依据负面清单
严肃查处超标超前培训行为
切实减轻中小学生过重课外负担
近年来,教育部等相关部门积极开展校外培训机构治理工作,取得了阶段性成效。为进一步贯彻落实《国务院办公厅关于规范校外培训机构发展的意见》(国办发〔2018〕80号)提出的“坚决禁止应试、超标、超前培训及与招生入学挂钩的行为”要求,日前,教育部办公厅印发义务教育六科超标超前培训负面清单(试行)(以下简称负面清单),为各地查处培训机构超标超前培训行为提供了具体依据。
负面清单共涉及义务教育阶段语文、数学、英语、物理、化学、生物学等六门学科,每门学科的负面清单包括“原则要求”和“典型问题”两部分。“原则要求”部分从课程标准规定、教科书难度、教学进度等方面提出基本要求,理科科目还对练习题提出基本要求。“典型问题”部分按照各学科的各项培训主题列举了超标内容,便于各地对照使用。负面清单为试行,将在实践中不断完善。
教育部要求,各地要认真进行学习宣传,切实抓好组织实施,在做好校外培训机构学科知识培训内容备案工作的基础上,依据负面清单严肃查处超标超前培训行为,切实减轻中小学生过重课外负担,形成校内外协同育人的良好局面。
6个负面清单都有哪些内容
随教育小微一起来看
↓↓↓
一、原则要求
1.培训不得超出现行义务教育语文课程标准规定的各学段要求,禁止将小学较高学段的目标与内容提前至小学较低学段教学与测评,禁止将初中的目标与内容提前至小学教学与测评,禁止将现行普通高中语文课程标准规定的目标与内容提前至初中教学与测评。
2.培训内容不得超出统编义务教育语文教科书的难度。
3.培训不得超过所在县(市、区)语文教学的同期进度和要求,禁止在寒暑假培训下学期教科书的知识内容。
二、典型问题
主题
超标内容
示例
识字
写字
● 将生僻字、繁难字作为小学低学段识字与写字的教学内容。
● 教二年级上册《大禹治水》,要求学生默写“禹吸取了鲧治水失败的教训”中的“鲧”字。
阅读
● 超过课程标准各学段学习目标与内容所规定的文体类型、文本难度及相应的学习要求。
● 要求小学低学段学生理解《滕王阁序》。
● 要求小学生比较系统地掌握文言语法知识,如教四年级上册《精卫填海》,要求学生掌握“女娃游于东海”是状语后置句。
● 要求初中生掌握《文心雕龙》中的文艺理论知识。
写作
● 超过课程标准各学段学习目标与内容所规定的写作要求。
● 要求小学低学段学生写出含有多种表达方式、多种表现手法、结构复杂的文章。
● 要求初一学生写出论证严密、论据典型、结构完整的议论性文章。
一、原则要求
1.培训不得超出现行义务教育数学课程标准规定的各学段要求,禁止将初中的目标与内容提前至小学教学与测评,禁止将现行普通高中数学课程标准规定的目标与内容提前至初中教学与测评。
2.培训内容不得超出本地区使用的义务教育数学教科书的难度。
3.培训不得超过所在县(市、区)数学教学的同期进度和要求,禁止在寒暑假培训下学期教科书的知识内容。
4.禁止使用繁、难、偏、怪的练习题。
二、典型问题
学段
一级主题
二级主题
超标内容
第一学段(1-3年级)
数与代数
数的认识
● 万以上的数的认识(包括万以上的数的读法和写法、大小比较、应用等)。
● 分数单位的认识。
● 多位小数的大小比较、异分母分数的大小比较。
数的运算
● 四位数及以上的加减法计算。
● 三位数乘两位数的乘法计算,三位数除以两位数的除法计算。
● 超过两步的混合运算。
● 超过一位小数的加减法计算。
● 分母大于10的同分母分数加减法计算。
● 异分母分数加减法计算。
● 运算律及其运用的问题。
量与数量关系
● 常见量之间的复杂换算。
● 复杂的经过时间的问题。
示例:火车第一天晚上21:30从始发站开出,第二天早上7:25到达终点站,列车运行全程经过了多长时间?
