大家好,这里是周老师数学课堂,欢迎来到头条号学习!

一元二次方程,同学们应该都学完了吧,不知你们掌握得怎样?是不是比一元一次方程复杂多了,我想大家一定会回答:有点难,有时方法不对头,计算起来也复杂。大家也不用着急,解一元二次方程你们一定要会灵活运用,这部分老师真帮不上忙,只有靠你们多刷题,反思总结,积累经验,一定会学好的。
今天老师想讲解一元二次方程根与系数的关系,经常会考查的三类题型,希望对你们的学习有些帮助。
题型1.运用根与系数的关系求参数的值

[解析]
根据已知方程的根的判别式符号确定该方程的根的情况.由根与系数的关系确定两根之积、两根之和的值;通过求根公式即可求得方程的根.
[解答]

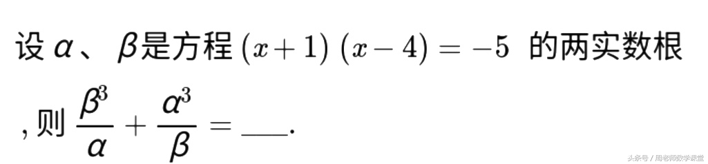
题型2.运用根与系数的关系求代数式的值

[解析]
根据a、β是方程(x+1)(x-4)=-5的两实数根,得到a+β=3,aβ=1,根据完全平方公式得到a4+β4=47,于是得到结论.
[解答]

题型3.构造一元二次方程求值

[解析]
根据(a+1)²=3-3(a+1),3(b+1)=3-(b+1)²,把a、b可看成是关于x的方程(x+1)²+3(x+1)-3=0的两个根,然后根据根与系数的关系进行求解.
[解答]

[小结]
以上三类题型,主要考查一元二次方程与系数的关系求参数或代数式的值,还有逆用根与系数的关系构造一元二次方程,同学们在解以上题型时不能忽视二次项系数a的取值,同时要验证判别式≥0。