pi在数学中是什么意思 (数学符号pi是什么)

那么什么是π呢圆周率

(Pi)是圆的周长与直径的比值,一般用希腊字母π表示,是一个在数学及物理学中普遍存在的数学常数。π也等于圆形之面积与半径平方之比。是精确计算圆周长、圆面积、球体积等几何形状的关键值。 在分析学里,π可以严格地定义为满足sin x = 0的最小正实数x。

由于圆周率π约等于3.14,因而人们将每年的3月14日设定为圆周率日。在这一天,世界各地的数学家和数学爱好者们欢聚一堂,歌颂赞美这个数学世界中的奇迹。小编之前也搞不懂,圆周率 π 它究竟哪点吸引人了,能够让数学家们对它痴迷到如此地步?其实,π 本身的存在就是一个奇迹:

不管一个圆有多大,它的周长和直径之比总是一个固定的数,它就是 3.141592653589793 … ,是一个无限不循环小数。我们把这个数就叫做圆周率,用希腊字母 π 来表示。在几何问题中,圆周率扮演着非常重要的角色;然而更神奇的是,它也驰骋于几何以外的其它数学领域。

下面跟大家分享几个case:

  1. 布丰投针实验
在地板上画一系列间距为 2 cm的平行线,然后把一根长度为 1 cm的针扔在地板上。那么,这根针与地板上的线条相交的概率是多少呢?

数学符号pi是什么,数学中pi代表什么意思

1733 年,法国博物学家布丰(Comte de Buffon)第一次提出了这个问题。1777 年,布丰自己解决了这个问题——这个概率值是 1/π。别的不说,就凭这自问自答地完成了超高级难度的数学问题的一件事,想必就让大家与小编一样,顶礼膜拜了吧

另外,这个问题可以用微积分直接求解,也能利用期望值的性质得到一个异常精妙的解答。即使我们现在已经能轻易求出它的答案,结论依然相当令人吃惊——在这个概率问题上,竟然也有 π 的踪影。有人甚至利用投针法,求出过 π 的近似值来。

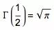
2.伽马函数

数学符号pi是什么,数学中pi代表什么意思

阶乘运算本来是定义在正整数上的,但我们可以很自然地把它扩展到所有的正数上——只需要寻找一条经过所有形如 (n, n!) 的整格点的曲线就可以了。由此定义出来的函数就叫做伽马函数,用希腊字母 Г 来表示。好了,神奇的事情出现了。我们有这样一个结论:

数学符号pi是什么,数学中pi代表什么意思

π 再次出现在了与几何毫无关系的场合中!你说神奇不神奇?

喜欢的朋友记得关注哟

数学符号pi是什么,数学中pi代表什么意思