● “和倍、差倍、和差”等典型类型题目。
● 抽象概括“总价、数量、单价”“速度、路程、时间”的数量关系。
● 较复杂的三步和超过三步的实际问题。
● 方程的认识,列方程解决问题。
● 较复杂的探索规律的问题,单纯的识记规律的模型。
图形与几何
图形的认识
● 线的特征、分类,两条线的位置关系。
● 与角的度数相关的知识,平角、周角的概念。
● 平行四边形、三角形、梯形、圆的特征。
● 立体图形的具体特征。
图形的测量
● 测量单位的复杂换算。
● 长方形、正方形以外的其他平面图形的面积和立体图形的表面积、体积的测量。
● 有关长方形、正方形的周长、面积测量的复杂练习。

图形的位置与运动
● 描述平移、旋转、轴对称的特征,认识平移的距离、旋转的角度、对称轴。
● 在方格纸上完成图形的平移、旋转、对称、放大、缩小等图形运动相关的内容。
● 使用相对于参照点的“角度”来描述方向。
● 用数对表示位置。
统计与概率
统计
● 独立完成完整统计表的绘制。
● 画统计图。
● 平均数等统计量相关的内容。
概率
● 概率的相关内容。
第二学段(4-6年级)
数与代数
数的认识
● 科学记数法。
● 进行十进制与二进制、八进制、十六进制的互化。
● 将循环小数化为分数。
● 除了2、3、5以外的其他数的倍数特征。
● 数的整除中,找10以内的自然数的所有倍数、10以内两个自然数的公倍数和最小公倍数,及找出一个自然数的所有因数,找出两个自然数的公因数和最大公因数时,超过了“在100以内”的范围。
● 同余、短除等内容。
● 找出三个数的最大公因数和最小公倍数。
● 较复杂的数的奇偶性应用问题。
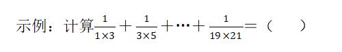
示例:将自然数1—50相加,和是奇数还是偶数?
● 判定超过100的自然数是否为质数。
数的运算
● 超过“三位数乘两位数的乘法,三位数除以两位数的除法”的位数要求的计算(用计算器计算除外)。
● 超过三步的整数混合运算。
● 超过三步的小数、分数混合运算。
● 包含带分数的分数和小数混合运算。
● 应用运算律进行复杂的简便运算,如,裂项法、假设法等特殊的技巧方法。

● 负数的计算。
量与数量关系
● 复杂的与小数、分数、百分数、正比例、反比例等相关的实际问题。
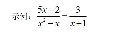
● 含有分式的方程。
● 需要运用二元一次方程、方程组、不定方程解决的实际问题。
● 连比问题,根据速度比和时间比求路程比的问题。
● 画反比例函数图像。
● 复杂的、特殊的相遇和追及问题、流水行船问题。
● 排列组合、等差等比数列、还原法等特殊类型的问题或解题方法。
图形与几何
图形的认识
● 两点到直线上的距离最短的问题。
示例:A、B两村要在直线上修一个垃圾站,修在哪里距离A、B村的总距离最短?

● 平行线的性质定理。
● 优角的概念。
● 用演绎推理证明三角形两边之和大于第三边、三角形内角和是180°。
● 多边形外角的概念,求多边形外角和。
● 投影和三视图的概念。
● 立体图形的内表面等复杂的空间想象问题。
● 圆锥的展开图,母线。
图形的测量
● 尺规作图问题。
● 计算扇形的面积。
● 有关平面图形面积的复杂的问题,如圆滚动扫过的面积等。
● 复杂的等积变形、添辅助线的问题;复杂的求格点图形面积;一些特殊模型的问题,如燕尾模型、蝴蝶模型等。
● 圆锥的表面积。
图形的位置与运动
● 脱离方格纸进行复杂图形的平移、旋转、对称、放大、缩小等图形运动相关的内容。
● 中心对称、中心对称图形的概念及其性质。
● 画出平面图形关于给定对称轴的对称图形。
● 在方格纸上将简单图形旋转 90°以外的角度。
● 正式的直角坐标系的知识。
● 将比例尺的学习拓展到面积的比例。
统计与概率
统计
● 绘制扇形统计图。
● 众数、中位数、方差、加权平均数的概念。
概率
● 可能性大小的定量描述。
● 需要使用排列和组合计算公式解决的问题。
第三学段(7-9年级)
数与代数
数与式
● 认识有理数时出现与π有关的无理数。
示例:下列哪些数是有理数?

