复杂的大县而言,县级政府的直接管理难度更大,乡财县管改革的代价也就可能越大。其次,乡财县管之后,乡镇政府对财政收入的自主支配权大幅度下降,因而可能导致乡镇政府招商引资、培育税基、发展经济的积极性下降。尤其是,对于初始经济较为发达、基层财力较强的地区,如果实施乡财县管,可能不利于发挥乡镇政府的积极性。
实践当中,一些地区在乡财县管政策实施中也确实发现存在上述问题。近年来,部分地区也重新开始扩大乡镇财政的自主权,由乡财县管改回原本的乡财乡管。当然,乡财县管的正、反两类作用机制孰强孰弱,需要从实证上进行检验。
四、研究设计
本文利用县域层面的面板数据,采用双重差分方法(DID)来研究乡财县管改革对经济发展的影响。具体实证模型设定如下:

其中,表示县在第年的人均GDP对数值。除此之外,本文也使用夜间灯光亮度、人均第一、二、三产业增加值、人均工业总产值等作为经济发展的替代指标。
是一个虚拟变量,当县在第年已经实施乡财县管改革时,取值为1,否则取值为0。是县域固定效应,表示年份固定效应。通过控制县域固定效应,可以控制所有不随时间变化的县域特征,将处理组和控制组的固有差异予以剔除。但有些县域固有特征,可能既影响了一个县域是否采取乡财县管改革,同时又对经济发展产生随时间变化的效应。为此,我们参照Duflo(2001)的做法,在DID模型中控制了县域初始特征()与年度固定效应()的交互项,从而允许这些县域特征在各年度对因变量产生异质性影响。包括2000年县域的人均GDP、人口密度、平均海拔、平均坡度、是否民族自治地方、人均粮食产量、所辖乡镇个数等指标。为随机扰动项,本文将标准误聚类到(Cluster)县域层面。下文也将使用事件研究法检验处理组和控制组是否具有事前平行趋势。
五、实证结果分析
(一)基准回归结果
首先,本文报告乡财县管改革对县域人均GDP的影响。表1为基准回归结果。第(1)列在控制了年份固定效应和县域固定效应后进行回归,第(2)列进一步控制了县域初始特征与年份虚拟变量交互项,以剔除不同初始特征的县在随后各个年份所受到的差异性冲击。第(2)列系数0.048,表明乡财县管改革的实施将使县域人均GDP提升4.8%。
在样本期间,除了乡财县管改革之外,其他改革也可能对结果产生干扰,为此我们在回归中控制了其他改革:首先,部分省份2004年起还实施了“省直管县”“扩权强县”等改革。为了剔除这两项改革的影响,第(3)列额外加入了“是否省直管县”“是否扩权县”两个控制变量。其次,2001年我国加入WTO,关税大幅度降低可能对县域经济产生影响,为了剔除进口关税降低对县域经济的影响,本文参照戴觅等(2019)的方法,利用各行业关税削减幅度的差异以及各县域“入世”前产业结构的差异(这一数据仅更新至2014年),构建了县域层面的关税削减效应指标,添加这一控制变量的结果报告在第(4)列。第三,2005年底我国全面取消农业税,对县域财政运行带来较大压力,为此第(5)列进一步控制了县域层面农业税金占财政收入的比重。第四,20世纪90年*开代**始,很多地区还推行了乡镇撤并改革。乡镇撤并精简了机构,降低了行政成本,因此也有可能促进县域整体的经济发展。乡镇撤并导致的直接结果是县域所辖乡镇个数减少,因此,我们进一步控制了县所辖乡镇个数,以剔除乡镇撤并对县域整体经济的潜在影响。结果显示,添加上述控制变量后,乡财县管改革的回归系数基本不发生变化。
表1 乡财县管对县域人均GDP的影响

