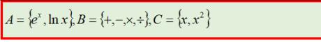
导数中由简单的一、二次函数,与指、对数函数进行四则运算,来构造函数来研究其图象与性质。由集合:

组合而成的20种函数,观察它们的函数图象吧!

指数与一次“和”函数

指数与一次“差”函数

指数与一次“积”函数

指数与一次“商”函数1

指数与一次“商”函数2

对数与一次“和”函数

对数与一次“差”函数

对数与一次“积”函数

对数与一次“商”函数1

对数与一次“商”函数2

指数与二次“和”函数

指数与二次“差”函数

指数与二次“积”函数

指数与一次“商”函数1

指数与二次“商”函数2

对数与二次“和”函数

对数与二次“差”函数

对数与二次“积”函数

对数与二次“商”函数1

对数与二次“商”函数2
数学歌
三角函数东升西落照苍穹 ,影短影长角不同。昼夜循环潮起伏 ,冬春更替草枯荣。立体几何锥顶柱身立海天 ,高低大小也浑然。平行垂直皆风景 ,有角有棱足壮观。解析几何代数几何熔一炉 ,乾坤变幻坐标书。图形百态方程绘 ,曲线千姿运算求。三等分角与数域扩张一角三分本等闲 ,尺规限制设难关。几何顽石横千载 ,代数神威越九天。步步登攀皆是二 ,层层寻觅杳无三。
拉格朗日,傅立叶旁,我凝视你凹函数般的脸庞,..微分了忧伤,积分了希望,我要和你追逐黎曼最初的梦想。感情已发散,收敛难挡,没有你的极限,柯西抓狂,我的心已成自变量,函数因你波起波荡。低阶的有限阶的,一致的不一致的,是我想你的皮亚诺余项。狄利克雷,勒贝格杨一同仰望莱布尼茨的肖像,拉贝、泰勒,无穷小量,是长廊里麦克劳林的吟唱。