● 认识绝对值的概念,用绝对值的几何意义求最大(小)值。
示例:求 | x-3|+| x-5|+| x+1|的最小值。
● 分解因式时,增加十字相乘法和分组分解法。
示例:分解因式:15 x 2+7 xy-2y2
a x+ay+b x+by
● 分解因式时,直接运用公式超过两次。
示例:分解因式 (2a-b)2+8ab-c2
● 立方和与立方差的因式分解。
示例:a3+b3, a3-b3
● 多项式相乘超出了“仅指一次式之间与一次式与二次式相乘”的要求。
示例:若(x 2+p x+q)(x 2-2 x-3)展开后不含x 2,x 3项,求p,q的值。
● 有理数教学中,超出了“知道 |a| 的含义,掌握加、减、乘、除和乘方的混合运算(以三步以内为主)”的要求。
示例: 已知a,b,c在数轴上的对应点如图所示,化简

● 整式的除法:多项式除以多项式。
示例:(a3+3a2b+3ab2+b3)÷(a+b)
● 超过“百以内整数”的范围求平方根和立方根 。
● 运用二次根式的加、减、乘、除运算法则进行二次根式运算,根号下仅限于非负数。

方程与不等式
● 解一元一次不等式中出现字母系数。
示例:解关于x的不等式a x-3≥0
● 解超过两个一元一次不等式组成的不等式组。
● 解分式方程时将方程转化为一元二次方程。

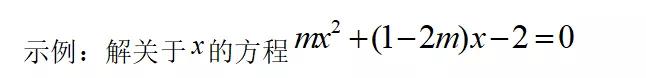
● 解含字母系数的一元二次方程。

函数
● 函数内容增加f(x)形式的表达。

● 用二次函数的图象解一元二次不等式。
示例:利用二次函数的图象解一元二次不等式
x²-2 x-3>0
● 解含绝对值或一次及一次以上因式乘积的不等式。
示例:不等式1≤| x-1|≤2 的解集是( ),
不等式(x-1)(1-2 x)>0 的解集是( )。
图形与几何
图形的性质
● 用反证法证明:经过半径的非圆心的端点,且与半径垂直的直线是圆的切线。
● 证明三角形的三条中线(角平分线、高线)相交于一点。
● 关于梯形及其相关性质的证明。
示例:求证:梯形的中位线等于两底和的一半。
● 相似三角形中,射影定理的证明和应用。
● 圆内接四边形的判定定理及其证明。

● 研究同角三角函数之间的关系。
示例:在直角∆ABC中,求证:sin2 A +cos2 A=1
● 需要添加多条辅助线进行证明的问题。
示例:求证:三角形内角平分线分对边的比等于这个角两条邻边的比。
图形的变化
● 运用旋转进行复杂的证明。
示例:在一个锐角三角形内求作一点,使它到三角形三个顶点的距离之和最小,并说明为什么。
图形与坐标
● 增加关于坐标轴对称以外的点的对称点的坐标表示。
示例:点(a,b)关于直线y=x(或y=-x)对称的点的坐标是什么?
统计与概率
概率
● 超过用列举法求概率的要求,增加计数原理、排列组合的内容。
示例:袋子里有除颜色之外10个大小完全相同的球,其中黑球6个、白球4个,从中随机取出4球,恰有2个黑球、2个白球的概率是多少?