注: ***、**、* 是指在1% 、5%以及10%的置信水平下显著; 括号内为聚类到( cluster) 县域层面上的标准误。县域初始特征包括所辖乡镇个数、人口密度、人均GDP、平均海拔、平均坡度、是否民族自治地方、人均粮食产量,下同。
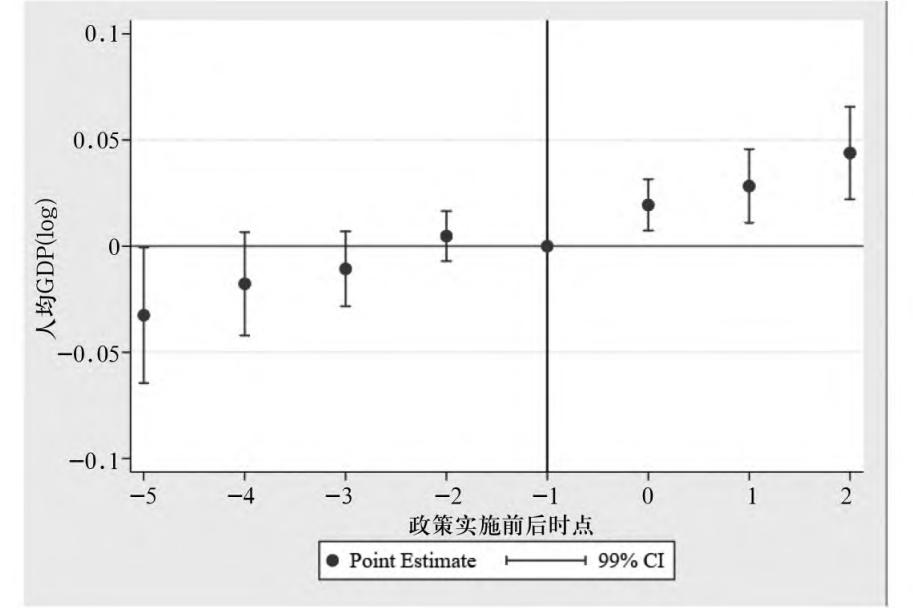
(二)事件研究法检验平行趋势假设
从基准DID的结果来看,乡财县管改革对地方经济增长带来显著的正向影响。但DID方法成立的一个前提条件是,处置组(样本期内实施了改革的县)和控制组(样本期内最终未实施改革的县),在改革前,具有平行时间趋势。如果控制组与处置组两组县的经济增长趋势在改革前就存在差异,那么有理由怀疑处置组和控制组存在不可观测且随时间变化的差异,从而存在内生性问题。因此,还需要检验是否满足事前平行趋势。参考Jacobsonetal.(1993)的处理方法,本文利用事件研究法,检验乡财县管改革前后年份经济增长的动态变化。具体来说,模型设定如下:

其中,代表实施乡财县管政策前后的事件窗口虚拟变量,是县域开始实施乡财县管改革的年份,是指政策改革前后的各个年份,其中取值分别是-5及更早之前、-4、-3、-2、-1、0、1、2+,缺省组是=-1(即改革前一年)。其余控制变量和基准模型类似,标准误仍然聚类到县域层面。结果显示,改革前两年之前的年份,处置组和对照组的县域人均GDP趋势没有明显差异,因此满足事前平行趋势。处置组改革之后,两组差异才开始显现。这很大程度上表明县域经济增长的确是由乡财县管改革带来,与其他不可观测变量或其他改革无关。

图2 平行趋势图
(三)其它经济发展度量指标
接下来,本文用其他经济发展度量指标来衡量地区经济发展水平。本文考察了乡财县管改革对于三次产业是否均有正向影响,表2第(1)-(3)列的结果显示,乡财县管对一、二、三产业增加值均有显著正向促进作用。从系数大小上看,乡财县管对第二产业的正向作用大于对第一、第三产业的影响。我们推测,这是由于第二产业,尤其是当中的制造业,具有较高的跨地区流动性,对地方政府治理水平更为敏感。因此,乡财县管提升了一个县的治理水平,更有利于吸引制造业。除此之外,本文进一步使用人均居民储蓄指标,作为经济发展水平的度量指标。表2第(4)列的回归结果显示,乡财县管改革对人均储蓄提升具有正面效应。同时,第(5)列结果表明,乡财县管改革对县域内小企业数量增加也具有正面效应,由于小企业多数为民营企业,这一结果说明改革促进了民间创业。
表2 乡财县管对其它经济发展指标的影响

