噪声整形,顾名思义,即以某种方式对过采样后信号带内已经大幅降低的量化噪声进行整形,改变其在采样频率范围内的分布情况,在量化噪声总功率恒定的前提下,将低频段内的量化噪声尽可能的搬移到高频处,最终达到进一步减少信号带内噪声、提高信噪比SNR的目的。
根据先前帖子所述,仅通过过采样技术来提高精度的方法存在着一些局限性,而与噪声整形技术相结合,则可以极具效率地增大输出信噪比,这也是它们被称为 Sigma-Delta 调制器两大核心技术的原因。
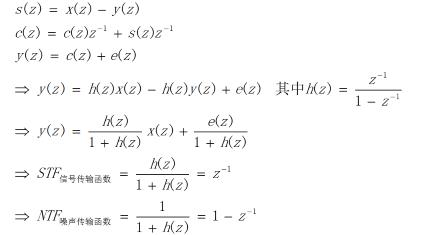
下面以一阶 Sigma-Delta 调制器为例对噪声整形的数学特性进行分析如下, Sigma-Delta也称为delta_sigma,就如它的字面意思一样,就是通过差分及积分实现噪声功率的整形,其中一阶delta_sigma的实现原理框图如下所示:

假设输入信号为X(n),那么通过如下系统后,我们在离散域分析其传输函数如下:

可以看出,信号x(n)通过上图所示的系统后,x(n)本身除了引入延时外并没有变化,而对于量化噪声e(n)却通过了一个高通特性的传输通道,故通过上述系统其能够对系统产生的低频量化噪声进行滤除;配合先前讲述的过采样能够在一定的采样速率下较大幅度提高信噪比SRN。
将z=e^-jw带入噪声传递函数NTF后:

所以噪声传递函数的幅度响应具有类sin函数的特性,即对低频信号具有抑制。
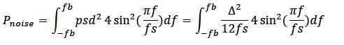
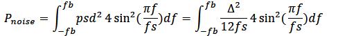
既然噪声传递函数知道,那么利用信号与系统的理论我们就能够知道量化噪声通过上述系统后在有效带宽内的功率为:

由于在系统采样中,我们的采样频率fs>>f,故可以进行简化,所以:

转换到对数领域则有:
SNR=6.02N+30*log10(OSR)-3.41
所以在上图所示的一阶sigma_delta系统中,当过采样速率每提高1倍,则可以提高SNR大约9dB,如果单纯依靠过采样,没有引入噪声整形1倍的OSR只能有效提高SNR大约3dB,这就是噪声整形的优势所在。
当然上图所示的只是一个1阶的sigma_delata系统,其对SNR的提升往往还达不到我们的需求,此时可以用上图所示的系统通过串联构成一个典型的二阶sigma_delta系统,具体如下所示:

与一阶系统相比,其噪声传递函数也从一阶特性表现为二阶特性,即能够对带内的噪声压制更多,其噪声传递函数表现为:

同样可以求得信号通过改系统后得到的SNR如下:
SNR=6.02N+50*log10(OSR)-11.41
即每1倍的过采样速率能够有效提升SNR大约15dB。
依次类推,对于M阶单环一位调制器过采样率每提高一倍信噪比提高(6M+3)dB相当于分辨率提高约(M+0.5)位。
那是不是说如果我们想提高调制器的SNR,就可以无限制的并联增加系统的级数呢?