统计
● 计算人为编造的数据的极差。
示例:若数据1,x,4,8的平均数是6,则该组数据的极差是( )。
一、原则要求
1.培训不得超出现行义务教育英语课程标准规定的各学段分级标准,禁止将初中知识类的教学内容提前至小学教学与测评,禁止将现行普通高中英语课程标准规定的知识类教学内容提前至初中教学与测评。
2.培训内容不得超出本地区使用的义务教育英语教科书的难度。
3.培训不得超过所在县(市、区)英语教学的同期进度和要求,禁止在寒暑假培训下学期教科书的知识内容。
二、典型问题
主题
超标内容
书写
● 要求一、二年级学生进行英语书写训练
音标
●在小学阶段讲授国际音标
词汇
●要求学生掌握超出《义务教育英语课程标准(2011年版)》所规定的词汇要求
语法
●要求学生掌握超出《义务教育英语课程标准(2011年版)》所规定的语法项目要求(例如,小学阶段要求学生掌握现在完成时,主从复合句等。初中阶段要求学生掌握定语从句,虚拟语气等。)
一、原则要求
1.培训不得超出现行义务教育物理课程标准规定的要求,禁止将现行普通高中物理课程标准规定的目标与内容提前至义务教育阶段教学与测评。
2.培训内容不得超出本地区使用的义务教育物理教科书的难度。
3.培训不得超过所在县(市、区)物理教学的同期进度和要求,禁止在寒暑假培训下学期教科书的知识内容。
4.禁止使用繁、难、偏、怪的练习题。
二、典型问题
一级主题
二级主题
超标内容
1.物质
1.1 物质的形态和变化
● 用统计观点认识温度
● 液体的表面张力
1.2 物质的属性
● 平均密度
● 混合密度的复杂计算
1.3 物质的结构与物体的尺度
● 估测油酸分子的大小
1.4 新材料及其应用
2.运动和相互作用
2.1 多种多样的运动形式
● 圆周运动相关运算
● 匀变速运动
● 曲线运动
2.2 机械运动和力
● “位移”矢量的概念
● 相对速度的计算
● 加速度概念
● 非同一直线上力的平衡问题
● 牛顿第三定律
● 互成角度力的合成
● 滑动摩擦力的计算公式
● 胡克定律
● 弹簧串联或裁切问题
● 空心、含杂质等物体的浮沉问题
● 动能定理
● 简单机械与浮力、压强的综合问题
● 复杂的滑轮组及计算
2.3 声和光
● 光的全反射现象
● 光的折射定律及公式
● 介质的折射率
● 两个及以上凸透镜成像的讨论以及透镜组成像的讨论
● 透镜成像公式
● 多普勒效应
2.4 电和磁
● 感应起电
● 通电导线在磁场中受到安培力的大小问题及计算
● 左、右手定则及复杂应用
● 楞次定律
● 感应电流大小
3.能量
3.1 能量、能量的转化和转移
● 功的计算中,力与运动方向出现非垂直或非一直线上的情况
● 正功和负功的概念
3.2 机械能
● 动能、势能和机械能的定量计算
● 机械能守恒定律及应用
3.3 内能
● 分子热运动的平均动能
● 分子力与分子间距离关系
● 气体实验定律
3.4 电磁能
● 电阻定律
● 混联电路及计算
● 非纯电阻电路及计算
● 滑动变阻器的分压式接法
● 光的电磁本性
3.5 能量守恒
● 利用热力学第一定律计算
3.6 能源与可持续发展
● 原子核的衰变及半衰期
一、原则要求
1.培训不得超出现行义务教育化学课程标准规定的要求,禁止将现行普通高中化学课程标准规定的目标与内容提前至义务教育阶段教学与测评。
2.培训内容不得超出本地区使用的义务教育化学教科书的难度。
3.培训不得超过所在县(市、区)化学教学的同期进度和要求,禁止在寒暑假培训下学期教科书的知识内容,禁止在九年级寒假之前及寒假期间进行系统的中考复习。
4.禁止使用繁、难、偏、怪的练习题。
二、典型问题
一级主题
二级主题
超标内容