六、机制分析
上文的实证结果显示,乡财县管改革促进了经济发展。这一部分,我们分析乡财县管改革对经济发展的影响机制。“乡财县管”使乡镇政府财政管理权限减少,县本级的财政管理权限增加,因此改革不仅触及乡镇财政,也触及县级财政。乡财县管对于经济发展的正向效果,也是由于它同时对县级政府和乡镇政府的行为产生作用。县本级和乡镇本级各自的财政收支行为变化是乡财县管影响经济发展的重要机制。但由于数据所限,我们无法分别研究乡财县管对县本级财政支出结构(或财政收入)、乡镇本级财政支出结构(或财政收入)各自的影响,而只能分析改革对县乡两级整体的财政支出结构与税费负担的影响。对县域经济发展产生作用力的是县域整体的财政支出结构和税费负担,因此,我们分析县域整体财政收支行为。尽管有局限性,但仍然对于机制分析有价值。
(一)乡财县管改革对行政管理支出类占比和财政供养人口的影响
首先,本文检验了乡财县管改革是否改善了财政支出结构,降低了县域的行政管理支出占比。改革之前,县乡财政的一大乱象是乱花钱、乱进人,大量财政经费用于维持臃肿的财政机构,导致正常公共服务的支出无法保障,部分地区甚至成为典型的吃饭财政。在县域财政支出(含县本级与乡级)结构当中,行政管理类支出(含行政管理费用和公检法司支出)占财政支出的比重平均达到了21.9%。尽管行政管理支出是维持政府行政机构运转所必需的支出,但它属于“虚耗性支出”。一个县的财政支出结构当中,行政管理支出占比越高,表明机构臃肿越严重、资金使用效率低下,能够用于提供公共服务的资金相应被挤占。
本文使用的财政支出结构数据来自《地市县财政统计资料汇编》,其中行政管理类支出使用了两个口径,一个是仅包括行政管理费用,另一个是行政管理费和公检法司支出之和。《地市县财政统计资料汇编》当中,各项财政支出是县域和乡镇级财政支出之和,以下简称县域财政支出。我们无法单独区分乡镇和县本级各自的财政支出。但由于这里旨在检验改革对整个县域内财政支出结构的影响,因此无须区分乡镇级和县本级的各项财政支出。而且,由于改革后,乡级财政已经半虚级化,相当多数的公共服务也改由县本级直接承担,乡级财政支出已不能反映出当地的公共财政支出倾向。
回归结果报告在表3。结果显示乡财县管改革显著降低了行政管理类支出占比。由表3第(1)列的回归系数可知,乡财县管政策实施后,行政管理类支出占比降低了0.0066。在本文样本中,行政管理类支出(行政管理支出和公检法司支出之和)占一般公共预算支出比例的均值为0.219。相较于均值来说,乡财县管使行政管理类支出的占比下降了3.0%(0.0066/0.219)。这表明乡财县管改善了县域财政支出结构,县域内有更大比例的财政资金用于公共服务支出,更有利于经济发展。
表3 乡财县管对财政支出结构和财政供养人员负担的影响

基层政府行政管理支出比重较高,通常与财政供养人口的膨胀高度相关。本文进一步检验改革是否降低了财政供养人员负担。这里不直接使用财政供养人数作为被解释变量,原因在于乡财县管改革提升了县域经济发展水平和可用财力,当地公共服务的增加,本身就需要增加财政供养人数来提供。为此,这里使用财政供养人数与县域政府可用财力之比,可用财力包括县乡本级收入和上级给予的转移支付。这一指标衡量的是,一个县财力当中的财政供养人员负担,即单位财力需要支撑的财政供养人数。表3的回归结果显示,乡财县管改革后财政供养人员负担下降,这表明乡财县管改革一定程度减轻了基层行政机构的臃肿程度。
(二)乡财县管改革对税费负担的影响
进一步地,本文考察了乡财县管改革对财政收入端的影响。在乡财县管改革之前,县乡财政运行的另一大乱象是基层政府的乱收费现象,这加大了私人部门的负担。因此,改革是否降低了私人部门的税费负担?
为了衡量私人部门的税费负担,这里使用县域一般预算财政收入与GDP之比、县域预算外政府性基金收入与GDP之比这两个指标。县域一般预算财政收入包括税收和纳入预算的收费项目。预算外的政府性基金收入包括工交部门基金、商贸部门基金、文教部门基金、农业部门基金、土地有偿使用支出、其他部门基金、地方财政税费附加等项目。表3第(4)-(5)列的回归结果显示,乡财县管改革既降低了一般预算的税费负担,也降低了预算外收费的负担。由表3第(4)列的回归系数可知,乡财县管政策实施后,一般公共预算收入占GDP比例下降了0.0021。相较于样本均值(0.051)来说,一般公共预算收入占GDP比例下降了4.1%。由表3第(5)列的回归系数可知,乡财县管政策实施后,政府性基金收入占GDP比例下降了0.0007。相较于样本均值(0.007)来说,政府性基金收入占GDP比例减少了10%。因此,乡财县管通过减轻私人部门的税费负担,有利于当地经济发展。
(三)异质性分析
根据第三部分的理论分析,乡财县管对经济发展同时存在正向和反向两类作用机制。实证研究表明,总体来看,乡财县管改革促进了经济发展,因此正向机制的作用力要大于反向机制,乡财县管对经济发展的平均净效应为正。但是,改革对不同县的影响,可能存在异质性。表4第(1)列放入了乡财县管与县域人口规模的交互项,交互项系数显著为负,表明人口众多的大县,由于县级政府管理幅度过大,乡财县管改革对县域经济发展的效果要弱。表4第(2)列放入了乡财县管与县平均坡度的交互项,交互项系数也显著为负。说明县域内地形较为复杂,县级政府直接提供公共服务时获取信息的成本较高,此时乡财县管改革对经济发展的效果也较弱。这表明,乡财县管改革的一项成本是在人口大县和内部情况较为复杂的县,乡财县管增加了县级政府获取信息的难度。
表4 异质性分析

