
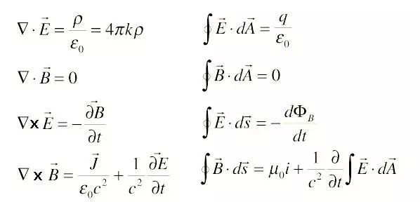
麦克斯韦方程组的微分形式和积分形式
说到麦克斯韦的贡献,我们必然会提到麦克斯韦方程组。左边四个是微分形式,右边是积分形式,我们以积分形式来说明。

麦克斯韦方程组统一了电、磁、光,预言了电磁波的存在,揭示了光是一种电磁波的本质,并且预言电磁波以光速进行传播。
那么看似普通的四个方程到底有什么神奇之处,居然有这么大的效果呢?由于数学知识的局限,我们以右边的积分形式来进行简单的分析。
第一个方程:E表示电场,q是电量,任意曲面的电场通量(即积分)正比于内部包裹的电荷量。电场通量从电荷出发,既不会凭空产生,也不会凭空消失。
第二个方程:任意曲面的磁场通量等于零。
跟第一个方程形式类似,但不完全一样。说明磁场是无源场,要么首尾相连,要么从无穷远来到无穷无去,电场是有源场,也说明磁单极子不存在。要是谁能发现磁单极子,那很多理论需要改写。
第三个方程:感应电场的强度等于磁通量的变化率。
其实是法拉第电磁感应定律的公式表达,说明的是发电机原理,磁通量的变化产生电场。
第四个方程:安培定则的电如何生磁。产生的电场与两个因素有关,右边的第一项是电场通量的变化率,右边的第二项说明磁单极子不存在,电流也会产生磁场。
好的,麦克斯韦方程组介绍完了,但是我们好像还是看不出他的神奇之处啊。麦克斯韦的数学功底非常深厚,他根据这四个公式推导出波动方程,并据此推算出电磁波的速度等于光速,只跟方程中的两个常量有关。

简化的无介质麦克斯韦方程组
这才是他的神奇之处,不光预测出电磁波的存在,光速也不需要我们去测量,计算就能得出。爱因斯坦更是据此推算出光速不变原理。
这里的公式看起来复杂,推导对数学功底要求更高,我们只做了简单的说明,希望对大家理解有一点帮助。