一、科学探究
(一)增进对科学探究的理解
● 高中阶段的实验探究活动
(二)发展科学探究能力
● 正交实验法
(三)学习基本的实验技能
● 酒精喷灯、滴定管、移液管等仪器的使用
● 萃取和分液的操作
● 蒸馏、分馏的操作(例如,冷凝管的使用)
(四)完成基础的学生实验
● 高中阶段的学生必做实验
二、身边的化学物质
(一)我们周围的空气
● 镁条在二氧化碳、氮气中燃烧的反应
● 呼吸作用和光合作用的化学方程式
● 臭氧、二氧化硫、氮氧化物的性质
● 过量二氧化碳使浑浊石灰水变澄清的反应
(二)水与常见的溶液
● 电解水时,加入氢氧化钠、稀硫酸等物质增强导电性的原理
● 明矾净水涉及到的反应的化学方程式
● 硬水软化涉及到的反应的化学方程式
● 萃取和分液
● 多种有机物之间的互相溶解
● 重结晶
● 分散系概念及其分类
● 胶体的性质(例如,丁达尔现象)
● 相似相溶
● 溶解平衡(过饱和)
● 溶解度、溶液浓度的复杂计算(例如,蒸发或降温结晶情况下的计算,计算不同溶质的溶液混合后的溶液浓度)
(三)金属与金属矿物
● 铁盐和亚铁盐的相互转化,铁盐的氧化性
● 铁在高温下与水蒸汽的反应
● 镁与热水的反应
● 有关铁、铜生锈反应的化学方程式
● 铝和氢氧化钠溶液的反应
● 钠分别与水、硫酸铜溶液、氧气等的反应
● 金属与浓硫酸、硝酸的反应
● 电解法、热分解法等金属冶炼的方法
● 炼钢完整过程的原理
(四)生活中常见的化合物
● 除稀硫酸、盐酸、氢氧化钠、氢氧化钙以外的酸、碱的全面性质
● 浓硫酸和硝酸的氧化性
● 除食盐、纯碱、小苏打、碳酸钙以外的盐的全面性质
● 酸式盐(碳酸氢钠除外)、碱式盐(碱式碳酸铜除外)、复盐(例如,硫酸铝钾)的化学式及其性质
● 电解质、离子反应的概念
● 侯氏制碱法的原理
● 盐类的水解
● 焰色反应
● 含氧酸、无氧酸、一元酸、二元酸、强酸、弱酸、强碱、弱碱、有机酸、无机酸等概念
● 酸性氧化物、碱性氧化物、两性氧化物的概念
三、物质构成的奥秘
(一)化学物质的多样性
● 同素异形体、同分异构体的概念
● 含氧酸、无氧酸、一元酸、二元酸、强酸、弱酸、强碱、弱碱、有机酸、无机酸等物质分类
● 酸性氧化物、碱性氧化物、两性氧化物的物质分类
(二)微粒构成物质
● 质量数
● 核外电子排布规律
● 化学键、离子化合物、共价化合物的概念
(三)认识化学元素
● 元素周期律、金属性、非金属性、最高价氧化物的水化物、气态氢化物
● 核素、同位素
(四)物质组成的表示
● 不常见原子团的化合价(例如,亚硫酸根、亚硫酸氢根、磷酸根、磷酸氢根、磷酸二氢根)
● 物质的量、摩尔质量、阿伏加德罗常数
四、物质的化学变化
(一)化学变化的基本特征
● 二氧化锰催化分解过氧化氢的反应机理
● 吸热反应和放热反应的表示方法(热化学方程式)
(二)认识几种化学反应
● 基于化合价升降的氧化反应和还原反应、氧化剂、还原剂
● 多种金属和多种盐溶液组成的混合体系中的复杂反应
● 判断金属活动性顺序的复杂方法
(三)质量守恒定律
● 多步反应、几种反应并存、反应物不纯与原料损耗并存等复杂化学方程式的计算
● 复杂化学方程式的配平(例如,利用化合价升降、电子转移原理进行配平)
五、化学与社会发展
(一)化学与能源和资源的利用
● 过氧化钠与水、二氧化碳的反应
● 除甲烷、酒精的可燃性之外的其他有机化合物的全面性质
● 有机化合物的结构
● 有机化合物的命名方法
(二)常见的化学合成材料
● 有机化合物结构与性质的联系
● 通过加聚、缩聚等合成有机高分子材料的反应
(三)化学物质与健康
● 人体内糖类(除葡萄糖外)、油脂、蛋白质(氨基酸)代谢过程中的化学反应