另外,乡财县管之后,乡镇政府招商引资、培育税基、发展经济的积极性下降。那么对于初始经济较为发达、基层财力较强的地区,乡镇政府积极性较为重要,如果实施乡财县管,可能会带来一定的成本。我们在表4第(3)-(4)列中分别加入了乡财县管与县域初始财政自主度、县域初始人均GDP的交互项,结果显示,交互项的系数均显著为负,支持了我们的假说。这反过来也说明,乡财县管在经济欠发达、财政自主度较低的地区,对经济发展具有更大的促进作用。在这些地区,乡镇政府对上级转移支付的依赖程度更高,自上而下的监督机制将“财权入笼”尤为重要。
七、结论及政策建议
本文利用2000-2019年的县级层面数据,使用双重差分模型,评估了乡财县管改革对经济发展的影响。结果显示,乡财县管促进了改革县的经济发展水平。实施乡财县管后,县域人均GDP平均提升4.8%。进一步地,我们检验了乡财县管促进经济发展的机制。我们发现,乡财县管通过规范财政支出与降低政府收费两个方面进而有利于经济发展:首先,乡财县管改革降低了财政支出中行政管理支出的比重,抑制了财政供养人员规模的膨胀,保障了正常公共服务支出;其次,乡财县管改革减轻了私人部门的税费负担。
乡财县管改革的经验告诉我们,我国政府间财政管理体制的改革,需要权衡权力下放与集中统一管理的相对成本与收益,激励与约束并重,既充分发挥基层政府的灵活性、积极性,又同时加强自上而下的管理与监督机制。特别是,对于欠发达地区而言,越到基层政府,事权、支出责任与自主财力不匹配越严重,基层财力很大幅度上依靠上级转移支付,此时过分强调通过分权加强激励,反而可能导致激励失灵。通过分权给予基层过多的资源,而不加以监督和约束,可能导致更多的资源浪费。事实上,通过适度的财政管理权限上收,加强自上而下的财政管理与监督,有助于改善公共服务和政府治理水平。2022年《国务院办公厅关于进一步推进省以下财政体制改革工作的指导意见》要求将财政收入难以覆盖支出需要、财政管理能力薄弱的乡镇纳入乡财县管范围,具有很强的改革针对性。
在推进“乡财县管”工作提质增效上,上级政府可以从以下几个方面进一步加强自上而下的监督机制,提升乡镇财政管理效率和水平。第一,结合预算管理一体化系统建设和应用,强化县级财政对乡镇预算编制、预算执行、国有资产管理等的监督。第二,继续完善国库集中支付、集中采购制度、收支两条线等制度,推动实现“财权入笼”。第三,加大对基层政府转移支付资金使用的监督,确保转移支付资金到达基层后能够高效使用。第四,更好地发挥审计作用,建立资金违规使用责任追究制度。第五,推进财政支出标准化,加快建立财政支出标准体系,为财政资源的分配与管理提供目标和依据,增强预算执行的刚性和约束力。*党**的十九届四中全会《关于坚持和完善中国特色社会主义制度推进国家治理体系和治理能力现代化若干重大问题的决定》指出,要健全*党**和国家的监督体系,强化对权力运行的制约和监督。除了加强自上而下的管理与监督机制外,也应健全人大监督、群众监督、舆论监督制度,加强预算公开,探索参与式预算,推进基层治理体系和治理能力的现代化。
本文研究结论也表明,乡财县管改革尽管总体上有益于改善基层治理、推进经济发展,但不宜“一刀切”地去推行:首先,在人口多、情况较为复杂的大县内,实施乡财县管改革后,县级政府直接提供公共服务时获取信息的难度较大,反而不利于经济发展。其次,在初始经济发展水平较高、具有良好工业基础的地区,由于乡镇政府自身在招商引资过程当中扮演了重要的角色,缺乏财政管理自主性不利于调动乡镇政府的积极性。2022年《国务院办公厅关于进一步推进省以下财政体制改革工作的指导意见》也指出,改革应该坚持因地制宜原则,鼓励各地区因地制宜采取差异化措施,本文基于乡财县管改革的研究也为此提供了一定启示。
(本文作者:马光荣系中国人民大学财政金融学院教授,财税研究所副所,张玲(通讯作者)系北京大学经济学院博士研究生。本文节选自《金融研究》2023年第1期。欢迎关注人大重阳新浪微博:@人大重阳 ;微信公众号:rdcy2013)