● 甲醛、黄曲霉素等除了毒性以外的性质
● 糖的分类(单糖、二糖、多糖)
(四)保护好我们的环境
● 硫酸型和硝酸型酸雨形成过程涉及的化学反应
● 垃圾处理、污水处理等环境治理中的复杂化学反应
一、原则要求
1.培训不得超出现行义务教育生物学课程标准规定的要求,禁止将现行普通高中生物学课程标准规定的目标与内容提前至义务教育阶段教学与测评。
2.培训内容不得超出本地区使用的义务教育生物学教科书的难度。
3.培训不得超过所在县(市、区)生物学教学的同期进度和要求,禁止在寒暑假培训下学期教科书的知识内容。
4.禁止使用繁、难、偏、怪的练习题。
二、典型问题
一级主题
二级主题
超标内容
一、科学探究
1.1理解科学探究
1.2发展科学探究能力
二、生物体的结构层次
2.1细胞是生命活动的基本单位
● 除叶绿体和线粒体外的细胞亚显微结构
● 细胞膜、细胞核的结构
● 物质进出细胞的方式
2.2细胞分裂、分化形成组织
● 有丝分裂调控和分化的分子水平机制
● 减数分裂产生雌雄生殖细胞的具体过程
2.3多细胞生物体的结构层次
● 根/茎初生结构和次生结构
三、生物与环境
3.1生物的生存依赖一定的环境
● 环境因子影响生物生存的机理
3.2生物与环境组成生态系统
● 能量传递效率的计算问题
● 生态系统抵抗力稳定性和恢复力稳定性
3.3生物圈是人类与其他生物的共同家园
● 生物圈的碳循环、氮循环以及能量流动的具体过程
四、生物圈中的绿色植物
4.1绿色开花植物的一生
● 大孢子母细胞和小孢子母细胞在传粉受精中的作用
● 胚和胚乳的染色体倍性关系
4.2绿色植物的生活需要水和无机盐
● 水势、根压等术语和原理
4.3绿色植物的光合作用和呼吸作用
● 细胞代谢过程中糖酵解、光反应、暗反应(碳反应)等具体过程
● 光合作用和呼吸作用的方程式配平、进行摩尔数计算和讨论中间产物
4.4绿色植物对生物圈有重大作用
五、生物圈中的人
5.1人的食物来源于环境
● 食物中有机物的化学式或分子式
5.2人体生命活动的能量供给
● 呼吸作用的具体过程及能量的利用
5.3人体代谢废物的排出
● 尿毒症的病理机制
5.4人体通过神经系统和内分泌系统调节生命活动
● 下丘脑-垂体分级调控轴、激素受体、药物靶点和*品毒**致病机理等人体稳态调节机制
● 兴奋传导的分子机制和突触结构
5.5人是生物圈中的一员
六、动物的运动和行为
6.1动物的运动
● 肌肉收缩的分子机制
6.2动物的行为
● 损伤动物脑区观察行为变化的实验
七、生物的生殖、发育与遗传
7.1人的生殖和发育
● 生殖细胞的形成过程及发育机制
7.2动物的生殖和发育
● 胚胎工程的具体操作步骤
● 昆虫体内激素调控生长发育的具体原理
7.3植物的生殖
● 植物的世代交替
7.4生物的遗传和变异
● DNA到染色体浓缩过程中的各级结构名称
● DNA分子结构的具体内容
● 多对相对性状重组的遗传概率计算
● 染色体变异、基因突变的分子机制
● 遗传信息的转录和翻译
八、生物的多样性
8.1生物的多样性
● 动植物目、科、属、种等类群的主要特征
8.2生命的起源和生物进化
● 基因频率
九、生物技术
9.1日常生活中的生物技术
● 亚硝酸盐比色实验
9.2现代生物技术
● 高中《生物技术与工程》模块的组培、PCR和转基因等实验
● 现代生物技术的操作程序及分子机制
十、健康地生活
10.1健康地度过青春期
● 青春期的激素调节机制
10.2传染病和免疫
● 体液免疫和细胞免疫具体过程
● 免疫应答的机制
10.3威胁人体健康的当代主要疾病
● 癌变的基因水平调控机制
10.4酗酒、吸烟和吸毒的危害
● 毒瘾的形成机制
10.5医药常识